



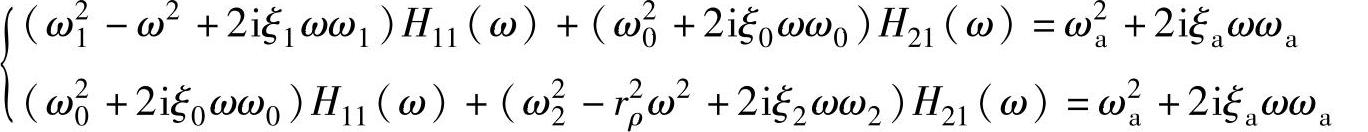
求响应 x 1 、 x 2 对应于输入 q 1 的频率响应函数 H 11 ( ω )和 H 21 ( ω )。根据单位谐函数法,令
代入式(2-73),得
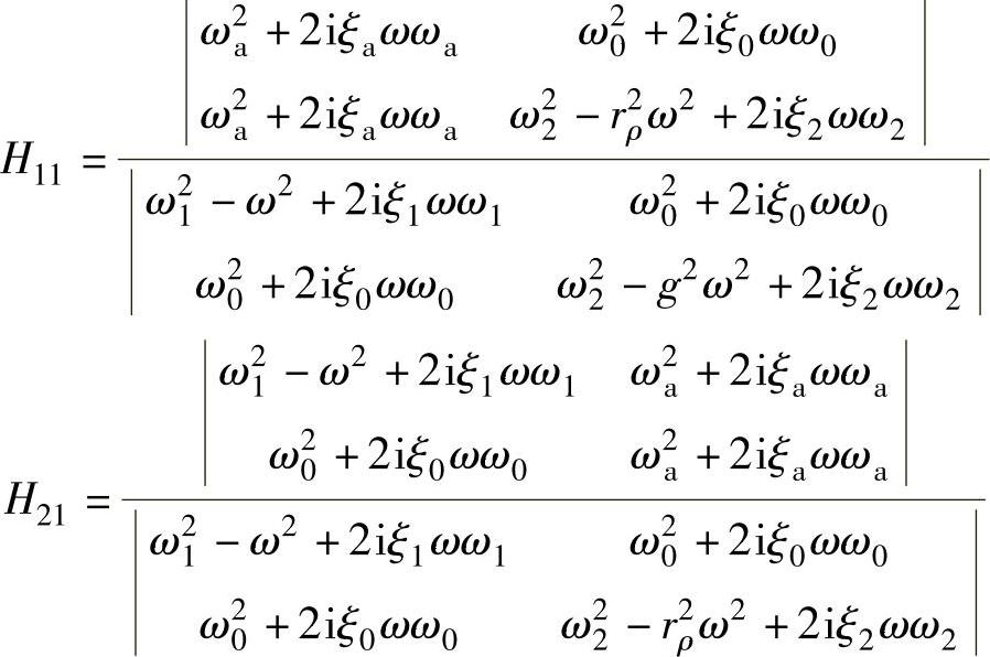
由此方程组可解得
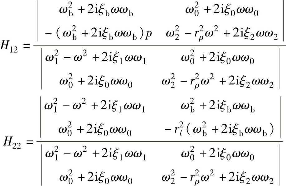
同理,可求出响应 x 1 、 x 2 对应于输入 q 2 的频率响应函数 H 12 ( ω )、 H 22 ( ω ),令
把它们代入式(2-73),可求得
根据以上的结果,便可写出完全确定的频率响应矩阵为
令
,可得到响应的矩阵表达式为