



对于双轴汽车四个自由度的振动模型,当悬架质量分配系数 ε = ρ 2 y /ab 的数值接近1时,前后悬架系统的垂直振动几乎是独立的,于是汽车可以简化为1/4汽车双质量二自由度系统振动模型,如图2-11所示。
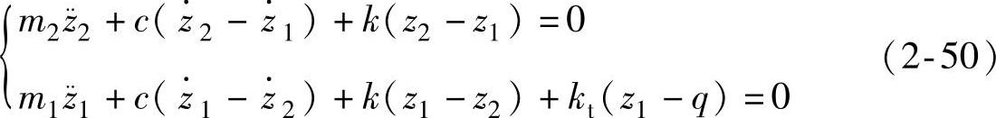
双质量系统振动模型,不仅可以反映的车身部分的动态特性,还能反映车轮部分在10~15Hz范围产生高频共振时的动态特性,它对平顺性和车轮的接地性有较大影响,比单质量系统更接近汽车悬架系统的实际情况。设车轮与车身垂直位移坐标为 z 1 、 z 2 ,坐标原点选在各自的平衡位置,则振动微分方程为
式中, m 2 为悬架质量(簧上质量,包括车身等); m 1 为非悬架质量(簧下质量,包括车轮、车轴等); k 、 k t 分别为悬架和轮胎刚度; c 为悬架阻尼系数。
图2-11 单轮双质量二自由度模型