



1.设
f
(
x
)在
x
=
a
处可导,则
=( ).
A. f' ( a )
B. mf' ( a )
C. nf' ( a )
D.( m + n ) f' ( a )
2.设 f ( x )=( x +1)( x +2)……( x +50),则 f' (-1)=( ).
A.50!
B.-50!
C.49!
D.-49!
3.若
y
=
f
(
x
),有
,则当Δ
x
→0时,在点
x
=
x
0
处的微分d
y
是( ).
A.与Δ x 等价无穷小
B.与Δ x 同阶无穷小,但不是等价无穷小
C.比Δ x 高阶无穷小
D.比Δ x 低阶无穷小
4.设 y =(sin x ) x ,则 f' ( x )=( ).
A.(cos x ) x
B.(sin x ) x
C.(sin x ) x (lnsin x + x cot x )
D.(sin x ) x (lnsin x - x cot x )
5.设 y = x e - x ,则 f'' ( x )=( ).
A.e - x
B.(1- x )e - x
C.(2- x )e - x
D.-(2- x )e - x
6.设
,则
f''
(
x
)=( ).
A.2(1+ x ) -2
B.-2(1+ x ) -2
C.4(1+ x ) -3
D.-4(1+ x ) -3
7.设
,则d
y
=( ).
A.
B.
C.
D.
8.设
,则
=( ).
A.
B.
C.
D.
9.设 f ( x )在( a , b )内连续,且 x 0 ∈( a , b ),则在点 x 0 处( ).
A. f ( x )的极限存在,且可导
B. f ( x )的极限存在,且不一定可导
C. f ( x )的极限不存在
D. f ( x )的极限不一定存在
10.曲线 y =2 x 2 +3 x -26上点 M 处的切线斜率为15,则点 M 的坐标是( ).
A.(3,15)
B.(3,1)
C.(-3,15)
D.(-3,1)
11.设
f
(
x
)=
k
sin
x
-2
x
,且
,则
k
=( ).
A.1
B.
C.
D.0
12.函数
在点
x
=0处( ).
A.连续不可导
B.可导不连续
C.可导
D.不可导不连续
13.设 f ( x )= x 3 ln x ,则 f' ( x )等于( ).
A.3 x
B. x 2 (3ln x +1)
C.3 x 2 ln x
D.4 x 2
14.设
在
x
=0处可导,则极限
=( ).
A.3 f' (0)
B.-3 f' (0)
C.1
D.-3
15.函数 y = x +e x ,其反函数 x = φ ( y )的导数为( ).
A. x +e x
B.
C.
D.1+e x
16.设
,则d
f
(
x
)=( ).
A.
B.
C.
D.
17.若
y
=
f
(
x
)在点
x
0
处的增量为
f
(
x
0
+Δ
x
)-
f
(
x
0
)=
+3
x
0
(Δ
x
)
2
+(Δ
x
)
2
,则
y
=
f
(
x
)在点
x
0
处的微分d
y
x
=
x
0
=( ).
A.0
B.3Δ x
C.3 x 0 Δ x
D.
18.设 y = x n +2 x ,则 y ( n +1) =( ).
A.( n +1)!+(ln2) n +1 2 x
B.( n +1)!+ln2·2 x
C. n ! +2 x
D.(ln2) n +1 2 x
19.已知
y
=
f
(
x
)为可导函数,且
,则
f'
(2)=( ).
A.-
B.
C.-15
D.15
20.若dln(1+
x
)=
f
(
x
)darctan
,则
f
(
x
)=( ).
A.1
B.2 x
C.
D.2
21.已知
f
(
x
)在点
x
=0处可导,且
f
(0)=0,则
=( ).
A.- f' (0)
B. f' (0)
C.2 f' (0)
D.∞
22.若
,则
f'
(0)=( ).
A.不存在
B.1
C.
D.
23.设
,则
f
(
x
)在点
x
=1处的( ).
A.左、右导数都存在
B.左导数存在,但右导数不存在
C.左导数不存在,但右导数存在
D.左、右导数都不存在
24.设
f
(
x
)为连续函数,且
,则曲线
y
=
f
(
x
)上对应
x
=0处切线方程为( ).
A. y =2
B. y =2 x
C. y = x +1
D. y =- x
25.设函数
,则
=( ).
A.-1
B.0
C.1
D.2
26.曲线
上其切线平行于
x
轴的点为( ).
A.(e 2 ,4e -2 )
B.(e 2 ,0)
C.(1,1)
D.(1,e)
27.已知
,且
,则
f'
(0)=( ).
A.不存在
B.0
C.1
D.-1
28.
=( ).
A.3 x 2 -12 x 5 -cos x 9
B.3 x 2 -12 x 5 -9 x 8 cos x 9
C.1-4 x 3 -cos x 9
D.1-4 x 3 -3 x 6 cos x 9
29.设函数 f ( x )在 x =2的某领域内可导,且 f' ( x )=e f ( x ) , f (2)=1,则 f‴ (2)=( ).
A.0
B.e 3
C.2e 3
D.1
30.设函数 y =1+e - x 的一阶导数 f' ( x )存在且不为零,其反函数为 x = φ ( y ),则 φ' ( y )=( ).
A.
B.
C.
D.-e - x
1.
f
(
x
)可导,则
=( ).
2. y =ln sin 2 x , y' =( ).
3.设 y = f [cot( x 2 )],其中 f ( x )是可导函数,则d y =( ).
4.设 y 3 = x 2 +6 x - y 2 ,则 y' =( ).
5.设
,则
=( ).
6.设 f ( x )可导, y = f (e x ),则d y =( ).
7.设 f ( x )=sinsin x ,则d f ( x )=( ).
8.曲线2 x 2 -2 y + y 3 =1,在(1,1)处的切线斜率为( ).
9.设e y + xy =e,求 y'' =( ).
10.函数
的微分d
y
=( ).
1.若曲线 y = f ( x )处处有切线,则 y = f ( x )必处处可导.( )
2.若
=
A
(
A
为常数),
f
(
x
)在点
x
=
a
处连续.( )
3.若函数 y = f ( x )在点 x 0 处可导,则| f ( x )|在点 x 0 处一定可导.( )
4.初等函数在其定义域内一定可导.( )
5.若 y = f ( x )在(- a , a )内可导且导数为奇函数(偶函数),则 f ( x )在该区间内为偶函数(奇函数).( )
6.若 y = f ( x )在点 x 0 处可微,则 f ( x )在点 x 0 处也一定可导.( )
7.连续是可导的充分条件.( )
8.若 y =(cos x ) x ,则 y' = x (cos x ) x -1 .( )
9.在微分学中,Δ y =d y ,Δ x =d x .( )
10. y =| x -1|在 x =1处可微.( )
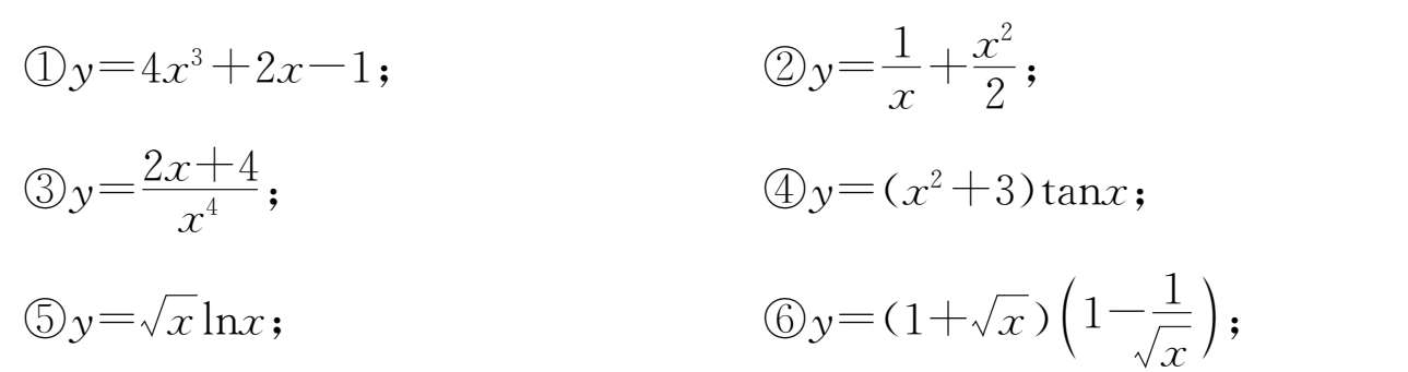
1.求下列函数的导数.
2.设
f
(
x
)=cos
x
·sin
x
,求
.
3.设
,求
f'
(0)、
f'
(2).
4.求曲线 y =4 x 2 +4 x -3在(1,5)点处的切线和法线方程.
5.物体运动方程为 s = t +sin t ,求物体运动的速度和加速度.
6.求下列各函数的导数.
7.求下列各隐函数的导数.
① y 2 = apx ; ② x 2 + y 2 - xy =1;
③ x 3 + y 3 -3 axy =0; ④ y =1- x e y .
8.取对数求下列各函数的导数.
①
xy
=
; ②
③ y x = x y ; ④e y = xy .
9.求下列各函数的二阶导数.
① y =e x sin x ; ② y = x 2 e - x ;
③ y =2 x 2 +ln x ; ④ y = a cos bx .
10.某物体降温过程中的温度为 u = u 0 e - kt ,求物体的冷却速率.
11.口服某药物后,血药浓度为 C ( t )= a (e - kt -e - mt ),求血药浓度的变化率.
12.一截面为倒置等边三角形的水槽,长20m,若以3m 3 /s速度把水注入水槽,在水面高2m时,求水面上升的速度.
13.求下列各函数的微分.
①
②
③ y = x sin x +cos x ; ④ y =arctane x ;
⑤ y =ln(1+ x 4 ); ⑥ y =e - x -cos(3- x ).
14.在括号内填入适当函数,使下列等式成立.
①d( )=3d x ; ②d( )=2 x d x ;
③d( )=e x d x ; ④d( )=sin t d t ;
⑤
⑥d( )=sec
2
x
d
x
.
15.已知
,求
16.在| x |很小时,证明下列各近似公式.
①e x ≈1+ x ; ②(1+ x ) n ≈1+ nx ;
③tan x ≈ x ; ④ln(1+ x )≈ x .
17.求下列各式的近似值.
①e
1.01
; ②
18.造一个半径为1m的球壳,厚度为1.5cm,需用材料多少立方米?
19.为计算球的体积准确到1%,度量球的半径时允许的相对误差是多少?
20.设 f ( x )为可导函数, y = f (sin 2 x )+ f (cos 2 x ),若令 u =cos x ,证明:
21.求由方程
所确定的隐函数
y
=
f
(
x
)的导数.
22.求由参数方程
所确定的函数的二阶导数
.
23.求函数
的导数.
24.如果函数 y = f ( x )在点 x = x 0 处当自变量有增量Δ x 时,函数有增量
求函数在点 x 0 处的微分d y .