购买
下载掌阅APP,畅读海量书库
立即打开
畅读海量书库
扫码下载掌阅APP

第一节
正态分布

在医学研究和卫生决策中的指标都可视为一种随机变量(random variable),它是用数值来描述研究结果,它的取值事先不能确定,具有随机性。例如抛掷一枚硬币,其结果就是一个随机变量 X ,因为在抛掷之前并不知道出现正面还是反面,若用数值1表示正面向上,0表示反面向上,则 X 可能取1,也可能取0。

随机变量按照取值分为离散型和连续型两种类型。取值为有限可数值,称为离散型随机变量(discrete random variable)。取值为一个或多个区间中的任何值,称为连续型随机变量(continuous random variable)。概率分布(probability distribution)是描述随机试验的全部可能结果及各种可能结果发生的概率。

一、正态分布概述

正态分布(normal distribution)又称高斯分布(Gauss distribution),是连续型随机变量的一种重要的分布,最初德国数学家C.F.Gauss和法国数学家P.S.Laplace分别于1890年、1812年作为描述相对误差与相对频数分布的模型而提出,并建立了误差理论。正态分布的理论有着广泛的应用,如医学参考值范围的确定、三大经典理论分布的推导等。人们将高峰位于中央、两侧逐渐下降并完全对称、两端理论上不与横轴相交的钟形曲线,称为正态曲线(normal curve),表示正态曲线的函数称为正态概率密度函数。在医药卫生领域中有许多指标都可以用正态分布来描述。

若随机变量 X 服从正态分布,记为 X N μ σ )。不同的 μ 值和不同的 σ 值对应不同的正态分布,其概率密度函数所对应的正态曲线如图4-1所示。

图4-1 不同的 μ σ 的正态分布曲线

从图4-1可以看出,正态曲线是以 x = μ 为对称轴,正态分布是由 μ σ 确定的。 μ 为位置参数,因为它指明了图像的中心位置; σ 为形状参数,决定了曲线的外形,小的 σ 使曲线变得陡峭,而大的 σ 使曲线变得“平坦”。

正态曲线下方面积是正态随机变量在特定区间上取值的概率,它的分布有一定的规律,如图4-2所示。

图4-2 正态分布函数与曲线下的面积分布规律

如图4-2左图所示, F x )称为分布函数, F x )= P X < x ),表示从负无穷大到 x 的曲边梯形面积,是正态随机变量的累积概率。如图4-2右图所示,曲线下方面积总和等于1, μ ± σ 约占总面积的68%, μ ±1.96 σ 约占总面积的95%, μ ±2.58 σ 约占总面积的99%。

二、标准正态分布

正态分布是一个分布簇,对应于不同的参数 μ σ 会产生不同位置和形状的正态分布,为了便于应用,需要将其转换为 μ =0, σ =1的标准正态变量。设 X 是平均值 μ 、标准差为 σ 的正态随机变量,则有

式4-1为 Z 转换,其目的就是把正态随机变量 X 转换为 μ =0, σ =1的标准正态变量。

图4-3 标准正态分布的分布函数示意图

图4-3中的阴影部分 Φ z )是标准正态分布函数,它是标准正态随机变量的累积概率,是从负无穷大到 z 处的标准正态分布概率密度函数曲线下的曲边梯形的面积。

任何正态随机变量可以进行标准化,能用标准正态累积概率即分布函数求其概率(正态曲线下的面积),统计学家制定了标准正态分布函数表(附表4),为解决实际问题带来极大的方便。

【例4-1】 设女性高血压患者的舒张压μ=100mm Hg,σ=16mm Hg,血压 X N (100,16),求:(1) P X <90);(2) P X >124);(3) P (96< X <104);(4)求 x ,使 P X x )=0.95。

解: (1) ,当 X =90时, Z =(90-100)/16=-0.625,查附表4得:

P X <90)= P Z <-0.625)= Φ (-0.625)≈0.2660

(2)当 X =124时, Z =(124-100)/16=1.5,查附表4,得:

P X >124)= P Z >1.5)=1- Φ (1.5)=0.0668

(3)

(4)求 x ,使 P X x )=0.95,首先求 Z 的值使 P Z ≤z)=0.95,从附表4查得, Z =1.645,现用 Z 转换反求 x

Z =1.645=( x -100)/16

x =100+1.645(16)=126.32,大约有95%的女性高血压患者舒张压低于126.32mm Hg。

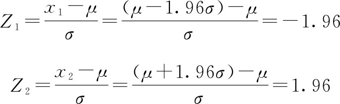
【例4-2】 已知 X N μ σ )。求 X 取值在 μ ±1.96 σ 以及在 μ ±2.58 σ 上的概率。

解: Z 转换式4 - 1得:

查附表4, Φ (-1.96)=0.025, Φ (1.96)=0.975,由对称性得到 X 取值在 μ ±1.96 σ 上的概率为1-2×0.025=95%,即 X 落在 μ ±1.96 σ 上的概率为95%。同理可求得 X 取值在 μ ±2.58 σ 上的概率为99%。

图4-4 1.96在标准正态分布中的意义 v1G0hfCWy/bNbocllp48XJPr5si5/CxdS+CQm3flSQlNzVnUgSpwAH5YNiMlieKm

点击中间区域
呼出菜单
上一章
目录
下一章
×