



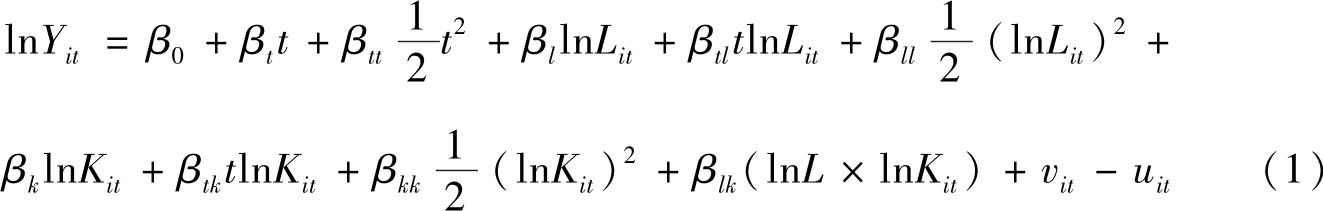
基于上述理论框架,本文在测度效率的计量模型基础上分析文化资本异质性对中国经济增长效率的影响。在测度增长效率的过程中,现有文献或者选择数据包络分析(DEA),或者选择随机前沿分析(SFA),SFA考虑随机因素和不确定性对生产过程的影响,测度结果更能符合中国经济发展的实际状况 [30] ,基于此,本文沿用SFA分析方法,在超越对数生产函数基础上构建检验模型
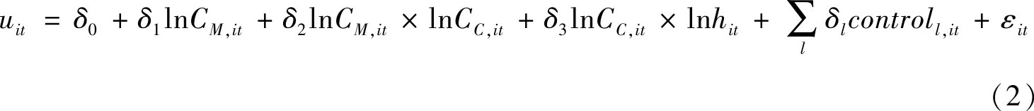
式(1)中,投入要素为劳动 L it 和资本 K it ,时间因素为 t ,无效率 u it 的影响因素主要有
式(2)中,核心变量ln C M , it 和ln C C , it 分别表示商业文化资本存量和儒教文化资本存量,参数 δ 1 若为负且通过显著性检验,说明样本区间内商业文化资本对经济增长效率有显著的促进作用。ln C M , it 与ln C C , it 交互项表示异质性文化资本相互作用对增长效率的作用, δ 2 若为负且显著,则表明中国异质性文化资本能够发挥协同效应提高经济增长效率,相反,则存在限制经济增长效率的非协同效应。lnC C , it 与ln h it 交互项表示儒教文化资本是否通过人力资本积累对增长效率产生间接影响,若参数 δ 3 为负且显著,则表明儒教文化资本通过强化人力资本积累提高了经济增长效率。 control l , it 表示一组控制变量,主要包含人力资本ln h it 、外商投资FDI it 等(见表1)。
表1 主要变量描述性统计
为估算文化资本,Throsby认为应该借鉴固定资本存量的估算方法对文化资本存量进行估算 [8] 。对文化资本度量指标的选取,Gaddis从家庭个人层面进行了讨论 [31] ,周云波等从产业和企业文化投资方面进行了研究 [32] ,但仅从家庭或产业层面无法准确估算文化资本积累状况。虽然李娟伟和任保平结合两方面指标对文化资本异质性状况进行了度量 [18] ,但其研究对传统文化资本内涵的分析过于宽泛,且选取的市场化指数权重统计区间较短,统计指标连贯性相对不足。所以本文在此基础上,考虑选取非农产业产值比重作为权重,对省域文化资本异质性进行区分,采用该权重主要基于以下两个事实:第一,从中国区域经济发展来看,东部地区非农产值比重较高,农业生产规模相对较小,企业和居民的经济行为受儒教思想约束较小,竞争与创新意识也较为强烈,商业文化资本快速形成,而中西部地区传统农业仍然在地区经济发展中占有重要地位,这些地区传统文化观念较为浓厚,反映了儒教伦理文化资本对人们生产方式的影响;第二,从国别经济发展实践比较看,非农产值较高的欧美国家,企业和居民深受竞争与创新意识观念影响,商业精神文化资本积累水平较高,而在东南亚等发展中国家,农业产值占国民经济的比例相对较高,对应地区传统价值观念仍占据重要地位,本土价值观形成的文化资本也明显异于商业文化资本。
在权重确定基础上,为估计省域儒教文化资本和商业文化资本存量,首先选取各省当期城镇和农村居民家庭文化领域的支出
、政府在文化领域的财政支出,以及文化产业部门的投资,将三者之和作为全社会文化资本投资指标,然后利用资产价格指数将历年文化资本投资折算为1997年不变价格水平,再将农业产值比重作为权重与全社会文化资本投资额相乘,作为儒教文化资本投资。同理,将非农业产值比重与全社会文化资本投资之积作为商业文化资本投资,最后再以两种文化资本年度投资为基础,利用永续盘存法对不同省域异质性文化资本的演变情况进行估算
。
本文选取的其他变量包括:经济产出 Y it ,选取各省份历年国内生产总值(GDP),并根据不变价格指数转化为1997年基期实际价格水平;劳动力要素投入 L it ,选取历年各省份年末就业人数,对于个别省份缺失数据采用移动平均法估计;资本存量 K it ,利用公式 K it = I it +(1- δ ) K it -1 对总资本存量进行估计, δ 表示固定资产折旧率,取值为 δ =0.05,各省基期固定资本存量 K it ,1997 计算公式为 K it ,1997 = I it ,1997 /( g it + δ ), g it 表示各省固定资产投资实际年均增长率,同时利用各省固定资产价格指数将历年投资额 I it 转化为以1997年为基期的实际值。
控制变量的选取:①人力资本 h it ,利用教育年限法进行估计,估算过程中对于省域个别年份缺失的人口数据通过移动平均法估算;②政府财政研发支出RD it ,主要选取各省份财政分项统计中的科学技术支出指标;③外商直接投资FDI it ,选取历年实际外商直接投资额,并以年均汇率转化为本币表示;④经济开放度 open it ,选取各地区进出口贸易总额与同期地区生产总值之比表示。
样本区间为1997—2012年省级面板数据,主要来自《中国统计年鉴》《新中国60年统计资料汇编》,为降低数据变差对分析结果的影响,所有变量均取自然对数,表1给出了本文所选变量的描述性统计结果。