购买
下载掌阅APP,畅读海量书库
立即打开
畅读海量书库
扫码下载掌阅APP

第7题

题目(13分)

分子筛是一种天然或人工合成的泡沸石型水合铝硅酸盐晶体。人工合成的分子筛有几十种,皆为骨架型结构,其中最常用的是A型、X型、Y型和丝光沸石型分子筛,化学组成可表示为

7-1 Si 4+ 、Al 3+ 和O 2- 的离子半径分别为41 pm、50 pm和140 pm,通过计算说明在水合铝硅酸盐晶体中Si 4+ 和Al 3+ 各占据由氧构成的何种类型的多面体空隙。

7-2 上述化学式中的 n 等于多少?说明理由。若M为2价离子,写出 m p 的关系式。

7-3 X射线衍射测得Si—O键键长为160 pm。此数据说明什么?如何理解?

7-4 说明以下事实的原因:

①硅铝比(有时用SiO 2 /Al 2 O 3 表示)越高,分子筛越稳定;

②最小硅铝比不小于1。

7-5 人工合成的A型分子筛钠盐,属于立方晶系,正当晶胞参数 a =2464 pm,晶胞组成为Na 96 [Al 96 Si 96 O 384 x H 2 O。将811.5 g该分子筛在1.01325×10 5 Pa、700 加热6 h将结晶水完全除去,得到798.6 L水蒸气(视为理想气体)。计算该分子筛的密度。

分析与解答

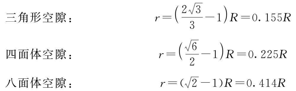
7-1 本题考查Pauling提出的适用于简单离子晶体的半径比规则。同学们应能通过比较阴阳离子半径,计算出阳离子配位数。在晶体中,密堆积层以及层间的空隙主要有三角形空隙、四面体空隙、八面体空隙三种。三种空隙内切球的半径最小值分别是( R 是密堆积球的半径):

在填隙原子的半径介于0.155 0.225倍密堆积球半径的时候,填充三角形空隙;在填隙原子的半径介于0.225 0.414倍密堆积球半径的时候,填充四面体空隙;在填隙原子的半径大于0.414倍密堆积球半径且不影响密堆积层的堆积时,填充八面体空隙。所以我们只要计算一下填隙原子和密堆积层原子的半径比,即可知道是填充什么空隙。

题目中氧离子的半径显著大于硅和铝的半径,所以氧离子在这里作为密堆积层原子,硅和铝离子去填隙。很容易算出硅和铝离子与氧离子的半径比分别是0.29和0.36,均介于0.2250.414之间,所以 硅和铝离子均填充在四面体空隙中 。实际上,在无限大的三维结构的硅铝酸盐中,Si和Al都是四配位四面体结构,也正是因此,才使得硅铝酸盐骨架能够在三维空间中延伸。

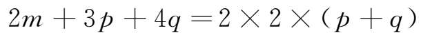
7-2 由上道题的结论,硅和铝离子均填充在四面体空隙中,所以其配位数为4;而氧原子连接两个原子,配位数为2。即 Si Al O 4 为骨架型结构 氧原子被两个四面体共用 ,所以一个硅或者铝离子对应两个氧原子, n =2 。再根据电荷守恒,有以下式子:

整理得 p =2 m

7-3 题干提到Si—O键的键长只有160 pm,小于第一问中Si和O离子半径之和181pm。这表明, Si O 键的键型已经从单纯的离子键转变成共价键 (因为要形成共价键,需要两个原子之间的电子云重叠,需要更近的距离)。 从软硬酸碱理论来看 电荷高 半径小的 Si 离子显然是一个非常硬的酸 而电负性大的 O 也应该是一个比较硬的碱 两者相遇 极化性 高的 Si 会吸引可极化性不弱的 O 的电子云产生变形 从而形成部分共价键

7-4 这是一个考查结构的题目。在分子筛中,硅离子的半径小于铝离子,而且其电荷也高于铝离子的电荷,所以,从离子键的角度而言, Si O 键的强度要大于 Al O 键的强度 。所以分子筛中,掺杂的铝的比例越高,沸石的结构就越不稳定。由于铝的实际价态是+3价,所以铝氧四面体其实是显负价的,为了使结构更稳定,需要使铝氧四面体的间距越大越好。 但是 如果硅离子的数量小于铝离子的数目 则势必会使铝氧四面体彼此之间接触 个负价基团距离过近 使得整体结构不稳定 所以要保证最小硅铝比不小于 1。

7-5 主要考查晶体密度的计算,公式为

其中 Z =1, N A =6.022×10 23 mol -1 ,由于晶胞是立方晶胞,所以 V = a 3 。至此,只有 M 的量依然未知,而

所以我们需要将 x 的值求出来。由题意,811.5 g该分子筛在1.01325×10 5 Pa、700 加热将结晶水完全除去,得到798.6 L水蒸气,由理想气体状态方程以及化学式得

解得 x =216,所以 M =1.753×10 4 g mol -1 ,代入得

评注

离子晶体中密堆积和填隙一直是化学竞赛中的热门考点。本题从分子筛着手,通过计算得到了硅在氧密堆积中的空隙种类,与以前所学形成对照,达到了“学以致用”的目的。此后,通过键长的变化考查键型变异以及软硬酸碱理论等考点。第四问考查晶体缺陷的相关知识,以及解决实际问题,用理论来解释现象的能力。整个题目难度中等,考点覆盖广泛。 LJu2sljHWXSG0CZ9FU0Q1yPZsCS4mzqTtdbrCwhgwXFsZ6gjaZZKNuOCPhL69Wij

点击中间区域
呼出菜单
上一章
目录
下一章
×