



城市公共基础设施为城市提供电力、燃气、供热、给排水等方面的保障。把燃气、供热、给排水等管线,统称为城市市政管线,它们一旦出现重大事故,将使整个城市陷入瘫痪。
2013年11月22日10时25分,位于山东省青岛经济技术开发区的输油管道泄漏原油进入市政排水暗渠,在形成密闭空间的暗渠内油气积聚遇火花发生爆炸,造成62人死亡、136人受伤,直接经济损失75172万元,造成极为严重的社会和环境影响。诸如油气管道、电力设施等公共基础设施是城市的重要生命线,减少和避免发生此类事故必要而紧迫,因此对城市的公共基础设施进行安全规划具有极为重要的现实意义。
规划包括研究市政管线结构性能破坏的评价模型,市政管线易损性评价分析,通过综合分析各个影响因素建立相应的市政管线安全评价指标体系,并建立相应的综合评价方法。具体体现在以下几点:
(1)城市市政管线在常态条件下的失效和地质灾害条件下的结构性能变化以及损坏机理研究;研究一般失效因素、地震动和场地破坏对城市市政管线结构破坏影响,建立结构性能破坏评价模型,研究管线破坏可靠性指标。
(2)在结合国内外市政管线研究成果的基础上,总结了市政管线安全评价的分析方法,针对市政管线的易损性进行了深入研究,提出了一套市政管线综合安全评价指标体系和评价方法。具体的技术路线如图2-39所示。
图2-39 市政管线风险评价技术路线示意图
(3)建立市政管线失效的原因及失效形式的判断指标体系,如图2 - 40所示。
图2-40 市政管线失效的原因
城市市政管线由于所处的环境,面临大量的风险,并有可能产生更加严重的次生灾害,对人员和财产造成重大损失,对城市市政管线的综合安全评价至关重要。本部分讨论了一种失效情况(评价指标)或多种失效情况组合(多个评价指标组合)条件下城市市政管线的安全评价。结合市政管线失效因素,进行总结筛选,构建了五大类评价指标,并对这五大类评价指标分别展开,形成各类子指标。
城市市政管线包括城市供水、排水管线、城市燃气管线等,而城市燃气管线破坏后的后果要远比其他类型管线严重,但是各类管线又存在大量的共性因素,因此对应于不同类型管线的评价指标体系既有共性指标,又有各自的特殊性指标。
在结合管线失效因素的基础上,适用于供水管线和燃气管线的共性指标主要包括了五大类,每个指标分别扩展为不同的子指标,以此类推,因此最终共形成了6个一级指标,25个二级指标和46个三级指标,这些指标可共同适用于供水或燃气管线评价的指标。但是,若是燃气管线,则需要增加1个特殊的一级指标和相对应的2个二级指标,即泄漏影响系数的产品危害和扩散系数指标。
1.一级指标:第三方破坏指标
二级指标:
(1)覆盖层深度;
(2)活动情况;
(3)地面设施;
(4)报警系统;
(5)公共教育;
(6)管道用地标志;
(7)巡线频率。
2.一级指标:腐蚀指标
二级指标:
(1)内腐蚀:① 介质腐蚀;② 内防腐措施;
(2)外腐蚀:① 土壤腐蚀性;② 阴极保护;③ 外层保护;④ 杂散电流干扰;⑤ 其他金属埋设物;⑥ 使用年限;
(3)应力腐蚀:① 环境腐蚀;② 管道压力变化;③ 管材缺陷;
(4)其他因素:① 腐蚀检测;② 维修情况。
3.一级指标:管线设计指标
二级指标:
(1)管道安全系数;
(2)疲劳;
(3)水击势能;
(4)土壤移动;
(5)设计人员技术水平。
4.一级指标:误操作指标
二级指标:
(1)误设计:①安全措施;②材料选择;③设计软件可靠性;④设计人员素质;⑤设计验收;
(2)施工误操作:① 施工管理措施;② 施工人员素质;③ 施工人员培训;④ 施工监督;⑤ 施工验收;
(3)运营失误:① 运营规程;② 电力电信系统;③ 安全措施;④ 检测制度;⑤ 运营监督;⑥ 预防机械错误;⑦ 培训;
(4)维护误操作:① 维护规程;② 维护频率;③ 维护人员技术水平。
5.一级指标:地震、地质灾害指标
二级指标:
(1)地震危险性指标:① 永久地表变形指标;② 地震波指标;
(2)土壤类型指标:① 剪切波速率指标;② 未修正标准贯入阻力指标;③ 不排水剪切强度指标;
(3)管道类型指标:① 管材材质指标;② 许用应变指标;③ 管道重要度指标;
(4)地质灾害指标:① 滑坡指标;② 穿越断层指标。
(5)管道地震易损率指标:① 管径指标;② 地震 PGV ; ③ 管道长度;④ 管段上损坏点数。
针对城市燃气管线,增加的1个特殊一级指标和相对应的2个二级指标如下:
6.一级指标:泄漏影响指标
二级指标:
(1)产品危害;
(2)扩散系数。
上述的评价指标逻辑结构如图2-41所示。
图2-41 市政管线评价指标逻辑结构图
国内外城市发生的一些燃气管道系统、燃气燃具或工业可燃气系统重大火灾爆炸事故都是由管网泄漏所引发,由此造成的人员伤亡和财产损失巨大。引起燃气大量意外流失的原因只有管道泄漏和管道破裂两种情况。导致管道泄漏和破裂的主要因素有内腐蚀、外腐蚀、施工损伤、焊接缺陷、超压、接头缺陷和第三方破坏等。管网一旦发生泄漏,所产生的后果通常有喷射火、闪火、蒸气云爆炸,会给附近区域的人和财产带来伤害。
由于城市燃气管线的特殊性,其作为城市市政管线的典型,需要对燃气管线失效后产生次生灾害对人员和财产展开定量评价,城市燃气管线的定量风险评价指标体系如图2-42所示。
图2-42 城市燃气管线的定量风险评价指标体系
风险能从多种途径来描述:个人风险、社会风险、致死率。
1.个人风险
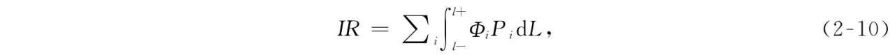
在特定地点来评价个人风险很复杂,因为管线失效地点是未知的,不同失效地点的失效率也有所不同,它可以通过求管线失效概率乘以所有失效模式下死亡概率的积分得到,如下式所示,计算积分示意图如图2-43所示:
式中, i 为事故模式(如小、中、大的孔洞), Φ i 为单位长度管线的失效率, L 为管道长度, P i 为致死率, l ±为给特定地点带来风险的管线区域。
2.社会风险
对于能引起更多死亡人数的危险管线,社会风险比个人风险更为重要,社会风险是从社会的角度来考虑。它表达为累计频率和预计死亡人数,事故的死亡人数通过致死率及危险地区的人群密度得到,如下式所示:
式中, A i 为与事故模式 i 有关的危险区域, ρ 为人群密度。
图2-43 天然气管段几何参数之间的关系
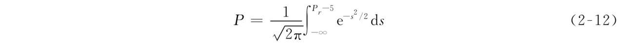
3.致死率
燃气管道的事故后果通常为爆炸和喷射火,由延迟点火引发的闪火发生的可能性很低,这是因为燃气快速上浮,所以排除了在地面形成持续可燃气体的可能性,甲烷在非受限空间的蒸气云爆炸随着火焰在燃气与空气混合物中移动而产生的超压可忽略。如果管道的泄漏点距离建筑物很近,泄漏的燃气能进入建筑物产生受限空间的爆炸。因此,燃气管道的危害主要是受限空间的爆炸及持续喷射火的热辐射,而非受限空间的蒸气云爆炸以及闪火可忽略。由燃气管线引起的固定地点的致死率只考虑喷射火的热辐射。喷射火的危险通过分析喷射扩散、喷射火及热辐射来估计。
事故致死率可以通过下式估算:
P r 为剂量(如压力、热、毒性)-效应(死亡或伤害)关系:
式中, a , b 是经验常数,反映了一种危害的详细特点和这种危害承受者的敏感性, D 是一定暴露时间下的压力、热、毒性。