



[ 题 ]在12个小时内,一只正常走动的钟表,分针和时针位置重合的点有几个?
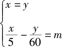
[ 解 ]我们知道,时针和分针重合的时候可以对调位置,而且对调之后所指示的时间也没有变化。所以我们还可以使用解上面那个题目时所推导出来的联立方程。只是由于时针和分针重合的时候,它们从12开始走过了同样个数的刻度,也就是说, x 的值和 y 的值是相等的。根据对前面问题的分析,我们就可以建立这样的方程组:
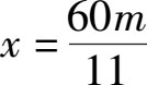
在这个方程组中, m 可以任取从0到11之间的整数。解这个方程组得出:
m 有从0到11一共12个可能的取值。但是由于 m =0时和 m =11时,指针都是指在12点的位置上,所以表针重合的位置只有11个。