



[ 题 ]一个割草队商定要把两片草地上的草全部割完。我们假设,每个人割草的速度是一样的。割大块草地的草用了一天的时间,上午,整队人都参与了这项劳动;下午,这队人被平均分成了两组,其中一组用半天时间割完了大块草地上的草,而另一组把小块草地上的草割得只剩下一个人用一天时间可以割完的量。
已知大块草地的面积是小块草地的两倍,请问,这个割草队一共有多少人?
[ 解 ]在这道题中,除了作为主要未知数的割草队的人数 x 之外,还需要用到一个辅助的未知数,也就是每个人一天刚好割完的草的面积,我们设这个值为 y 。虽然题目并没有要求我们求出这个未知数,但是有了这个未知数以后,我们求主要的未知数的时候要容易许多。
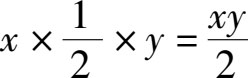
我们先用 x 和 y 来表示出面积较大的草地的面积。由题意可知,上午, x 个人所割的草地的面积是:
下午,半队人所割的草地的面积为:
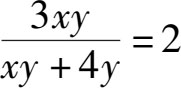
因为一天的时间刚好把整片草地割完,所以较大块的草地的面积为:
接下来,用
x
和
y
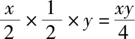
来表示出面积较小的那块草地的面积。半队人用半天时间割掉的草地的面积是
×
×
y
=
。而剩下的那一块的面积恰好就是一个人一天所割草地的面积,也就是
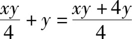
y
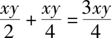
,将割完的和剩下的面积相加,得出小块草地的面积,也就是:
又因为大块草地的面积是小块草地的两倍,可以得出如下方程:
约去辅助的未知数,可以得到如下方程:
=2或3
x
=2
x
+8
解这个方程,可以得出 x =8。
所以,这个割草队一共有8个人。
在这本《趣味代数学》第一版出版后,我收到了青格尔教授写给我的一封详细并十分有意思的信。他在信中提到了这个问题。他认为,这个问题的主要意义其实在于:“它其实完全不能算是一道代数题,而只是一道简单的算术题,不用死板的公式我们就能很快解决它。”
青格尔教授继续写道:“这道题的来源是这样的。以前,我的父亲和我的叔叔伊·拉耶夫斯基(伊·拉耶夫斯基是列夫·托尔斯泰的好朋友)一起在莫斯科大学的数学系读书。在数学系的课程中并没有很多关于教学方法的东西,为了与有经验的中学老师合作探讨教学方法,学生们需要到与大学对口的城市民众中学去学习。我父亲和叔叔的同学当中有一个叫彼得罗夫的,据说他是个特别有天赋而且见解独到的人,他觉得课堂上所教的解答算术题的方法对学生来说太有害了,僵化死板的教学模式会毁了学生。为了证明自己的想法,他发明了一套题。关于割草人的这道题就是他所发明的那套题中的一道。他所发明的那套题非常灵活,难住了很多‘有经验的出色的中学教师’。但是那些还没有被僵化的教学模式所‘毒害’的学生却很轻易地就解出了这些题目。我们前面所讲的关于割草人的问题就是其中之一。有经验的教师们通过列方程式的方法可以很轻易地解出它,但是,还有一种更简单的方法却被他们忽略了。”
这道题其实一点也不难,只需要用算术就可以解出来了,完全可以不用代数方程式。
因为大块草地需要用全队人割上半天,然后再由半队人割上半天才能割完,所以我们很容易就能推断出来,半队人半天能割掉大块草地的
。由于小块草地的面积是大块草地的一半,所以,半队人割了半天后,小块草地剩下的部分就是大块草地面积的
。而一个人一天能割完小块草地剩下的部分,即大块草地面积的
,由此,我们可以算出第一天所割的草地的总面积,即
。所以,这个割草队共由8个割草人组成。
托尔斯泰一生非常喜欢这种有变化但是又不是特别难的问题。他听别人讲到这个题目的时候非常高兴,他认为借助图来解这个题目,即使是非常简单的图(图2-2),也能使这个问题变得一目了然。
图2-2
下面我们将要讲到的几个题目,只要用些巧妙的算术方法,就能变得非常简单。