



[ 题 ]一匹马和一头骡子驮着重重的行李并排向前走着。如果我们把马背上的包裹拿下来一个,放到骡子背上,那么马背上所驮的东西的质量就只有骡子的一半。而如果我们把骡子背上的包裹拿下来一个,放到马背上,那么,它们俩所驮的东西的质量就相等。
问:假设每个包裹的质量都是相等的,那么,马和骡子各驮了多少个包裹?
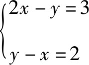
[ 解 ]根据表2-2,我们可以把这个问题转化为一个含有两个未知数的方程组:
即
通过解上面的方程组,我们可以求出: x =5, y =7。所以,马应该驮了5个包裹,而骡子则应该驮了7个包裹。
表2-2