



你知道下象棋一共有多少种走法吗?
假设我们让黑子先开始走,由于黑子和白子各有两个马,八个卒,而马和卒都有两种走法,所以,黑子第一步共有20种不同的走法。而黑子走完第一步之后,为了应对它,白子也有20种不同的走法。这也就是说,让白子和黑子各走一步,能够出现20×20=400种不同的棋局。
而第一步走完之后,可能出现的走法就更多了。例如,白子如果第一步走的是e2-e4,那么它第二步的走法就有29种,再往后就更多了。以皇后这个棋子为例,如果它占的是d5格,而且它所有的出路都是空格,它的走法就有27种。为了计算方便,我们用平均数来计算:
假设每局棋双方各走40步,而且在前五步各有20种走法,接下来,每步各有30种走法。这样,我们很容易就能计算出可能出现的棋局的数目为:
(20×20) 5 ×(30×30) 35
对上式进行变形,求出近似值:
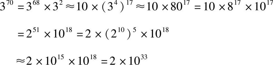
(20×20) 5 ×(30×30) 35 =20 10 ×30 70 =2 10 ×3 70 ×10 80
2 10 约等于1 000,即10 3 ,3 70 也可以写成:
结果得出:
(20×20) 5 ×(30×30) 35 ≈10 3 ×2×10 33 ×10 80 =2×10 116
以上内容比利时数学家克赖奇克在他的著作《游戏的数学和数学的游戏》中对棋盘上可能出现多少种不同的棋局所进行的计算。他所得出的结果可比传说中赏给象棋发明人的麦粒数2 64 -1≈18×10 18 多得多了。如果所有人日夜不停地下棋,而且每秒能走一步,那么要想实现所有可能出现的棋局,至少需要用10 100 个世纪。