



上面我们介绍的几种测量高度的方法,都要求人必须躺在地上,有时并不太方便。在伟大的卫国战争时期的侦察兵就使用了一种不需要躺下就可以测量高度的方法。
在战争前线,当时的中尉伊万纽克的分队接到一个命令,必须如期在一条河上造出一座桥。造桥需要大量木材,然而河对岸已被法西斯占领,中尉只能派出由上士波波夫率领的侦查小组前往附近的一片树林去测量常见树木的直径及高度,以算出架桥所需要的树木总数。
侦察兵们选了一棵树,借助一根测量的木杆,就完成了测量(图18)。
图1-8 使用测量杆测量高度
在距离被测树木不远的地方,侦察兵把一根比自己稍高的木杆垂直插入地下。接着面朝大树沿着 Dd 的延长线往后退,直到自己面朝树顶刚好可以看到木杆顶端 b 与树顶 B 在同一直线上的 A 点为止。然后头部不动,眼睛望向水平直线 aC 的方向,在木杆和树干的 c 、 C 两点做好标记。
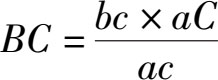
于是根据相似三角形 abc 和 aBC 的对应关系,列出比例式
BC ∶ bc = aC ∶ ac
计算出:
其中, bc 、 aC 和 ac 的距离都可直接测出,进而计算得到 BC 值,再与可直接测得的 CD 相加,便得到树木的高度了。
正是依靠侦察兵这种简便准确的方法,得到了架桥所需的树高数据,中尉得以及时确定架桥地点和方式,架桥的战斗任务也得以如期顺利完成。