



放射治疗的目标是使肿瘤得到最大可能的控制,而周围正常组织的损伤最小。它既可以通过治疗方案的物理优化措施实现,包括使用不同的照射技术(如三维适形、调强)和使用不同种类的射线(如光子、质子和重离子)将剂量尽可能地集中到肿瘤靶区;也可以通过生物干预手段来增加肿瘤细胞的放射敏感性(如Jiang的研究发现重组人内皮抑素可改善非小细胞肺癌乏氧“时间窗”,增加放疗敏感性,两年局控率由43%提高至63%、有效率由44%提高至80%)或降低正常组织的放射敏感性(正常组织保护剂);还可以通过时间剂量因子的恰当选择获得最佳的剂量给予方式,扩大肿瘤的局部控制率和减少正常组织的损伤程度。
放射治疗过程中的“生物剂量”和“物理剂量”是两个不同的概念。根据国际原子能委员会(IAEA)第30号报告定义,“生物剂量”是指对生物体辐射响应程度的测量。放射线在生物体中所产生的生物效应,不仅取决于照射剂量在空间上的分布,也在很大程度上依赖于治疗时间和照射次数。对于相同的处方总剂量,当分次数和总疗程时间增加时,生物效应降低。要得到一个特定效应的剂量——通常以生物效应剂量(biological effective dose,BED)为衡量标准,则必须提升总照射剂量。这些因素对生物效应的影响程度有赖于所照射的组织和加以考虑的效应表现。当两个组织受到同样的照射时,分次情况和总疗程时间的不同可能导致不同的效应,这称之为对一个组织生物效应的修饰。选择不同的分次和总疗程时间,有可能降低放疗引起的正常组织并发症风险。
细胞实验结果如图6-3-1所示,单次大剂量照射带来细胞存活分数的急剧下降(如曲线A),若把单次剂量分成许多分次,使在每个分次照射时组织受到的损伤有可能得到部分修复,从而对那些能累积和有效地修复损伤的细胞给予相应的保护(如曲线B、C、D、E)。从组织层面来说,把剂量分成许多分次使在每个分次照射时组织受到的损伤有可能得到部分修复,从而对那些能累积和有效地修复损伤的组织细胞给予相应的保护。总治疗时间的延长让存活细胞能继续繁殖,让亚致死损伤细胞能得到修复,这对于增殖快的组织(如皮肤、小肠黏膜)保存功能来说更为有利。在细胞修复和再群体化之外,分次和总治疗时间的延长还能有利于乏氧细胞的再氧合和导致处于细胞周期的细胞分布的改变,这些因素都会影响组织器官的最终生物学效应。
图6-3-1 单次照射与分次照射的剂量效应对比
时间剂量因子在临床实践中的体现方式,可以从剂量分割、治疗时间和剂量率三个方面来描述。
临床及实验数据表明,改变分割模式会引起早反应组织和晚反应组织不同的反应。达到同样早期反应的总剂量下,减少分割数、增加分割剂量会加重晚期反应;相反,增加分割数、降低分割剂量将起到对正常组织的保护作用。为了能够将这一现象量化评估,通常需要借助放射生物学模型和组织损伤特征剂量等概念。
线性二次(L-Q)模型及其推导出的BED被广泛应用于进行不同分次剂量方案间的等效转换。L-Q模型于1942年被Lea首次提出,是一个通过拟合细胞接受不同持续剂量照射后存活率变化曲线得到的经验公式。随后Kellerer探索了L-Q模型内在机制,认为辐射会导致两种形式的细胞损伤:致死性损伤和亚致死性损伤。它是辐射剂量与细胞存活分数之间的函数,认为如果一个DNA分子的两个链或一个染色体的两个臂同时受损时细胞才被杀灭,它可以是单个电离粒子作用的结果,也可以是两个不同电离粒子协同作用的结果。单个粒子作用所带来的照射后细胞存活分数 S 正比于照射剂量 D :
(式6-3-1)
式中α为单位剂量的单个粒子使细胞被直接杀灭的平均概率,代表不可修复的放射损伤。两个独立粒子作用所带来的照射后细胞存活分数S正比于照射剂量D的平方(式6-3-2):
(式6-3-2)
式中β为单位剂量平方的两个粒子使细胞被杀灭的平均概率,代表可修复的损伤。一束射线对细胞产生的总体效果,一定是既包含α损伤,又包含β损伤,所以总体细胞存活分数S表示为式6-3-1和式6-3-2的乘积
(式6-3-3)
式6-3-3是L-Q模型的数学表达形式,其中α/β代表组织损伤的特征剂量(单位为Gy),其大小代表了细胞存活曲线的曲度:如图6-3-2所示,α/β值越大,细胞存活曲线越直;α/β值越小,细胞存活曲线越弯曲。同时,α/β值的大小亦代表了细胞对亚致死损伤的修复能力,α/β值越大,细胞修复亚致死损伤的能力越低,α/β值越小,细胞修复亚致死损伤的能力越强。
图6-3-2 L-Q模型预示的细胞存活曲线
α=0.22Gy -1 ,α/β=2.5Gy,不可修复的α损伤和可修复的β损伤在D=α/β剂量处,对细胞总体带来的损伤效应相等
根据L-Q模型,射线效应被分成两部分:由高LET分量引起的α效应,是剂量 D 的一次函数,在低剂量段时起主要作用;由低LET分量引起的β效应是剂量 D 的二次函数,在高剂量段起主要作用,α/β比值为高低剂量段的分界线。如图6-3-3所示,晚反应组织的剂量效应曲线比早反应组织的更加弯曲且晚反应组织修复能力强、α/β比值低、β效应在较低剂量时开始作用;早反应组织修复能力低、α/β比值高、β效应在较高剂量时才开始作用。器官功能的剂量-效应曲线必须与反映克隆源性细胞存活的曲线区分开——器官功能明显更依赖于照射后存活功能细胞的比例,而不是存活克隆源性细胞(干细胞)的比例。后者的剂量-效应曲线往往呈直线,肩区相对较小,而前者的曲线更弯曲,肩区也更大。
图6-3-3 早晚反应组织细胞存活曲线的比较
肿瘤(早反应组织)α/β=10Gy,α=0.4Gy -1 ;晚反应(正常)组织α/β=2.5Gy,α=0.22Gy -1
因此,两条曲线会在某一剂量处相交,相交点的剂量 D 交 与两种组织的L-Q特征参数有关,多数情况下 D 交 在2~5Gy的剂量范围内。在 D 交 左侧剂量区域内,晚反应组织(正常组织)的损伤较早反应组织(肿瘤)小,最佳照射剂量可能位于两种组织的细胞存活曲线相距最大的位置,该剂量一般约为交点剂量的50%。因此,常规分次照射的最佳分次剂量应位于1~2.5Gy范围内,这也正是在适形调强及影像引导放射治疗广泛应用之前,分次处方剂量往往位于1~2.5Gy之间的原因。
生物效应剂量模型写为式6-3-4:
(式6-3-4)
其中, nd 为总剂量( D );α/β比值称为分次剂量校正因子,可以查表获得。根据上述公式推导,不同分割方案的等效变换公式见式6-3-5:
(式6-3-5)
有大量文献讨论具体正常组织和肿瘤组织对应的α/β比值,部分常见正常组织和肿瘤组织BED计算参数如表6-3-1所示
表6-3-1 常见正常组织和肿瘤组织BED计算参数
续表
随着放射治疗技术的发展,从模拟定位、计划制定、影像引导和呼吸运动管理等各个环节的精度均得到了显著提升。以此为保障,即使仍然使用低LET的X射线,通过提高适形度、增加射线入射角度等手段,单次剂量已经可以提升至10Gy以上,这就推动了大剂量分割SBRT的研究及应用。
Chang等报道了早期非小细胞肺癌SBRT与手术治疗的随机对照临床实验,发现SBRT的三年生存率优于手术治疗(95% vs 79%),而三年无复发生存率与手术组无统计学差异(86% vs 80%)。SBRT治疗的患者接受了18Gy×3次(周围型)和12.5Gy×4次(中心型)的处方剂量。在并发症方面,SBRT组有3人(10%)出现3级以上放疗副反应[3人(10%)出现胸壁疼痛、2人(6%)出现呼吸困难或咳嗽、1人(3%)出现疲劳及肋骨骨折],无4级放射损伤及治疗引起的死亡;手术组有1人(4%)死于手术并发症、12人(44%)出现3~4级治疗引起的副反应,3级副反应表现为呼吸困难(4人,15%)、胸部疼痛(4人,15%)和肺部感染(2人,7%)。
Uzel等总结了2005~2012年间报道的10项针对早期非小细胞肺癌行SBRT的研究,结果表明SBRT对早期非小细胞肺癌具有显著的疗效,而并发症则主要表现为放射性肺炎、肋骨骨折、放射性皮炎、疲劳、呼吸困难、放射性食管炎、放射性肺纤维化和胸部疼痛等(表6-3-2)。
表6-3-2 体部立体定向放射治疗相关并发症
注释:RP:放射性肺炎;RF:肋骨骨折;RD:放射性皮炎;NA:不适用;G:并发症级别
临床研究的积极效果推动了SBRT的开展,但同时也暴露出放射生物物理在相关理论依据和应用工具研发方面的滞后:传统的L-Q模型是否还适用?若不再适用则单次大剂量照射所产生的等效生物剂量该如何评估?另外,既然来自日本、德国和中国的多项研究均一致认为BED≥100Gy时能够明显提高肿瘤局部控制和5年总生存率,那么如何将各种不同物理剂量的分次方案换算成BED以评估其是否达到100Gy?
Kirkpatrick和Brenner就L-Q模型是否适用于单次大剂量照射,先后发表了不同的意见。Kirkpatrick认为L-Q模型不适用于单次大剂量照射情况下的生物效应剂量计算,而Brenner则持相反意见。Kirkpatrick给出的论据如下:首先,L-Q模型的参数取值大多数来源于细胞实验,并且实验时使用的剂量远低于单次大剂量放射治疗中使用的剂量。在临床观察中发现,模型在单次大剂量放射治疗中经常会低估肿瘤的控制。Leith等在治疗脑转移瘤时,使用模型计算的剂量为25~35Gy,而在临床应用中的剂量为15~20Gy并能达到相同的治疗效果。同样,Kocher等在脑转移瘤治疗中也观察到了同样的现象。其次,模型基于的生物学机制没有考虑血管、基质和抗放射性亚群等因素的影响。基于此,Kirkpatrick认为盲目地将L-Q模型运用到单次大剂量放疗中,不利于我们对细胞和组织的认识,并可能对临床应用产生误导。Brenner的论据则是:①L-Q模型是基于生物学机制的数学模型,认为肿瘤控制和正常组织并发症都源于放射治疗引起的细胞凋亡,而细胞凋亡的主要原因是因为照射中DNA双链断裂后的错误修复导致细胞在有丝分裂时凋亡。②模型简便、实用,仅需要两个参数就可以将细胞致死的原因通过数学形式描述出来,并通过时间剂量因子来完善随着剂量提升和时间推移带来的其他反应。③模型经过了长期的临床验证,如单次10Gy和每分次高达18Gy的照射模式是合理的,在这个剂量区间内未见“模型不适用于临床”的有力证据,表明模型可以很好地反映实验和临床结果。然而,更多的学者认同Kirkpatrick的观点,倾向于“L-Q模型不适用于单次大剂量照射”。
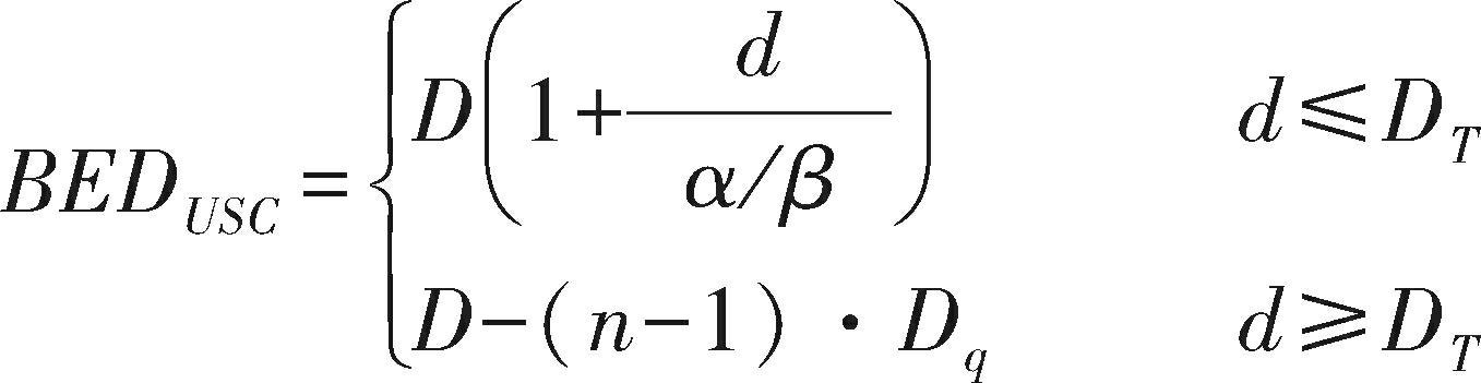
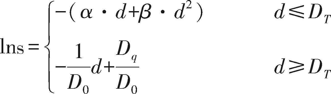
自2008年以来,先后提出了两类5种改进L-Q模型,尝试对更大范围的细胞生存曲线进行拟合,进而对大分割放疗剂量进行准确的生物效应剂量换算,分别为USC模型、L-Q-L模型、KN模型、MAL-Q模型和g-L-Q模型。以USC模型为例,该模型于2008年发表在 Int J Radiat Oncol Biol Phys ,其数学表达形式相对简单,且对于高、低剂量区域的细胞存活分数都有较好的拟合效果,因此得到较为广泛的认同。USC模型是由L-Q模型和多靶单击(SH-MT)模型组合而成,将前者精确拟合低剂量区细胞存活曲线和后者在高剂量区能更加准确拟合实验数据的特点相结合。为了使模型更加简单易用,USC采用SH-MT模型的渐近线来代替SH-MT模型。模型设置转换剂量 D T ,当 d ≤ D T 时,采用L-Q模型;当 d ≥ D T 时,应用SH-MT模型,使得L-Q模型可在 D T 处平滑过渡,表达式为式6-3-6:
(式6-3-6)
其中, D T 为转换剂量, D 0 为确定曲线最终斜率的参数, D q 为SH-MT模型渐近线的延长线与 x 轴的截距,曲线形态如图6-3-4所示。
图6-3-4 USC曲线形态示意图
Park等人通过对美国国家癌症研究院(NCI)报道的12种非小细胞肺癌细胞系的观察,得到了α、 D 0 和 D q 的算术平均值,分别为0.33Gy -1 、1.25Gy -1 和1.8Gy -1 。同时,转换剂量 D T 计算值为6.2Gy。Park等人还从USC模型推导出了计算生物效应剂量的公式如下:
(式6-3-7)
D 为照射的总剂量, d 为单次剂量。
Park等人使用H460 NSCLC细胞系进行克隆形成实验,在广泛剂量范围测定的存活曲线数据,比较了L-Q模型和USC模型的拟合优度。在低剂量区拟合的L-Q模型,当外推到高剂量区时,表现出了不理想的拟合效果。使用USC模型拟合时,整个剂量范围的拟合效果显著提高,实验数据点同USC模型拟合曲线之间的误差平方和相比L-Q模型从5.08降到了0.0168。
对于单次大剂量照射中正常组织生物效应剂量的评估,只需要将BED模型中α/β参数有针对性地设置为待评估的正常组织所对应的组织特征剂量值即可。在此基础上,将NTCP模型中涉及剂量的元素由物理剂量替换为通过L-Q模型或改进的L-Q模型所计算得到的生物效应剂量,即可将NTCP模型用于预测SBRT等大剂量分割照射中的正常组织并发症概率。
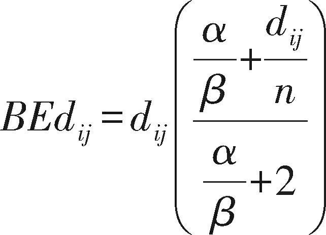
在利用NTCP模型预测正常组织并发症概率时,需要知道患者正常组织的生物剂量,即组织吸收剂量。当患者接受的是非常规剂量分割照射时,为了让NTCP模型仍然具有并发症预测能力,我们需要用BED概念对传统NTCP模型进行改进。我们以LKB模型为例,对于患者i的传统NTCP模型形式如式6-2-1~式6-2-6所示,其中涉及剂量学的参数是公式6-2-6中的最大点剂量 D max 和 d ij 。
我们首先对BED(式6-3-5)作形式上的变换,假设 d 1 为常规分割的2.0Gy/次的分次剂量,则 n 1 d 1 是传统剂量分割模式下的总剂量,即生物总剂量D Bio ,对应的 d 2 就是非常规剂量分割方案下的分次剂量, n 2 d 2 就是物理剂量。此时,式6-3-5可以写成
(式6-3-8)
(式6-3-9)
由于传统剂量分割模式中的分次剂量为2.0Gy/次,所以 D Bio / n 1 等于2,由此得到从物理剂量计算相应生物剂量的公式,如下
(式6-3-10)
其中,D Bio 和D Phy 分别对应生物剂量和物理剂量, n 与上文相同为分次数,括号中分母上的“2”对应于传统剂量分割中的2Gy/次。用式6-3-10计算LKB模型中 D max 和 d ij 对应的生物剂量,得到式6-3-11和式6-3-12。
(式6-3-11)
(式6-3-12)
由于 d ij 对应的是组成正常组织的 N 个体素中每个体素的均匀剂量,因此,式6-3-12也就是将整个正常组织受到的不均匀照射剂量转化为等效的生物剂量。
经过分次剂量因子α/β校正后,NTCP模型由 TD 50 ( 1 ), n 和 m 三个参数增加为含有α/β比值的四参数形式,即
(式6-3-13)
这里仅给出LKB模型转换的例子,对于Logit-EUD、Schultheiss、Poisson-EUD、K llman和Parallel等其他五种NTCP模型,转换方法相同,都是对每个体素对应的剂量单元 d ij 进行生物剂量校正,得到改进后的NTCP模型。
细胞照射后,分子结构的损伤会产生修复,它与照射后时间长短呈指数关系。其亚致死损伤的修复过程可用细胞的修复速度和修复能力表达。修复速度用参数“半修复期T 1/2 ”表示,它定义为50%细胞损伤得到修复所需的时间。修复能力用α/β比值表示。不同类型的组织修复亚致死损伤的速度不一样,如小肠上皮细胞属于早反应组织,其T 1/2 约为0.5小时,照射3小时后就能完成损伤修复;脊髓属于晚反应组织,T 1/2 约为2.4小时,照射开始后约24小时才能完成亚致死损伤的修复。
由于损伤修复的原因,对于头颈皮肤和黏膜这种早反应组织,可耐受剂量每天约增加0.3Gy(对于每分次剂量2~3Gy的常规分割),如果总治疗时间增加2周,则总治疗量应增加约4Gy。这种校正值可用于治疗被中断到长达3周,但不能用于太长的延长时间(如超过10周)。在小于1周的治疗时间内细胞很少繁殖,时间就不是重要的问题。
对细胞更新慢的晚效应组织,总治疗时间的影响也会减低。有学者建议对肺增加剂量是每天0.1Gy。对中枢神经系统,甚至总照射时间增加到8周,尚未发现有增加耐受的现象。但是Kirkpatrick试验结果证实,常规分割照射6个月后脊髓耐受剂量可增加25%,而随后的2年时间内,随着脊髓的修复其耐受剂量可持续增高。
总之,对晚反应正常组织,总治疗时间可能没有什么影响,其主要对皮肤、黏膜和造血系统等早反应组织影响显著。
在低LET,如X射线或γ射线放射治疗中,剂量率是决定一个特定吸收剂量的生物学后果的主要因素之一。目前,剂量率可分为以下四种①超高剂量率:用μs或ns计算脉冲的照射,在10 9 ~10 12 Gy/min的剂量率范围内,主要用于放射生物实验研究。②高剂量率:1~10Gy/min,是目前一般放射治疗外照射所用的剂量率。③低剂量率:在放射治疗中用几个小时或几天的延续照射。10 -3 ~10 -10 Gy/min或0.1~1Gy/h,常用于组织间或腔内照射。④超低剂量率:用以进行这类照射的放射生物实验研究,可以长达几周、几个月甚至几年的时间。
随着剂量率的降低和照射时间的延长,一般某特定剂量的效应会降低。典型的剂量率效应是在长时间的照射期间会出现亚致死损伤的修复。如图6-3-1,图中每个剂量(D 2 ,D 3 ,D 4 ……)都是一系列等分次的小剂量D。两次剂量间的时间足够让亚致死损伤完全修复。每分次都有肩的重复。曲线F相当于在等剂量的情况下所有分次剂量上一个点的连线,这个曲线没有肩区。鉴于连续低剂量率可以被认为是无数的无穷小分次,在这种情况下的存活曲线也是没有肩区,并且比一次急性照射的曲线更平坦。
低剂量率对于保护正常组织带来的收益如图6-3-5所示,代表不同剂量率γ射线照射小鼠小肠隐窝细胞的存活曲线,从一次2.74Gy/min到0.92cGy/min,剂量率效应显著,随着剂量率的进一步降低,细胞分裂开始占主要地位,因为照射时间已比细胞周期时间更长;到0.54cGy/min时,存活隐窝细胞数已下降得很少,甚至用很大剂量也很少见隐窝细胞存活数的下降。因为在如此长的照射时间内出现细胞增殖,平衡了照射所致的细胞杀灭。
图6-3-5 用Cs 137 的γ射线在相当宽的剂量率范围内对小鼠做全身照射后观察小鼠小肠隐窝细胞的反应
照射后3.5天计数小肠隐窝内出现再生长的微集落数,注意所出现的大剂量率效应
剂量率效应的另一种表现是反向剂量率效应(the inverse dose rate effect),是指当剂量率降低时,细胞杀灭反而增高。有实验数据表明,对细胞系照射的剂量率从1.54Gy/h降至0.37Gy/h,提高了杀灭细胞的效应,这一低剂量率几乎与一次急性照射的效应一样有效。对此现象的解释是,有研究发现如果用较高的剂量率,则在周期中的细胞都被“冻结”于照射开始时各自所在的时相;而如果用一定范围的低剂量率照射,则在照射期间该剂量率能允许细胞在周期中前进,并被阻滞于放射敏感的G 2 期(至少在HeLa细胞试验中已证实)。因此,在持续低剂量率照射时,一个本来非同步化的细胞群体变成了一个G 2 期的群体,反而可以增加对细胞的灭活。对HeLa细胞进行不同剂量率的照射后观察到的离体细胞的剂量率效应表现为当剂量率降低时,可杀灭更多的细胞。在1.54Gy/h的照射后,细胞被“冻结”于细胞周期的不同时相;当剂量率低至0.37Gy/h,细胞进入被阻滞于细胞周期的放射敏感的G 2 期,细胞存活曲线表现出与一次急性照射相近的趋势。
低剂量率脉冲放疗(pulsed low-dose rate radiation therapy,PLRT)是反向剂量率效应临床应用的一种体现。Zhang等通过动物实验研究了PLDR与传统放射治疗的疗效及毒副反应的差别,第1组实验将接种A549肿瘤细胞的荷瘤小鼠分为对照组、传统放疗组(8Gy照射)及PLDR组(0.2Gy×40次,脉冲间隔3min照射),通过影像学检测肿瘤变化。结果显示,传统放疗及PLDR在抑制肿瘤生长上显著优于对照组( P <0.05),且PLDR组的疗效略高于传统放疗组( P >0.05)。第2组实验将20只小鼠也分为两组,分别接受传统放疗(8Gy照射)和PLDR(0.2Gy×40次,脉冲间隔3min照射),结果显示,PLDR组裸鼠的体重及生存时间优于传统放疗组,且差异有统计学意义( P <0.05)。由此说明PLDR能达到传统放疗的治疗效果,同时对正常组织的放射毒性比传统放疗小得多。PLDR相关的临床研究也有很多,Richards等采用PLDR对17例局部复发的乳腺癌患者进行放疗并随访18个月,发现仅有2例患者治疗失败,且接受治疗的患者耐受良好。近期有来自中国的临床研究报道了剂量率脉冲放疗在晚期难治性恶性肿瘤治疗中的疗效及副作用方面的探索,治疗20例患者,癌种包括胃癌、肺癌、食管癌、肠癌、脑胶质瘤、膀胱癌、软骨肉瘤和肝门部胆管癌,入组患者为预计难以耐受常规剂量率治疗的照射野内复发或肿瘤巨大的患者。采用的PLDR照射方法为:每天照射剂量为2Gy分10次完成,每3分钟照射一次,每次0.2Gy,每天治疗历时约30分钟,每周治疗5天,剂量率为6.67cGy/min。治疗1个月后按RECIST标准评估疗效,局部缓解率41%、疾病稳定率53%。3例患者由于病程快速进展而未完成治疗、6例(35%)患者未出现放疗并发症、7例患者出现1~2级毒性、4例患者出现3~4级毒性。中位随访1年后,4例患者出现照射野内复发。一年局控率76.4%。说明PLDR在治疗难治性晚期恶性肿瘤方面的可行性。此外,PLDR治疗鼻咽癌、肺癌脑转移等也获得了不错的结果。有学者比较了调强放疗、三维适形放疗及容积弧形调强放射治疗技术,发现采用调强放疗实施PLDR,能在覆盖靶区的同时更好地保护周围正常组织。
需要注意的是,与上述低LET射线所带来的细胞存活曲线不同,在高LET射线如重离子照射后,细胞存活曲线常是指数性的,可用S=-αD的形式表示,细胞死亡基本上是由于直接致死性杀伤(α损伤),与分次数和剂量率无关。
(朱 健 李宝生)