



本节主要讨论液体的流动状态、运动规律及能量转换等问题,这些都是流体动力学的基础以及液压传动中分析问题和设计计算的理论依据。
液体静止时,由于液体质点之间没有相对运动,因而液体的黏性不起作用。液体流动时,其黏性将起重要作用。液体流动时,由于重力、惯性力、黏性摩擦力等因素影响,其内部质点的运动状态各不相同。这些质点在不同时间、不同空间处的运动变化对液体的能量损耗有影响。此外,流动液体的运动状态还与液体的温度、黏度等参数有关。但对液压技术来说,研究的只是整个液体在空间某特定点处或特定区域内的平均运动情况。为了简化条件,便于分析,一般都假定在等温条件下来讨论液体的流动情况。
流动液体的连续性方程、伯努利方程和动量方程是描述流动液体力学规律的三个基本方程。前两个方程用来解决压力、流速两者之间的关系问题,动量方程用来解决流动液体与固体壁面作用力的问题。
1.理想液体和恒定流动
由于液体具有黏性,因此在研究流动液体时必须考虑黏性的影响。但液体中的黏性问题非常复杂,为了便于分析和计算,开始分析时可先假设液体没有黏性,然后再考虑黏性的影响,并通过实验验证等办法对分析和计算结果进行补充或修正。这种方法同样可用来处理液体的可压缩性问题。一般把既无黏性也无压缩性的液体称为理想液体,把事实上既有黏性又有压缩性的液体称为实际液体。
液体流动时,若液体中任何一点的压力、流速和密度等流动参数都不随时间变化,这种流动称为恒定流动(也称定常流动)。反之,液体流动时的压力、流速和密度等流动参数中任何一个参数随时间变化的流动称为非恒定流动(也称非定常流动)。研究液压系统静态性能时,可认为液体是恒定流动的,而研究动态性能时必须按非恒定流动考虑。
2.通流截面、流量和平均流速
液体在管道中流动时,垂直于流动方向的截面称为通流截面。单位时间内流过通流截面的液体体积称为流量,用 q 表示,单位为m 3 /s,工程上也常用L/min作为单位。
设在液体中取一微小通流截面d A ,如图2.11所示。
图2.11 流量和平均流速
液体在该截面上各点流速 u 可以认为是相等的,即流过该微小通流截面d A 的流量为
则流过整个通流截面 A 的流量为
实际液体在管道中流动时,由于黏性力的作用,整个通流截面上各点的速度 u 一般是不等的。故按式(2-22)计算流量较难。为了便于解决问题,引入了平均流速 v 的概念。即假想流经通流截面的流速是均匀分布的,液体按平均流速流动通过通流截面的流量等于以实际流速流过的流量。即
由此得出通流截面上的平均流速为
在工程实际中,只有平均流速 v 具有应用价值(有时工程中要考虑实际流场的分布情况)。液压缸工作时,活塞的运动速度就等于缸内液体的平均流速,因此可以根据式(2-24)建立起活塞运动速度 v 与液压缸有效面积 A 和流量 q 之间的关系,当液压缸有效面积一定时,活塞运动速度取决于入出液压缸的流量。
3.层流、紊流、雷诺数
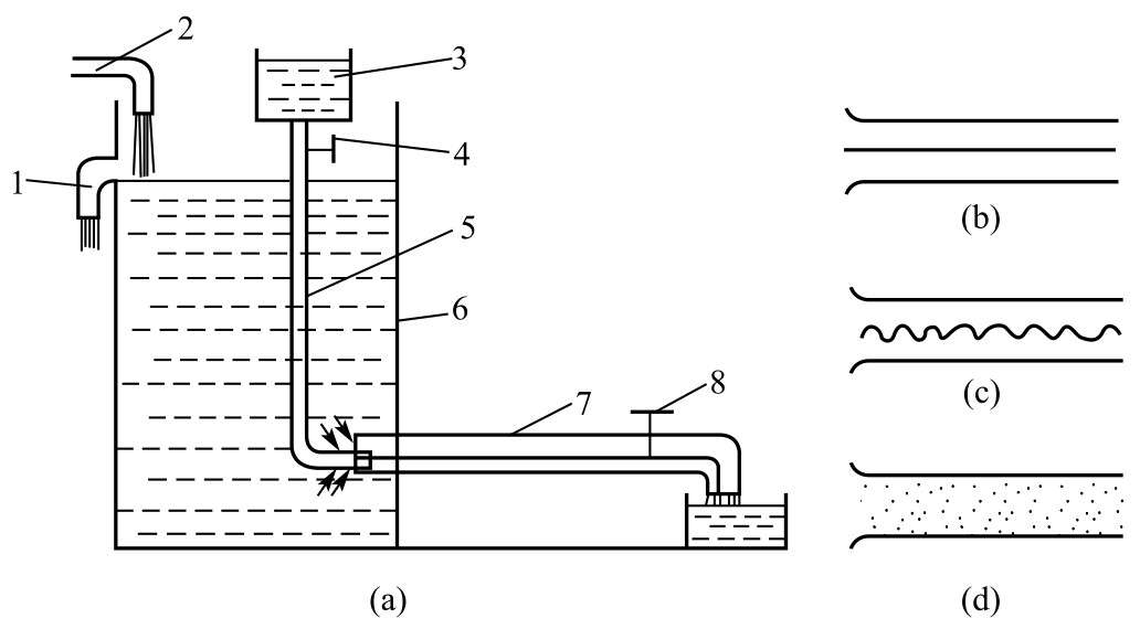
液体的流动有两种状态,即层流和紊流。这两种流动状态的物理现象可以通过雷诺实验观察出来。
实验装置如图2.12(a)所示。水箱6由进水管2不断充水,并由溢流管1保持水箱的水面为恒定,容器3盛有红颜色水,打开阀门8后,水就从管7中流出,这时再打开阀门4,红色水即从容器3经管5流入管7中。根据红色水在管7中的流动状态,即可观察出管中水的流动状态。当管中水的流速较低时,红色水在管中呈明显的直线,如图2.12(b)所示。
这时可看到红线与管轴线平行,红色线条与周围液体没有任何混杂现象,表明管中的水流是分层的,层与层之间互不干扰,液体的这种流动状态称为层流。
将阀门8逐渐开大,当管中水的流速逐渐增大到某一值时,可看到红线开始曲折,如图2.12(c)所示,表明液体质点在流动时不仅沿轴向运动,还有径向运动,若管中流速继续增大,则可看到红线成紊乱状态,完全与水混合,如图2.12(d)所示,这种无规律的流动状态称为紊流。如果将阀门逐渐关小,会看到相反的过程。
图2.12 雷诺实验装置
一般在层流与紊流之间的中间过渡状态是一种不稳定的流态,通常按紊流处理。
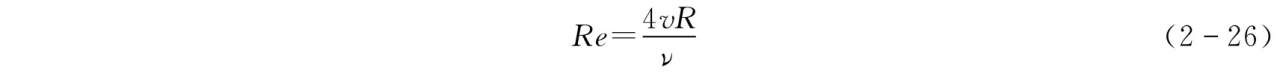
实验证明,液体在管中流动的状态是层流还是紊流,不仅与管内液体的平均流速 v 有关,还和管径 d 、液体的运动黏度 ν 有关。决定液体流动状态的是这三个参数组成的一个称为雷诺数 Re 的无因次量,即
液体的流动状态由临界雷诺数 Re cr 决定。当 Re < Re cr 时为层流;当 Re > Re cr 时为紊流。临界雷诺数一般可由实验求得,常见管道临界雷诺数见表2-3。
表2-3 常见管道的临界雷诺数
雷诺数的物理意义是:雷诺数是液流的惯性力对黏性力的无因次比,当雷诺数大时惯性力起主导作用,这时液体流态为紊流;当雷诺数小时黏性力起主导作用,这时液体流态为层流。
对于非圆截面的管道,液流的雷诺数可按下式计算:
式中, R 为通流截面的水力半径。
所谓水力半径 R ,是指有效通流截面积 A 和其湿周长度(通流截面上与液体相接触的管壁周长) X 之比,即
水力半径 R 的大小对管道的通流能力影响很大。水力半径大,意味着液流和管壁的接触周长短,管壁对液流的阻力小,因而通流能力大;水力半径小,则通流能力就小,管路容易堵塞。
液体在管道中作稳定流动时,由于假定液体是不可压缩的,即密度 ρ 是常数,液体是连续的,其内部不可能有间隙存在。因此根据质量守恒定律,液体在管内既不能增多,也不能减少。所以单位时间内流过管子每一个截面的液体质量一定是相等的。这就是液流的连续性原理(质量守恒定律)。
图2.13所示为液体在管道中作恒定流动,任意取截面1、2,其通流截面分别为 A 1 和 A 2 ,液体流经两截面时的平均流速和液体密度分别为 v 1 、 ρ 1和 v 2 、 ρ 2 。
图2.13 连续性方程示意图
根据质量守恒定律,在单位时间流过两个截面的液体质量相等,即
ρ 1 v 1 A 1 = ρ 2 v 2 A 2 =常数
当忽略液体的可压缩性时, ρ 1 = ρ 2 ,则得
v 1 A 1 = v 2 A 2 =常数
或
由于通流截面是任意选取的,故
这就是液流的流量连续性方程。该方程说明:在管道中作恒定流动的不可压缩液体流过各截面的流量是相等的,因而流速与通流面积成反比。
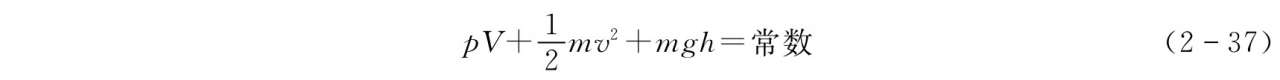
伯努利方程是能量守恒定律在流动液体中的表现形式,它主要反映动能、势能、压力能三种能量的转换。
1.理想液体的伯努利方程
图2.14所示为液流流束的一部分,其内取截面1、2所围的一段恒定流动的理想液体。
图2.14 伯努利方程示意图
设截面1、2处的通流截面分别为 A 1 、 A 2 ,压力分别为 p 1 、 p 2 ,流速分别为 v 1 、 v 2 ,截面中心高度分别为 h 1 、 h 2 。假设在很短时间d t 内,该段理想液体从截面1、2流到截面1′、2′。因为移动距离很小,在从截面1到截面1′和截面2到截面2′这两小范围内,通流截面、压力、流速和高度均可认为不变,现分析该段液体的动能变化。
1)外力对液体所做的功
由于理想液体没有黏性,不存在内摩擦力,所以外力对液体所做的功仅为两截面压力所作功的代数和,1-2段液体前后分别受到作用力 p 1 A 1 和 p 2 A 2 ,当1-2段液体运动到1′-2′,外力所作的总功 W 为
根据液体流动的连续性原理有
v 1 A 1 = v 2 A 2
或
式中, V 为1-1′或2-2′微小段液体的体积。
将式(2-31)代入式(2-30)得
2)液体机械能的变化
再来考察1-2段液体流到1′-2′时的能量变化。因为是恒定流动,1′-2这段液体任一点处的压力和流速均不随时间变化,所以这段液体的能量不会增减,而有变化的仅是微段液流1-1′移动到2-2′的位置高度和流速改变了,从而引起势能和动能的变化,其总变化量 ΔE 为
式中, m 为1-1′或2-2′微段液体的质量; g 为重力加速度。
因假设为理想液体,没有黏滞能量损耗,故根据能量守恒定律,1-2段液体流到1′-2′后所增加的能量应等于外力对其所做的功,即
将式(2-32)和式(2-33)代入式(2-34)得
或
因为1、2两通流截面位置是任意取的,故上式所表示的关系适用于流束内任意两个通流截面,所以上式可改写为
将式(2-37)各项除以 mg ,得
式中,
γ
为液体的重度,
γ
=
ρg
;
为单位重量液体具有的压力能,称为比压能或压力高度(压力头);
为单位重量液体具有的动能,称为比动能或速度高度(速度头);
h
为单位重量液体具有的势能,称为比势能(位置头)。
式(2-38)就是理想液体作恒定流动时的能量方程,又称伯努利方程。
伯努利方程的物理意义是:理想液体在密闭管道内作恒定流动时具有三种能量形式,分别为压力能、动能和势能。这三种能量之和为常数,即能量守恒,且三者之间可以互相转换。
当管道水平放置( h 1 = h 2 )时,或位置高低的影响甚小可以忽略不计时,各通流截面处的比势能均相等,则通流截面小的地方,液体流速就高,而该处的压力就低,即截面小的管道,流速较高,压力较低;而截面大的管道,流速较低,压力较高。在液压传动中,主要的能量形式为压力能。
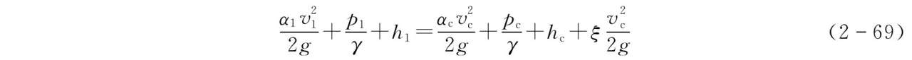
2.实际液体伯努利方程
实际液体在流动时,由于液体存在黏性,会产生内摩擦力,消耗能量,同时管道局部形状和尺寸的骤然变化,使液体产生扰动,也消耗能量。因此实际液体流动时必须考虑因液体流动而损失的一部分能量。另外,式(2-38)中的动能是按平均流速考虑的,存在一定误差;而实际液体的黏性使液体在通流截面上各点的实际流速并不相同,精确计算时必须引进动能修正系数。因此实际液体的伯努利方程可写为
式中, h w 为液体在两个截面之间流动时,单位重量液体因克服内摩擦力而损失的能量; α 1 、 α 2 为动能修正系数,层流时取 α =2,紊流时取 α =1。
应用实际液体的伯努利方程时须注意以下几点:
(1)截面1、2需顺流向选取,上游为截面1,下游为截面2,否则 h w 为负值。
(2)截面中心在基准以上时, h 取正值;反之取负值。
(3)两通流截面压力的表示形式应相同,如 p 1 是相对压力, p 2 也应是相对压力。
应用案例2-1
实际液体伯努利方程应用实例
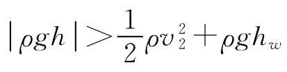
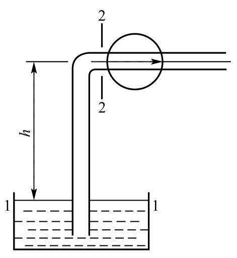
液压泵装置如图2.15所示,油箱与大气相通,泵吸油口至油箱液面高度为 h ,试分析液压泵正常吸油的条件。
图2.15 液压泵装置
解: 设以油箱液面为基准面,取油箱液面1-1和泵进口处截面2-2列伯努利方程,即
式中 p 1 =大气压= p a , h 1 =0, h 2 = h , v 1 ≪ v 2 , v 1 ≈0,代入伯努利方程后可得:
即液压泵吸油口的真空度为
如果泵安装在油箱液面之上,那么
h
>0,因
和
ρgh
w
永远是正值,这样泵的进口处必定形成真空度。实际上,液体是靠液面的大气压力压进泵去的。如果泵安装在油箱液面以下,那么
h
<0,当
时,泵进口处不形成真空度,油液自行灌入泵内。
为便于安装维修,液压泵应安装在油箱液面以上,依靠进口处形成的真空度来吸油。为保证液压泵正常工作,进口处的真空度不能太大,否则当绝对压力 p 2 小于油液的空气分离压时,溶于油液中的空气会分离析出形成气泡,产生气穴现象,引起振动和噪声。为此,需限制液压泵的安装高度 h ,一般泵的吸油高度 h 值不大于0.5m,并且希望吸油管内保持较低的流速。
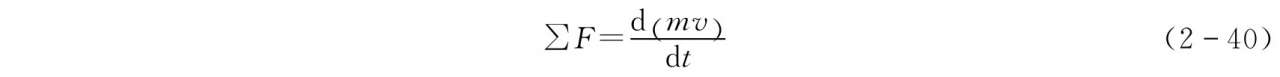
动量方程是动量定理在流体力学中的具体应用。在液压传动中,经常需要计算液流作用在固体壁面上的力,这类问题用动量定理来解决比较方便。
动量定理指出:作用在物体上的外合力等于物体在力作用方向上单位时间内动量的变化量,即
如图2.16所示,有一段液体1-2在管道内作恒定流动,在通流截面1-1和2-2处的平均流速分别为 v 1 和 v 2 ,面积分别为 A 1 和 A 2 。经过很短时间Δ t 之后,液体从1-2流到1′-2′位置。
图2.16 动量方程示意图
因为是恒定流动,故液体段1′-2内各点流速是不变的,它的体积和质量也是不变的,所以动量也没有发生变化。这样在Δ t 时间内,液体段1-2的动量变化等于液体段2-2′动量与液体段1-1′动量之差,也等于在同一时间内经过液流段1-2流出与流入的液体动量的差值。其表达式为
将式(2-41)代入式(2-40)得
式中, ρ 为流动液体的密度; q V 为液体的体积流量; v 1 、 v 2 为分别为液体流经截面1-1和2-2的平均流速。
式(2-42)即为理想液体作恒定流动时的动量方程。
在应用动量方程时应注意以下几点:
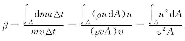
(1)实际液体有黏性,用平均流速计算动量时,会产生误差。为了修正误差,需引入动量修正系数 β 。式(2-42)可写为
式中,
。
(2)式(2-42)中, F 、 v 1 和 v 2 均为矢量,在具体应用时,应将该矢量向某指定方向投影,列出在该方向上的动量方程。如在 x 方向的动量方程为
(3)式(2-42)中是液体所受到固体壁面的作用力,而液体对固体壁面的作用力与 F 相同,但方向相反。
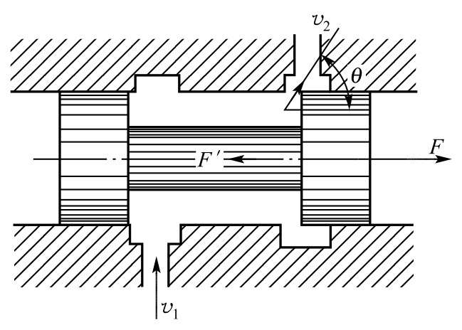
应用案例2-2
动量方程应用分析滑阀液动力实例
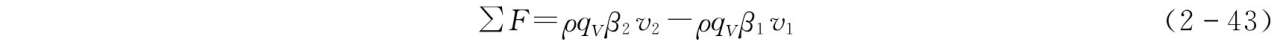
下面以常用的滑阀为例,分析液体对滑阀阀芯的作用力(即稳态液动力),如图2.17所示。油液进入阀口的速度为 v 1 ,油液以一射流角 θ 流出阀口,速度为 v 2 。
图2.17 滑阀的液动力
解: 取进、出口之间的液体体积为控制液体,根据动量方程,可求出作用在控制液体上的轴向力 F ,即
F = ρq V ( β 2 v 2 cos θ - β 1 v 1 cos90°)= ρq V β 2 v 2 cos θ
滑阀阀芯上所受的液动力 F ′为
F ′=- F =- ρq V β 2 v 2 cos θ
F ′的方向与 v 2 cos θ 的方向相反,即阀芯上所受的液动力,是使滑阀阀口趋于关闭。
当液流反方向通过滑阀时,同理可得相反的结果。由此可见,作用在滑阀阀芯上的液动力总是使阀口趋于关闭。
实际液体具有黏性,流动时会有阻力产生。为了克服阻力,流动的液体需要损耗掉一部分能量,这种能量损失可归纳为伯努利方程中的 h w 项。 h w 具有压力的量纲,通常称为压力损失。在液压传动系统中,压力损失使液压能转变为热能,它将导致系统的温度升高。因此,在设计液压系统时,要尽量减少压力损失,而这种压力损失与液体的流动状态有关,以下主要分析液体流动时所产生的能量损失,即压力损失。
压力损失可分为沿程压力损失和局部压力损失两类。
1.沿程压力损失
液体在直径不变的直管中流动时,由于液体内摩擦力的作用而产生的能量损失,称为沿程压力损失。液体的流动状态不同,所产生的沿程压力损失也有所不同。
1)层流时的沿程压力损失
液压传动中,液体的流动状态多数是层流。当液流为层流时,液体流经直管中的压力损失可以通过理论计算求得。
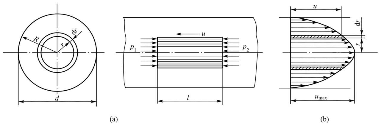
如图2.18(a)所示,假定液体在内径为 d ( d =2 R )的管道中流动,流动状态为层流,圆管水平放置。在管内取一段与管轴线重合的微圆柱体,其半径为 r ,长度为 l ,作用在微圆柱体左端的液压力为 p 1 ,右端的液压力为 p 2 ,圆柱面上的摩擦力为 F f 。
图2.18 直管中的压力损失计算图
(1)通流截面上流速的分布规律。由图2.18(a)可知,微小液柱的力平衡方程为
根据牛顿内摩擦定律可知:
式中,负号表示流速增量d u 与半径增量d r 的符号相反,如图2.18(b)所示。
若令Δ p = p 1 - p 2 ,将 F f 代入上式整理可得
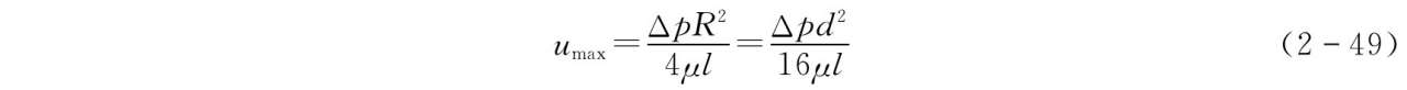
对式(2-47)积分,并应用边界条件,当 r = R 时, u =0,得
式(2-48)表明,液体在直管中作层流运动时,速度对称于圆管中心线并按抛物线规律分布。最大流速在轴线上,即当 r =0时流速为最大,其值为
(2)流量。图2.18(b)所示抛物体的体积就是液体单位时间内经过流截面的体积流量。在半径为 r 处取一层厚度为d r 的微圆环面积,通过此环形面积的流量为
对上式积分,得
(3)平均流速。设管道内的平均流速为 v ,根据平均流速的定义,可得
将上式与 u max 值比较,得平均流速 v 与最大流速 u max 的关系为
用平均流速计算层流状态的动能和势能时,修正系数 α 和 β 的值为
(4)沿程压力损失。层流状态时,液体流经直管的压力损失为
式中,Δ p λ 为沿程压力损失。
从式(2-56)可看出,当直管中的液流为层流时,其压力损失与管长、流速和液体黏度成正比,而与管径的平方成反比。计算压力损失时,为简化,可将式(2-56)进行适当变换,沿程压力损失公式可改写成如下形式:
式中,
λ
为沿程阻力系数,层流时,理论值
。
实际应用时,对光滑金属管取
,对橡胶管取
。
式(2-57)是在管道水平放置的条件下推导出来的。由于液体的自重和位置变化所引起的压力变化很小,可以忽略,因此式(2-57)也同样适用于管道非水平放置的情况。
2)紊流时的沿程压力损失
紊流的特性之一是液体各质点不再是规则的轴向运动,液体质点在运动过程中互相碰撞、掺混与脉动,并形成漩涡。紊流能量损失比层流大得多。紊流时计算沿程压力损失的公式在形式上与层流相同,即
式中的阻力系数 λ 除与雷诺数 Re 有关外,还与管壁的相对粗糙度有关,即
式中, Δ 为管壁的绝对粗糙度,它与管径 d 的比值 Δ / d 称为相对粗糙度。
对于光滑管, λ 值可用下式计算:
对于各种粗糙管, λ 的值可以根据不同的 Re 和 Δ / d 从有关手册上查出。
2.局部压力损失
流动液体除通过直管产生沿程压力损失外,通过阀门、弯头、接头等局部障碍时,液流方向和流速发生变化,在这些地方发生撞击、分离、旋涡等现象,也会造成能量损失,这部分能量损失称为局部压力损失。局部压力损失是由旋涡使液体质点相互撞击消耗动能造成的,或者是由于截面流速剧烈变化产生附加摩擦消耗动能造成的。消耗的动能均由压力能变为热能。
液体在流过这些局部障碍时,液体的流动状态极为复杂,影响因素较多。局部压力损失值除少数形式可以从理论上进行分析、计算外,一般都依靠实验方法先求得各种类型的局部阻力系数,然后再计算局部压力损失。局部压力损失的大小可按下列公式计算:
式中, ξ 为局部阻力系数(由实验求得,具体数值可查阅有关手册)。
各种局部压力损失的形式可能不同,但物理本质是相同的,故式(2-61)可以认为是局部压力损失的一般表达式。当液流通过阀口、弯头及突然变化的截面时,其局部阻力系数是不同的,各种局部损失的形式及其阻力系数 ξ 可由有关手册查得。
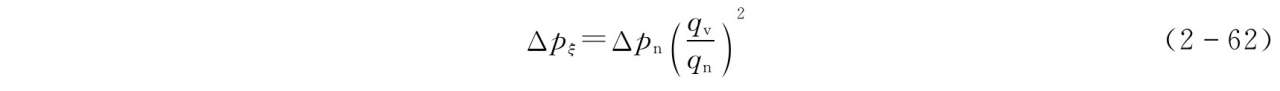
液流通过各种阀的局部压力损失,可由阀的产品样本中查得。查得压力损失为在额定流量 q n 下的压力损失Δ p n 。当实际通过的流量 q v 不是额定流量时,通过该阀的压力损失为
式中, q n 为阀的额定流量; q v 为阀的实际流量;Δ p n 为阀通过额定流量下的压力损失。
3.管道系统中的总压力损失
液压系统的管道常由若干段直管和一些弯头、管接头、控制阀等组成。管路系统中总的压力损失∑Δ p 等于所有直管的沿程压力损失∑Δ p λ 与所有局部压力损失∑Δ p ξ 之和,即
利用式(2-63)或(2-64)计算总压力损失时,两相邻局部损失之间要有足够的距离。因为当液流经过一个局部阻力处后,要在直管中流经一段距离,液流才能稳定;否则,如液流尚未稳定就又经过第二个局部阻力处,将使情况复杂化,有时阻力系数可能比正常情况下大2~3倍。一般希望在两个局部阻力处之间的直管长度 l >(10~20) d , d 为管道内径。
液压系统的总压力损失也可用实验方法测得,这种方法简便、准确。
由式(2-64)可看出,高流速使压力损失增大。为使液压系统正常工作又不至于压力损失过大,设计液压系统时,一般推荐管路中的液流速度如下:
压油管路 v =(3~4)m/s;
吸油管路 v =(0.5~1.5)m/s;
回油管路 v ≤3m/s。
压力损失消耗能量使系统发热,应力图避免;但压力损失又可理解为作用于某控制体两端的压差,而控制或造成某些阀类元件所必需的压差,在液压技术中可用来实现流量与压力的控制。
应用案例2-3
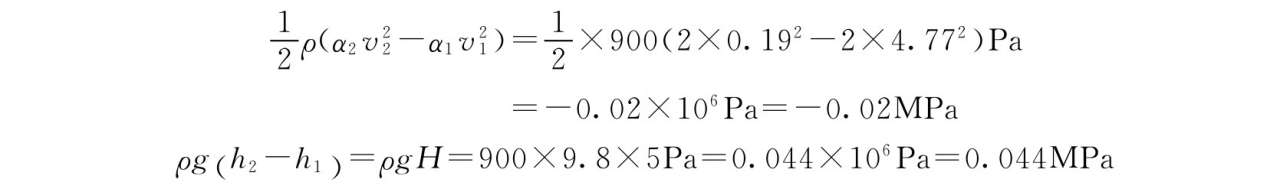
液压系统压力损失分析实例
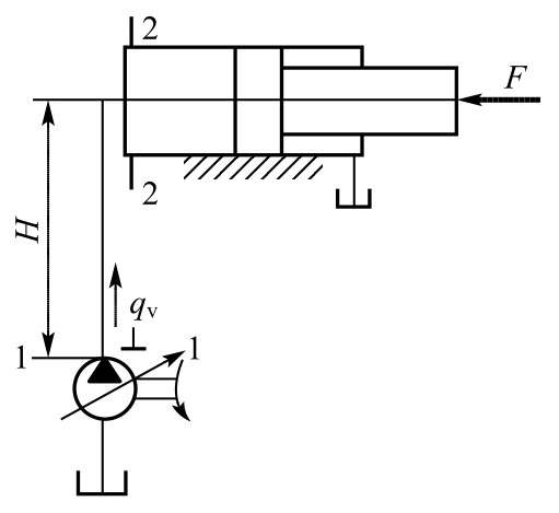
在图2.19所示液压系统中,已知泵的流量 q =1.5×10 -3 m 3 /s,液压缸无杆腔的面积 A =8×10 -3 m 2 ,负载 F =3000N,回油腔压力近似为零,液压缸进油管的直径 d =20mm,总长即为管的垂直高度 H =5m,进油路总的局部阻力系数 ξ =7.2,液压油的密度 ρ =900kg/m 3 ,工作温度下的运动黏度 ν =46 m m 2 /s。试求:
(1)进油路的压力损失;
(2)泵的供油压力。
解: (1)求进油路压力损失。进油管内流速为
图2.19 液压系统示意图
因此,进油管内的油液流动为层流。
沿程阻力系数 λ =75/ Re =75/2074=0.036,故进油路的压力损失为
(2)求泵的供油压力。对泵的出口油管截面1-1和液压缸进口后的截面2-2之间列出伯努利方程,即
或
式中,
p
2
为液压缸的工作压力,
;
ρgh
w
为两截面间的压力损失,
ρ
gh
w
=∑Δ
p
=0.166MPa;
v
2
为液压缸的运动速度,
v
2
=
。
因 α 1 = α 2 =2,则
故泵的供油压力为
p 1 =(3.75-0.02+0.044+0.166)MPa≈4MPa
由本例可看出,在液压系统中,由液体位置高度变化和流速变化引起的压力变化量,相对来说是很小的,此两项可忽略不计。因此,泵的供油压力表达式可以简化为
即泵的供油压力由执行元件的工作压力 p 2 和管路中的压力损失∑Δ p 确定。
液体经孔口或缝隙流动的现象在液压系统中经常遇到。在液压传动中常利用液体流经阀的小孔或缝隙来控制压力和流量,以此来达到调压或调速的目的。同时,液压元件(如液压缸)的泄漏属于缝隙流动。因此,研究液体在孔口和缝隙中的流动规律,了解影响它们的因素,才能为正确地分析液压元件和系统的工作性能以及合理设计液压传动系统提供依据。
孔口根据它们的长径比可分为三种:当小孔的长度 l 、直径 d 的比值 l / d ≤0.5时,称为薄壁小孔;当 l / d >4时,称为细长孔;当0.5< l / d ≤4时,称为短孔。
1.薄壁小孔的流量
图2.20所示为进口边做成刃口形的典型薄壁孔口。液体流经截面1-1时流速较低,流经小孔时产生很大加速度,在惯性力作用下向中心汇集,使流束收缩,收缩至孔口下游约 d /2处为最小, C - C 截面称为收缩截面,这种现象称为收缩现象。对于薄壁圆孔,当孔前通道直径 D 与小孔直径 d 之比 D / d ≥7时,流束的收缩作用不受孔前通道内壁的影响,这时的收缩称为完全收缩;反之,当 D / d <7时,孔前通道对液流进入小孔起导向作用,此时收缩称为不完全收缩。
图2.20 流经薄壁小孔的液流
收缩截面面积 A c 与小孔截面面积 A 0 之比称为收缩系数 C c ,即
式中,
A
c
为收缩截面面积,
;
A
0
为小孔截面面积,
。
收缩系数取决于雷诺数、孔口及边缘形状、孔口离管道侧壁的距离等因素。
对通道截面1-1和截面 C - C 应用伯努利方程,可求得流经薄壁小孔的流量。
列出1-1和 C - C 截面的伯努利方程,则有
式中, p 1 、 v 1 为1-1截面处的压力和速度; p c 、 v c 为 C - C 截面处的压力和速度; h w 为局部能量损失。
由式(2-62)可求得
把式(2-68)代入式(2-67)得:
由于
v
c
≫
v
1
,
h
1
=
h
c
,略去
后,式(2-69)变为
由式(2-70)可求得
式中,Δ
p
为小孔前后压差,Δ
p
=
p
1
-
p
c
;
α
c
为
C
-
C
截面的动能修正系数,
α
c
=1;
C
v
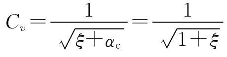
为速度系数,
。
根据流量连续性方程,可求得通过薄壁小孔的流量为
或
式中,
K
为由小孔的形状、尺寸和液体性质决定的系数,
;
C
q
为流量系数,
C
q
=
C
v
C
c
。
流量系数值由实验确定,当完全收缩时, C q =(0.61~0.62);当不完全收缩时, C q =(0.7~0.8)。薄壁小孔沿程阻力损失非常小,通过小孔的流量与黏度无关,即流量对油温的变化不敏感。因此,液压系统中常采用薄壁小孔作为节流元件。
2.短孔的流量
短孔的流量公式仍为式(2-73),但流量系数不同,一般取 C q =0.82。短孔易加工,故常用作固定节流器。
3.细长孔的流量
液体流过细长孔时,一般为层流状态,流量可用前面已推导的圆管层流时的流量式(2-51)确定,即
式中,
。
由式(2-74)可知,液体流经细长孔的流量与小孔前后压差的一次方成正比,且受温度、孔长及孔径的影响较大,流量不稳定。因此细长孔主要作固定节流孔和阻尼器用。
4.小孔的流量计算
根据式(2-73)和式(2-74),各小孔的流量可统一表示为
式中,对于细长孔,
;对于薄壁孔和短孔,
。
m
是由小孔的长度与直径之比所决定的常数,对于细长孔
m
=1,对于薄壁孔
m
=0.5,对于短孔0.5<
m
<1。
在液压元件中,合理的间隙是零件间正常相对运动所必需的。间隙对液压元件的性能影响极大。讨论液流在间隙中的流动特性,对液压元件的设计、制造、性能分析、计算泄露量等都具有实际意义。
液压装置的各零件之间,特别是有相对运动的各零件之间,一般都存在缝隙(或称间隙)。油液流过缝隙就会产生泄漏,这就是缝隙流量。由于缝隙通道狭窄,液流受壁面的影响较大,流速较低,因此缝隙液流的流态均为层流。
通常来讲,缝隙流动有三种状况,一种是由缝隙两端压差造成的流动,称为压差流动;另一种是形成缝隙的两壁面作相对运动所造成的流动,称为剪切流动;还有一种是这两种流动的组合,压差和剪切联合作用下的流动。下面讨论在压差作用下的流量计算。
1.流经平面间隙的流量计算
图2.21所示为平行平板缝隙间的流动情况。设缝隙高度为 h ,宽度为 b ,长度为 l ,一般有 l ≫ h 和 b ≫ h ,设缝隙两端的压力分别为 p 1 和 p 2 ,其压差为Δ p = p 1 - p 2 。假定上平板向右运动的速度为 u 0 ,液体自左向右运动,从缝隙中取出一微小的单元,其左右两端面所受的压力分别为 p 和 p +Δ p ,上下两侧面所受的摩擦切应力分别为 τ 和 τ +d τ ,方向如图2.21所示。
图2.21 平行平板缝隙流量计算简图
恒定流动时微单元在水平方向上的受力平衡方程为
整理后得
将
代入上式得
对上式积分两次得
式中, C 1 、 C 2 都是积分常数。
当两平行平板的相对速度为 u 0 时,利用边界条件: y =0处, u =0和 y = h 处, u = u 0 ,代入式(2-78)得
另外,液体作层流时压力只是距离(长度)的线性函数,即
把这些关系式代入式(2-78)并考虑到运动平板有可能反向运动,可得
由此可求出液体在平行平板缝隙中的流量为
对于式(2-80)中的“±”号的确定方法如下:当动平板移动的方向和压差方向相同时,取“+”号;方向相反时,取“-”号。
当平行平板间没有相对运动( u 0 =0)时,流量值为
当平行平板两端没有压差(Δ p =0)时,流量值为
如果将通过缝隙中的流量理解为液压元件缝隙中的泄漏量,则可以看到,通过缝隙的流量与缝隙厚度的三次方成正比,这说明液压元件内缝隙的大小对其泄漏量的影响是很大的。此外,这些泄漏所造成的功率损失可写成
由此可得出如下结论:缝隙 h 越小,泄漏功率损失也越小,但是并不是 h 越小越好。 h 的减小会使液压元件中的摩擦功率损失增大,缝隙 h 有一个使这两种功率损失之和达到最小的最佳值。
2.同心环状缝隙的流量计算
在液压缸的活塞和缸筒之间,液压阀的阀芯和阀套之间,都存在着圆环缝隙。图2.22所示的同心环状间隙,圆柱直径为 d ,缝隙厚度值为 h ,缝隙长度为 l 。
当
- (相当于液压元件配合间隙的情况)时,可将环形缝隙沿圆周方向展开,相当于一个平行平板缝隙。因此只要将
b
=π
d
代入式(2-80),就可得出内外表面之间有相对运动的同心环形缝隙流量公式,即
当相对运动速度 u 0 =0时,即为内外表面之间无相对运动的同心圆环缝隙的流量公式
3.偏心环状缝隙的流量计算
液压元件在实际工作过程中,圆柱体与孔的配合很难保持同心,往往带有一定偏心距 e ,如活塞与液压缸不同心时就形成了偏心环状缝隙,如图2.23所示。
图2.22 环形缝隙
图2.23 偏心环形缝隙
通过此偏心圆形缝隙的流量可按下式计算
式中,
h
为内外圆同心时的缝隙值;
ε
为相对偏心率,
。
当内外圆表面没有相对运动时,即 u 0 =0,其流量公式为
从式(2-87)可知,通过同心圆环形缝隙的流量公式是偏心环形缝隙流量公式在 ε =0时的特例。当完全偏心时,即 e = h 和 ε =1,此时有
可见,完全偏心时的流量是同心时的2.5倍,在实用中估计约为2倍。为了减小因偏心环状缝隙导致的泄漏,在液压元件的设计制造和装配中,应采取适当措施,例如在阀芯上加工一些压力平衡槽就能达到阀芯和阀套同心配合的目的,以保证较高的配合同轴度。
图2.24 圆环平面缝隙间的液流
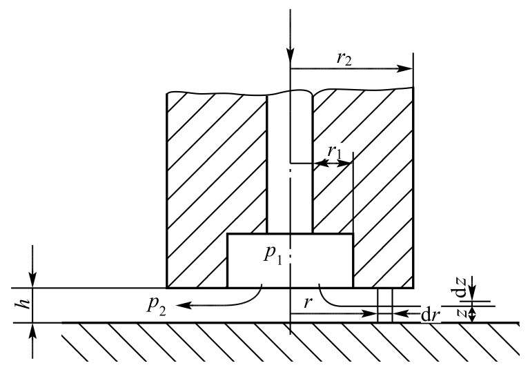
4.圆环平面缝隙的流量计算
图2.24所示为一种在静压支承中(例如轴向柱塞泵滑履中)的平面缝隙流动,液体自圆环中心向外辐射流出。
根据式(2-79)、令 u 0 =0,可得在半径为 r 离下平面 z 处的径向速度 u r 为
流过的流量为
即
当 r = r 2 时, p = p 2 ,求出 C ,代入式(2-91)得
又当 r = r 1 时, p = p 1 ,所以可得
式中,Δ p = p 1 - p 2 。
对锥阀来说,如阀座的长度较长而阀芯移动量很小,使在锥阀缝隙中的液流呈现层流时,就可设想将它展开变成圆环形平面缝隙液流,利用式(2-93),将式中的 π 用πsin φ 替代,得出流经锥阀缝隙的流量。
应用案例2-4
液压筒式减振器节流阀阻尼构件分析与参数设计模型建立
液压系统阻尼构件分析是液压部件设计的重要基础,关系看能否建立正确的阀系参数设计数学模型,能否设计得到可靠的阀系设计参数。下面以汽车减振器复原节流阀阻尼构件分析及阀系参数设计数学模型建立为例,对节流阀中各类阻尼构件进行分析。
减振器复原运动时,活塞上腔内一部分油液经活塞孔,进入复原阀内腔,然后经复原阀常通节流孔和节流缝隙,流到活塞下腔。同时,活塞上腔另一部分油液,则流经活塞与活塞缸筒内径之间的环形节流缝隙,即经活塞缝隙,流到活塞下腔。因此,要建立正确的复原阀系参数设计数学模型,得到可靠的阀系设计参数,必需首先根据减振器复原阀的具体结构(图2.4),对油液流经各处的阻尼构件进行分析。
1)复原阀阻尼构件分析
(1)活塞缝隙的流量和。
活塞缝隙大小是根据活塞和减振器缸筒内径的配合公差所决定的,平均活塞缝隙为 δ H ,因此,油液流经活塞缝隙的节流压力可表示为
式中, D h 为活塞缸筒内径; μ t 为油液动力黏度; q H 为流经活塞缝隙的流量; e 为活塞偏心率,一般0< e <1; L H 为活塞缝隙长度。
(2)常通节流孔。
减振器复原阀节流阀片是由单片周边带缺口阀片和其他周边不带缺口的多片阀片叠加而成的,其中,常通节流孔面积仅由单片节流阀片上的几个周边缺口截面形成,如图2.25所示。
图2.25 带缺口的节流阀片
常通节流孔总面积,由阀片厚度 h 1 、节流孔宽度 l A 和个数 n A 所决定的,即 A 0 = h 1 l A n A 。因此,常通节流孔流量与节流压力之间关系可表示为
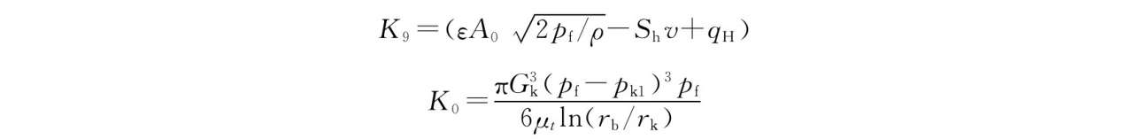
式中, p 0 为常通节流孔节流压力; ρ 为油液密度; ε 为流量系数。
(3)节流缝隙。
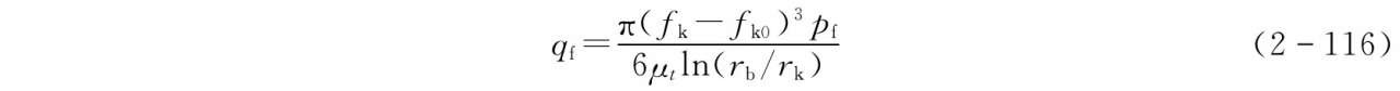
当减振器相对运动速度大于开阀速度 v k 时,节流阀片在阀口位置半径处的变形量大于阀片预变形量,节流阀片与阀口端面之间形成环形平面节流缝隙 δ k 。因此,则流经节流缝隙流量 q f 可表示为
式中, μ t 为油液动力黏度; δ k 为阀口开度, δ k = f k - f k0 ; f k 为阀片在阀口半径位置总变形量; f k0 为阀片预变形量; p f 为缝隙节流压力。
阀片在压力 p 作用下,在阀口位置半径 r k 处的变形量,可表示为
式中, G k 为节流阀片在阀口半径 r k 处变形系数; h 为节流阀片厚度; p 为阀片所受压力,大小等于缝隙节流压力,即 p = p f 。
(4)活塞孔。
减振器活塞孔的流量 q h 与节流压力 p h 之间关系,可表示为
式中, L he 为活塞孔等效长度, L he = L h + L e , L e 为局部压力损失所折算的活塞孔当量长度; n h 为活塞孔个数; d h 为活塞孔直径。
① 活塞孔沿程阻力损失。当减振器速度 v 小于减振器临界速度 v c 时,活塞孔中的油液流动为层流,沿程阻力系数为
式中, v 为油液在活塞孔中的运动速度; S h 为减振器缸筒内径与活塞杆之间环形面积; ν o 为油液运动黏度。
当减振器速度 v z 大于减振器临界速度 v c 时,油液在活塞孔的流动为紊流,沿程阻力系数为
由以上可知,活塞孔的沿程阻力系数与速度有关。某汽车减振器当运动速度在 v z =(0~1.0)m/s范围变换时,油液流经活塞孔的沿程阻力系数的变换曲线如图2.26所示。
图2.26 活塞孔沿程阻力系数变换曲线
活塞孔的沿程阻力系数与速度有关,因此,对减振器进行参数设计和特性分析时,应根据减振器不同速度,决定活塞孔的油液流动状态,采用不同的沿程阻力系数。
② 局部阻力损失叠加与折算。油液在流经活塞孔以及复原阀体内腔时,会产生突然缩小、突然扩大和改变方向等局部阻力损失,各局部阻力损失系数分别为 ζ h1 、 ζ h2 和 ζ h3 。
油液流入孔前的面积为
,活塞孔面积为
。因此,活塞孔突然缩小面积比为
A
h
/
S
h
。活塞孔面积突然缩小的局部阻力系数
ζ
h1
由
A
h
/
S
h
决定。
油液从活塞孔流入复原阀体内腔时,活塞孔面积由
A
h
突然扩大为复原阀体内腔的截面积
。因此,活塞孔突然扩大的局部阻力系数
ζ
h2
可由
ζ
h2
=(1-
A
h
/
S
F
)
2
求得。
活塞孔与轴线呈一定角度,当油液在进入常通节流孔之前会突然改变方向。因此,根据油液流经活塞孔突然改变方向角的大小,按照《机械设计手册》所提供的公式,可计算得到活塞孔因改变流向的局部阻力系数 ζ h3 。
利用叠加原理将局部阻力损失进行叠加,并折算成活塞孔沿程阻力系数或常通节流孔流量系数。复原阀局部阻力系数折算成活塞孔的当量长度为
2)减振器复原阀参数设计数学模型
(1)减振器设计要求速度特性。
设计减振器所要求的速度特性,可以用速度特性数值和特性曲线表示。某汽车减振器设计所要求的分段线性特性曲线如图2.27所示。
图2.27中, v k1 、 v k2 分别是原阀初次开阀速度和最大开阀速度。
减振器初次开阀速度 v k1 是由减振器节流阀片预变形量和常通节流孔面积所决定的,而阀片预变形量是由节流阀座结构尺寸所决定的,即当减振器节流阀片受油液压力后的变形量等于阀片预变形量时,减振器节流阀开阀,此时减振器的速度即为减振器初次开阀速度 v k1 ;二次开阀速度 v k2 是由减振器阀片厚度和节流阀片最大限位间隙决定的,当减振器节流阀片变形与限位挡圈接触时,定义此时减振器的速度为最大开阀速度 v k2 。
(2)常通节流孔面积设计数学模型。
由减振器初次开阀速度定义可知,减振器初次开阀之前的速度特性,主要是由减振器常通节流孔所决定的。因此,利用减振器初次开阀之前的速度特性,可建立减振器常通节流孔面积设计数学模型。
根据复原阀初次开阀速度 v k1 和阻尼力 F dk1 ,得减振器开阀前任意速度点 v 所对应阻尼力 F d ,其可表示为
当减振器复原运动且速度小于初次开阀速度时,油路如图2.28所示。
图2.27 减振器要求的速度特性曲线
图2.28 开阀前油路图
在减振器初次开阀前的任意速度点 v < v k1 ,设计所要求阻尼力为 F d ,则活塞缝隙压力为
因此,活塞缝隙流量 q H 与节流压力 p H 之间关系为
开阀前流经常通节流孔的流量为
式中, q 为减振器速度 v 时活塞上腔流到下腔的总流量, q = vS H 。
由于活塞孔和常通节流孔串联,即 q 0 = q h ,因此,在考虑各局部阻力系数,由(2)式得活塞孔节流压力为
由式(2-95),可得常通节流孔的节流压力为
复原阀开阀前,常通节流孔节流压力应满足关系式 p 0 = p H - p h ,即
因此,常通节流孔面积设计数学模型为
图2.29 复原阀初次开阀后油液流路图
利用上式,可实现减振器常通节流孔面积的单速度点设计,即利用开阀前任意速度下所对应阻尼力,对常通节流孔面积进行设计。
(3)节流阀片厚度设计数学模型。
当减振器复原运动速度大于初次开阀速度时,减振器油液流动路径如图2.29所示。
减振器复原阀初次开阀后,减振器的速度特性主要是由节流阀片与阀座之间所形成的环型平面缝隙所决定的,因此,当常通节流孔面积设计确定之后,可利用减振器初次开阀厚度的速度特性,建立减振器节流阀片厚度设计数学模型。
设初次开阀后的任意速度点 v ( v k1f < v < v k2f ),减振器设计所要求的阻尼力为 F d ,此时,活塞缝隙节流压力应为
因此,根据减振器活塞缝隙节流压力与流量之间关系,可得流经活塞缝隙的流量为
活塞孔和活塞缝隙并联,因此,流经活塞孔流量为 q h = vS h - q H 。可得活塞孔的节流压力为
节流缝隙与活塞孔串联,因此节流阀片所受的压力为
常通节流孔与节流缝隙并联,常通节流孔的节流压力等于节流缝隙的节流压力,即 p 0 = p f 。由此可得流经常通节流孔 A 0 的流量为
根据减振器初次开阀时所要求的阻尼力 F dk1 ,可求得开阀时的活塞缝隙和活塞孔节流压力分别为 p Hk1 和 p hk1 。因此,由式(2-113)可得节流缝隙的开阀压力为
复原阀开度 δ k = f k - f k0 ,因此,可得复原节流缝隙流量为
节流缝隙和常通节流孔为并联,根据油液连续性定理可得
将节流缝隙流量和常通节流孔流量代入上式,并令
可得减振器复原节流阀片厚度设计数学模型为
利用上述节流阀片厚度设计数学模型,可实现对减振器复原阀片厚度设计,即可根据开阀后不同速度点所对应的阻尼力,对复原节流阀片厚度进行设计。
(4)阀系其他设计参数。
当常通节流孔面积和阀片厚度设计确定之后,可以根据初次开阀速度和最大开阀速度以及所对应的阻尼力,设计确定其他阀系参数,如阀片预变形量 f k0 和阀片间隙调整垫片厚度 h g 分别为
由上可知,根据减振器具体结构对减振器各阻尼构件进行分析,然后根据减振器初次开阀前、后和二次开阀油路,利用减振器速度、流量、节流压力及节流阀片变形之间关系,可建立减振器阀系参数(如常通节流孔面积、节流阀片厚度、阀片预变形量和最大限位间隙)的设计数学模型。