购买
下载掌阅APP,畅读海量书库
立即打开
畅读海量书库
扫码下载掌阅APP

2.2 地球的形状与大小

测量学的主要研究对象是地球自然表面,地球自然表面有着众多的高山、丘陵、平原、湖泊、海洋等起伏形态,是一个形状极为复杂的曲面。地球上海洋面积约占总面积的71%,可以说海水的形状表现了地球的基本形状,而且大陆的最高山峰(我国珠穆朗玛峰)高出海水面8844米,最深的海沟(太平洋西部的马里亚纳海沟南端)低于海水面11034米,它们与地球半径6300多公里相比,分别相当于地球半径的1.5‰和1.8‰,所以能够简单地定义地球的形状,建立起测量的基准面。在测量学中,设想完全处于静止状态的平均海水面,向大陆下延伸所形成的一个封闭曲面,称为大地水准面,它所围成的形体称为大地体,用来近似表示地球的形状。

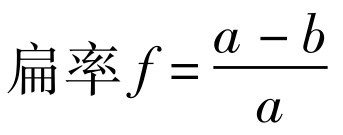
由于地球外壳物质分布不均匀以及地面起伏等因素的影响,重力方向常发生局部性的变化,大地水准面也随之产生微小的起伏,成为一个不规则的曲面,如果将地球表面上的点投影到这样的不规则曲面上,计算起来仍然非常困难。因此必须用一个与大地水准面极为近似、并可以用数学公式表示的规则球面来代替,这个规则球面的球体称为地球椭球体(图2.1)。椭球体是围绕椭圆的短轴NS旋转而成的(图2.2),经过旋转轴NS的平面与椭球面相截的曲线是一个椭圆,垂直于旋转轴的平面与椭球面相截的曲线是一个圆。决定地球椭球体的形状和大小的参数为长半轴 a 和短半轴 b, 以及由此计算出的另一参数:

图2.1 地球表面与大地水准面

图2.2 地球椭球体

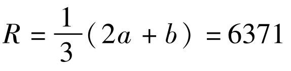
由于参考椭球体的扁率很小,当测区面积较小时,在一些测量工作的计算中可以把地球当作圆球看待,其半径为: 公里。

我国目前所采用的参考椭球体为1980年国家大地测量参考系,其中长半轴 a = 6378140米,短半轴 b = 6356755.3米,扁率 f =1∶298.257。 9hASOrrn5nRCNHMhS1hQT7SQg6Lg9oLWXUMQ5uChx78BXJM5lCmnB69YjeHbteUv

点击中间区域
呼出菜单
上一章
目录
下一章
×