



面积问题包含两个方面:一是给出面积的定义,二是寻求计算面积的方法。
设f是定义在[a,b]上的非负函数,称由曲线y=f(x)与直线x=a,x=b,y=0所围成的平面图形为曲边梯形。如何定义这个曲边梯形的面积,其面积又如何来计算呢?
作区间[a,b]的一个分划
D:a=x 0 <x 1 <…<x n =b.
那么分划D把[a,b]分为n个小区间,每个小区间[x i-1 ,x i ]的长度为∆x i =x i -x i-1 .在[x i-1 ,x i ]上任取一点ξ i ,那么以直线y=f(ξ i ),x=x i-1 ,x=x i ,y=0围成的小矩形的面积为f(ξ i )∆x i ,将它作为小区间[x i-1 ,x i ]上对应的小曲边梯形的面积的近似。把这n个小矩形面积相加便得到
图 5.1.1
它就是所考虑的大曲边梯形的面积的近似。记
如果分划越来越细,即λ→0时,上述和式的极限存在,就定义这个大曲边梯形的面积A为这个极限,即
设一质点作直线运动,已知它在时刻t的速度为v(t),要求它在时段[a,b]中的位移s.
当速度v(t)是常数v 0 ,即质点作匀速直线运动时,则s=v 0 (b-a).但是,当质点作变速直线运动时,s(t)的计算就不这么简单了。为了计算质点在时段[a,b]中的位移,我们作时段[a,b]的一个分划
D:a=t 0 <t 1 <…<t n =b,
那么D把[a,b]分为n个小区间,每个小区间[t i-1 ,t i ]的长度为∆t i =t i -t i-1 .在[t i-1 ,t i ]上任取一点ξ i ,用质点在时刻ξ i 的速度去近似时段[t i-1 ,t i ]的速度,即将质点在时段[t i-1 ,t i ]中的运动近似看成匀速直线运动,则质点在时段[t i-1 ,t i ]的位移就近似地为v(ξ i )∆t i .于是
就是质点在时段[a,b]中的位移的近似。
记
当每个小时段越短,即λ越小,这种以匀速代变速的精确度越高,从而质点在时段[a,b]中的位移为
以上的几何量和物理量的计算方法,都是先做分割、再求和,最后取和式的极限。这种形式的极限,还出现于大量其他问题的计算之中。撇开各类问题的具体背景,抽象出其数量关系的共同特征,就引出了下述定积分的概念。
定义5.1.1 设函数f是[a,b]上的有界函数,作[a,b]的任意分划
D:a=x 0 <x 1 <…<x n =b,
并记∆x i =x i -x i-1 为小区间[x i-1 ,x i ]的长度(i=1,2,…,n).任取ξ i ∈[x i-1 ,x i ],作和式
称之为黎曼(Riemann)和。记
如果当λ→0时黎曼和的极限存在,且极限值与分划D以及ξ
i
(i=1,2,…,n)的取法无关,则称此极限值为f在[a,b]上的(黎曼)积分,简称为定积分,记做
即
这时称f是[a,b]上的(黎曼)可积函数,简称为可积函数,也称f在[a,b]上可积。
在记号
中,称f为被积函数,x为积分变量,并分别称a,b为积分的下限与上限,
也称为积分值。
对定积分的定义,要作两点补充说明。
1.定积分是个数值,它仅与被积函数、积分的上、下限有关,而与积分变量符号的选取无关,因此
2.在定积分的定义中要求a<b.为了运算和应用的方便,当a>b时补充规定
并且当b=a时,规定
注意,并不是所有函数都是可积的。
例5.1.1 讨论狄利克雷(Dirichlet)函数
在[0,1]上的可积性。
解 由于有理数和无理数在实数集上的稠密性,因此不管用什么样的分划
D:0=x 0 <x 1 <…<x n =1.
对[0,1]作分割,在每个小区间[x i-1 ,x i ]中一定既有有理数,又有无理数(i=1,2,…,n).
于是,当将ξ i ∈[x i-1 ,x i ]全部取为有理数时,成立
而当将ξ i ∈[x i-1 ,x i ]全部取为无理数时,则有
尽管以上两个黎曼和的极限都存在,但极限并不相同,所以狄利克雷函数在[0,1]上是不可积的。
那么什么样的函数是可积的呢?我们对此不进行深入讨论,只给出两个充分条件。
定理5.1.1 设函数f在闭区间[a,b]上连续,则f在[a,b]上可积。
事实上,以上定理还可推广为:设函数f在[a,b]上有界,且f在[a,b]上仅有有限个不连续点,则f在[a,b]上可积。
定理5.1.2 设函数f在闭区间[a,b]上单调,则f在[a,b]上可积。
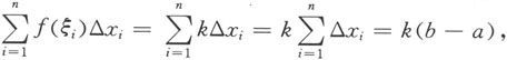
例5.1.2 计算定积分
其中k是一个常数。
解 因为对[a,b]的任何分划D:a=x 0 <x 1 <…<x n =b和任何ξ i ∈[x i-1 ,x i ](i=1,2,…,n),均有
所以
注 今后常把定积分
记为
例5.1.3 计算定积分
解 因为f(x)=x
2
在[0,1]上连续,由定理5.1.1知它在[0,1]上可积。既然积分值与区间的分划及ξ
i
的取法无关,不妨把[0,1]分为n等份,即取x
i
=
因此
再取ξ
i
=x
i
.这时黎曼和为
由于
所以当λ→0时,n→∞.于是
由于定积分是黎曼和的极限,虽然形式上这种极限与函数极限稍有不同,但本质上并没有什么差别,因此定积分的一些性质,可以利用极限的相应性质推导出来。
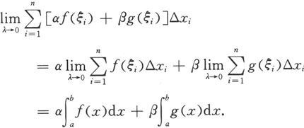
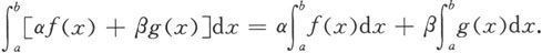
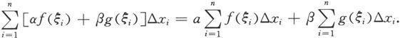
定理5.1.3 设函数f和g在[a,b]上可积,α,β为常数,则函数αf+βg也在[a,b]上可积,且成立
证 因为对[a,b]的任何分划D:a=x 0 <x 1 <x 2 <…<x n =b和任何ξ i ∈[x i-1 ,x i ](i=1,2,…,n)均成立
令
由于函数f和g都在[a,b]上可积,所以
由定义知函数αf+βg在[a,b]上可积,且
证毕
定理5.1.4 设函数f和g都在[a,b]上可积,则函数f·g在[a,b]上也可积。
这个定理的证明从略。要注意的是,一般来说
请读者自行举例说明。
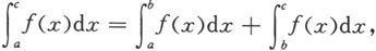
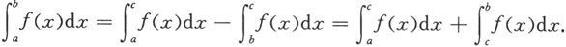
定理5.1.5 设函数f在[a,b]上可积,则对任意c∈[a,b],f在[a,c]和[c,b]上都可积;反之,若函数f在[a,c]和[c,b]上都可积,则f在[a,b]上也可积。此时成立
这个定理的证明从略。
注意上述公式在c在[a,b]之外时也成立。例如,当a<b<c时,若函数f在[a,b]和[b,c]上可积,则由以上定理得
移项便得
定理5.1.6 设函数f和g都在[a,b]上可积,且在[a,b]上成立f(x)≤g(x),则
这个定理的证明可由极限的保序性质直接得到。
定理5.1.7 设函数f在[a,b]上可积,则函数∣f∣在[a,b]上也可积,且成立
函数∣f∣在[a,b]上的可积性证明从略。不等式是源于
-∣f(x)∣≤f(x)≤∣f(x)∣
和定理5.1.6的结论。
定理5.1.8 设f是[a,b]上的连续函数,则在[a,b]上至少存在一点ξ,使得
证 因为函数f在[a,b]上连续,则它在[a,b]上必能取到最大值M和最小值m.从
m≤f(x)≤M,x∈[a,b],
以及定理5.1.6和例5.1.2得
因此
再由连续函数的介值定理知,必存在ξ∈[a,b],使得
证毕
积分中值定理有明确的几何意义:若f是[a,b]上的非负函数,则必存在ξ∈[a,b],使得以[a,b]为底,f(ξ)为高的矩形面积恰好等于由曲线y=f(x)与直线x=a,x=b,y=0所围成的曲边梯形的面积(见图5.1.2).
图 5.1.2
数值
称为函数f在[a,b]上的积分均值。