



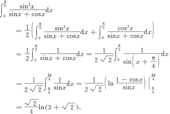
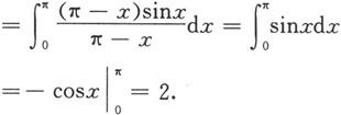
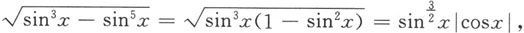
例5.6.1 计算
解 因为当x∈[0,π]时,
而
所以
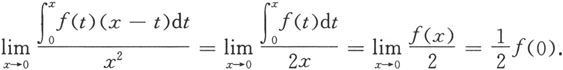
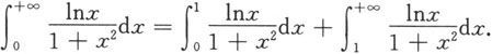
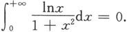
例5.6.2 设函数f在(-∞,+∞)上连续,计算
解 因为
所以
于是由洛必达法则得
例5.6.3 计算
解 作变量代换
便得
因此
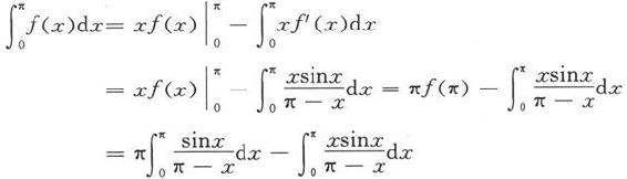
例5.6.4 设
求
解 易知
它在[0,π]上连续。由分部积分法得
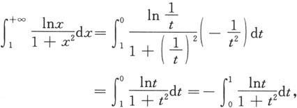
例5.6.5 计算
解 因为
对等式右端第二个积分作变量代换
得
所以
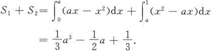
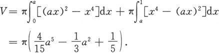
例5.6.6 设直线y=ax(0<a<1)与抛物线y=x 2 所围成的图形的面积为S 1 ,且它们与直线x=1所围成图形的面积为S 2 .
(1)确定a的值,使得S 1 +S 2 达到最小,并求出最小值;
(2)求该最小值所对应的平面图形绕x轴旋转一周所得旋转体的体积。
解 (1)显然直线y=ax(0<a<1)与抛物线y=x 2 的交点为(a,a 2 ),所以
记
则
令f′(a)=0得
且
所以
为极小值,它是唯一的极值,因此也是最小值。这说明S
1
+S
2
在
点取到最小值
(2)对于任意a∈(0,1),平面图形绕x轴旋转一周所得旋转体的体积为
将
代入上式便得使S
1
+S
2
达到最小值时,所对应的平面图形绕x轴旋转一周所得旋转体的体积
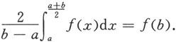
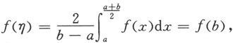
例5.6.7 设函数f在[a,b]上连续,在(a,b)上可导,且满足
证明:存在ξ∈(a,b),使得f′(ξ)=0.
证 由积分中值定理知,存在
使得
再对f在[η,b]上应用罗尔定理便知,存在ξ∈(η,b)⊂(a,b),使得f′(ξ)=0.
证毕
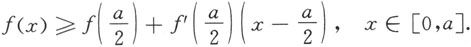
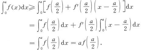
例5.6.8 设函数f在[0,a]上二阶可导(a>0),且f″(x)≥0,证明:
证 函数f在
点的一阶泰勒公式为
其中0<ξ<a.由于在[0,a]上成立f″(x)≥0,所以
将上述不等式两边从0到a积分,注意到
便得