



读者可能已经发现,利用定义来直接计算定积分是非常困难的。微积分基本定理说明,定积分的计算可以转化为求被积函数的原函数或不定积分问题,从而使定积分的计算有了强大而有效的一般方法。
设函数f在[a,b]上可积,则对于任意给定的x∈[a,b],f在[a,x]上可积,于是定积分
就有唯一确定的值。这样就确定了一个[a,b]上的函数
称之为变上限积分。
类似地,
也是一个[a,b]上的函数,称之为变下限积分。变上限积分与变下限积分统称为变限积分。
定理5.2.1 设函数f在[a,b]上可积,则函数
在[a,b]上连续。
证 我们只证函数F在(a,b)上连续,F在x=a点的右连续性与在x=b点的左连续性类似可证。
因为函数f在[a,b]上可积,所以函数f在[a,b]上有界,因此存在常数M>0,使得
∣f(x)∣≤M,x∈[a,b].
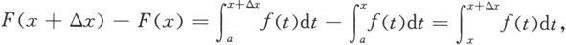
设x∈(a,b),则当x+∆x∈(a,b)时成立
所以
因此
即函数F在x点连续。
证毕
进一步,若函数f还在[a,b]上连续,则函数F还在[a,b]上可导,这就是:
定理5.2.2 设函数f在[a,b]上连续,则函数
在[a,b]上可导,且导数(导函数)为
F′(x)=f(x),x∈[a,b].
证 我们只证在(a,b)上定理的结论成立,在区间[a,b]的端点的结论类似可证。
设x∈(a,b),则当x+∆x∈(a,b)时成立
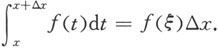
由中值定理知,在x和x+∆x之间存在ξ,使得
于是
F(x+∆x)-F(x)=f(ξ)∆x.
因为当∆x→0时,x+∆x→x,从而ξ也趋向x,利用f的连续性便得
这说明函数F在x点可导,且成立
F′(x)=f(x).
证毕
从定理5.2.2立即得到
定理5.2.3(原函数存在定理) 设函数f在[a,b]上连续,则函数
是f在[a,b]上的原函数。
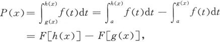
推论5.2.1 设函数f在[a,b]上连续,函数g,h在[a,b]上可导,且满足
a≤g(x)≤b,a≤h(x)≤b,x∈[a,b].
则函数
在[a,b]上可导,且满足
P′(x)=f[h(x)]h′(x)-f[g(x)]g′(x),x∈[a,b].
证 记
则在[a,b]上成立F′(u)=f(u).
因为
所以由复合函数的求导法则得
P′(x)=F′[h(x)]h′(x)-F′[g(x)]g′(x)
=f[h(x)]h′(x)-f[g(x)]g′(x).
证毕
例5.2.1 设
求F′(x).
解 由推论5.2.1得
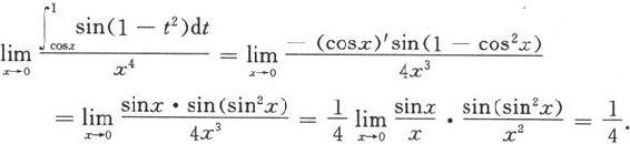
例5.2.2 求极限
解 由定理5.2.1知,这是
型的极限,所以由推论5.2.1及洛必达法则得
定理5.2.4(牛顿-莱布尼茨公式) 设函数f在[a,b]上连续,函数F是f在[a,b]上的一个原函数,则
这个定理也称为微积分基本定理。
证 记
由定理5.2.3知,函数G是f在[a,b]上的一个原函数。又已知F也是f在[a,b]上的一个原函数,于是这两个函数只能相差一个常数,即存在常数c,使得
G(x)=F(x)+c,x∈[a,b],
即
取x=a便得0=F(a)+c,即c=-F(a).再取x=b,便得
证毕
注 在牛顿-莱布尼茨公式中,常简记F(b)-F(a)为
于是
例5.2.3 求定积分
解 显然
是
的一个原函数,所以由牛顿-莱布尼茨公式得
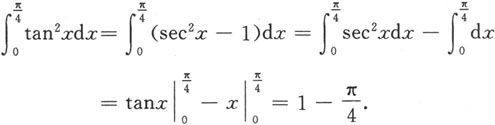
例5.2.4 求定积分
解 由定积分的线性性质和牛顿-莱布尼茨公式得
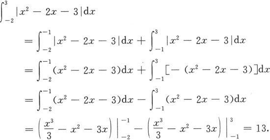
例5.2.5 求定积分
解 因为
由定积分的区间可加性和牛顿-莱布尼茨公式得