



植物细胞壁膳食纤维的化学组成可分为三部分:①纤维状碳水化合物(纤维素);②基料碳水化合物(半纤维素、果胶及果胶类物质和糖蛋白);③填充类化合物(木质素)。
一、纤维素
纤维素是最为广泛的有机化合物和碳水化合物,是高等植物细胞壁的主要构成成分。纤维素是由β-D-吡喃葡萄糖基单位通过β-1,4-糖苷键结合而形成的高分子直链不溶性均一多糖,其聚合度一般是数千。由于纤维素具有直链和立体结构性质,其分子在广泛区域内缔合,而每一条靠得很近的线型链依赖于氢键结合成束,形成高度结晶结构。纤维素不溶于水,但通过取代作用将纤维素中的羟基取代,如被甲基和羧甲基取代,形成纤维素衍生物就转变为可溶于水的纤维素胶。
图2-1 纤维素化学结构
二、半纤维素
半纤维素是一种细胞壁杂多糖,多有分支结构,其聚合度(DP)为50~100。大多由2~4种不同的单糖组成,如葡萄糖(或葡萄糖醛酸)、阿拉伯糖、木糖、半乳糖、甘露糖等。半纤维素的水溶性与其单糖的组成种类和构成结构相关,一般来说,主链上取代基越少,分子越呈线型结构,则分子排列越紧密,水溶性越差;主链上取代基越多,分子越不规则,则分子排列越疏松,水溶性越好。
阿拉伯木聚糖、半乳糖甘露聚糖、木糖葡聚糖和葡聚糖是最为重要的半纤维素,也是豆类和谷物膳食纤维的重要组成部分。阿拉伯木聚糖在小麦和大豆纤维中含量最多,其结构为β-吡喃木糖通过1,4-糖苷键连接形成主链,木糖残基的C-2和C-3位置上连接有取代基,其中最为主要的是单一的α-呋喃阿拉伯糖,此外α-吡喃葡萄糖醛酸残基及其4-O-酯也是常见的取代基,其特征机构如图2-2:
图2-2 阿拉伯木聚糖的结构特征(Ara,阿拉伯糖;Xyl,木糖;GlcA,葡萄糖醛酸)
木糖葡聚糖是大豆纤维中最重要的不溶性半纤维素。木糖葡聚糖主链是由β-吡喃葡萄糖通过1,4-糖苷键连接起来的,主链通过C-6分支点连有由吡喃木糖、木糖、阿拉伯糖组成或甘露糖组成的低聚糖链,其结构模型如图2-3:
或者
图2-3 木糖葡聚糖的化学结构(Glc,葡萄糖;Gal,半乳糖)
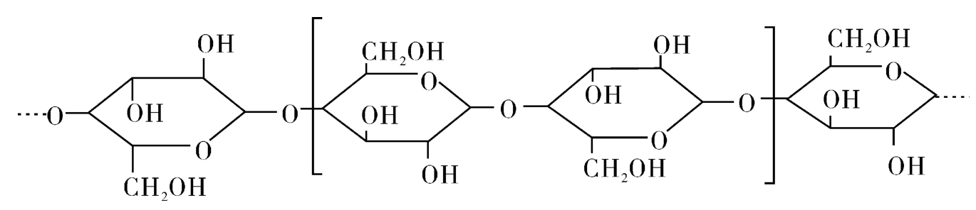
半乳糖甘露聚糖是大豆纤维中最重要的水溶性半纤维素,是瓜尔豆胶、大豆皮和豆荚胶质的主要化学成分。它的主链是由β-吡喃甘露糖通过β-1,4-糖苷键连接而成,主链上的甘露糖残基通过C-6位置与取代基吡喃半乳糖基相连接,其结构如图2-4:
图2-4 半乳糖甘露聚糖的化学结构
β-1,4-葡聚糖和β-1,3-葡聚糖是大麦和燕麦纤维中最重要的半纤维素。它是由β-葡萄糖通过β-1,4-糖苷键或β-1,3-糖苷键连接而成的线型结构。葡聚糖有水溶性和水不溶性两种,这主要取决于β-1,4-糖苷键和β-1,3-糖苷键的数目,如β-1,3-糖苷键含量大于β-1,4-糖苷键含量时,半纤维素的水溶性可能减小。
三、果胶及果胶类物质
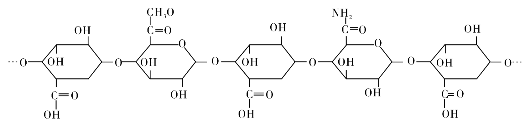
果胶是由α-D-半乳糖醛酸经α-1,4-糖苷键连接成主链,DP一般为150~500,相对分子质量为3万~10万,主链中相隔一段距离连接有α-L鼠李糖残基侧链,因此果胶的分子结构有均匀区和毛发区两种。天然存在的果胶有两类,一类是果胶主链的半乳糖醛酸羧基有一半以上被甲酯化,其余的羧基以游离羧酸基或盐的形式存在,称为高甲氧基果胶(HM);另一种是被甲基化的羧基小于一半,被称为低甲氧基果胶(LM)。由于天然存在的果胶是含有不同聚合度、不同数目的侧链残基和不同甲酯化程度的果胶的混合物,果胶代表的是一类化合物,因此被称为果胶类物质。果胶及果胶类物质均可溶于水,呈现胶体的特性,其性质与其来源和化学结构相关。果胶及果胶类物质在谷物纤维中含量较少,在豆类和果蔬纤维中含量较高,其凝胶特性对维持膳食纤维结构和生理功能有重要作用。
图2-5 果胶的化学结构
四、糖蛋白
纯净的膳食纤维中糖蛋白的含量很少,可以用溶剂将其分离出来,糖蛋白的总蛋白质含量约为14%。从小麦和大豆纤维中都可分离出富含羟脯氨酸的糖蛋白,但两者的结构不一样。小麦和大豆纤维中的糖蛋白的碳水化合物部分均是阿拉伯半乳聚糖,其肽链与多糖链之间是通过羟脯氨酸与半乳糖残基连接而成的。
五、木质素
木质素不是多糖物质,而是苯基类丙烷的聚合物,是由松伯醇、芥子醇和对羟基肉桂醇三种单体聚合而成的高聚物,具有复杂的三维结构,其单体的分子结构如图2-6所示。木质素的亲水性差,是使植物木质化的物质,在木本植物中起支撑作用。木质素几乎很难被分解,大都与碳水化合物紧密结合,很难将其分离出来,因此,木质素与碳水化合物一起构成膳食纤维的组成成分。
图2-6 木质素单体(从左到右分别为松伯醇、芥子醇、对羟基肉桂醇)