



为了让用户对电路设计过程有一个整体的认识和理解,下面介绍一下PCB电路板的总体设计流程。
通常情况下,从接到设计要求书到最终制作出PCB电路板,主要经历以下几个步骤。
(1)案例分析
这个步骤严格来说并不是PCB电路板设计的内容,但对后面的PCB电路板设计又是必不可少的。案例分析的主要任务是来决定如何设计原理图电路,同时也影响到PCB电路板如何规划。
(2)绘制原理图元器件
PADS Logic VX.2.2虽然提供了丰富的原理图元器件库,但不可能包括所有元器件,必要时需动手设计原理图元器件,建立自己的元器件库。
(3)绘制电路原理图
找到所有需要的原理图元器件后,就可以开始绘制原理图了。根据电路复杂程度决定是否需要使用层次原理图。完成原理图后,用ERC(电气规则检查)工具查错,找到出错原因并修改原理图电路,重新查错到没有原则性错误为止。
(4)绘制元器件封装
与原理图元器件库一样,PCB也不可能提供所有元器件的封装,需要自行设计并建立新的元器件封装库。
(5)电路仿真
在完成设计电路原理图之后,对电路设计结果并不十分确定,因此需要通过电路仿真来验证。还可以用于确定电路中某些重要元器件的参数。
(6)设计PCB电路板
确认原理图没有错误之后,开始PCB的绘制。首先绘出PCB的轮廓,确定工艺要求(使用几层板等),然后将原理图传输到PCB中,在网络报表(简单介绍来历功能)、设计规则和原理图的引导下布局和布线。
(7)生成PCB并打印
设计了PCB后,还需要生成PCB的有关报表,并打印PCB图。
(8)生成计算机辅助制造文件
此过程是电路设计时另一个关键环节,它将决定该产品的实用性能,需要考虑的因素很多,不同的电路有不同要求。
(9)文档整理
对原理图、PCB图及元器件清单等文件予以保存,以便日后维护、修改。
众所周知做PCB就是把设计好的电路原理图变成一块实实在在的PCB电路板。请别小看这一过程,有很多原理上行得通的东西在工程中却难以实现,或是别人能实现的东西另一些人却实现不了。因此说做一块PCB不难,但要做好一块PCB却不是一件容易的事情。
微电子领域的两大难点在于高频信号和微弱信号的处理,在这方面PCB制作水平就显得尤其重要,同样的原理设计,同样的元器件,不同的人制作出来的PCB就具有不同的结果,那么如何才能做出一块好的PCB呢?
1. 要明确设计目标
完成一个设计任务,首先要明确其设计目标,是普通的PCB、高频PCB、小信号处理PCB还是既有高频率又有小信号处理的PCB。如果是普通的PCB,只要做到布局布线合理整齐,机械尺寸准确无误即可。如有中负载线和长线,就要采用一定的手段进行处理,减轻负载,长线要加强驱动,重点是防止长线反射。当板上有超过40 MHz的信号线时,就要对这些信号线进行特殊的考虑,比如线间串扰等问题。如果频率更高一些,对布线的长度就有更严格的限制,根据分布参数的网络理论,高速电路与其连线间的相互作用是决定性因素,在系统设计时不能忽略。随着传输速度的提高,在信号线上的负载将会相应增加,相邻信号线间的串扰将成正比增加,通常高速电路的功耗和热耗散也都很大,在做高速PCB时应引起足够的重视。
当板上有毫伏级甚至微伏级的微弱信号时,对这些信号线就需要特别的关照,小信号由于太微弱,非常容易受到其他强信号的干扰,屏蔽措施常常是必要的,否则将大大降低信噪比,以致有用信号被噪声淹没,不能有效地提取出来。
对电路板的调测也要在设计阶段加以考虑。测试点的物理位置,测试点的隔离等因素不可忽略,因为有些小信号和高频信号是不能直接把探头加上去进行测量的。
此外还要考虑其他一些相关因素,如电路板层数、采用元器件的封装外形、电路板的机械强度等。在做PCB电路板前,要做到对该设计的设计目标心中有数。
2. 了解所用元器件的功能对布局布线的要求
我们知道,有些特殊元器件在布局布线时有特殊的要求,比如LOTI和APH所用的模拟信号放大器。模拟信号放大器对电源要求要平稳、纹波小。模拟小信号部分要尽量远离功率器件。在OTI板上,小信号放大部分还专门加有屏蔽罩,把杂散的电磁干扰给屏蔽掉。NTOI板上用的GLINK芯片采用的是ECL工艺,功耗大、发热厉害,对散热问题必须在布局时就进行特殊考虑。若采用自然散热,就要把GLINK芯片放在空气流通比较顺畅的地方,而且散出来的热量还不能对其他芯片构成大的影响。如果电路板上装有喇叭或其他大功率的器件,有可能对电源造成严重的污染,这一点也应引起足够的重视。
3. 考虑元器件布局
元器件的布局首先要考虑的一个因素就是电性能,把连线关系密切的元器件尽量放在一起,尤其对一些高速线,布局时就要使它尽可能地短,功率信号和小信号器件要分开。在满足电路性能的前提下,还要考虑元器件摆放整齐、美观,便于测试,电路板的机械尺寸、插座的位置等也需认真考虑。
高速系统中的接地和互连线上的传输延迟时间也是在系统设计时首先要考虑的因素。信号线上的传输时间对总的系统速度影响很大,特别是对高速的ECL电路。虽然集成电路块本身速度很高,但由于在底板上用普通的互连线(每30 cm线长约有2 ns的延迟量)带来延迟时间的增加,可使系统速度大为降低。像移位寄存器、同步计数器这种同步工作部件最好放在同一块插件板上,因为到不同插件板上的时钟信号的传输延迟时间不相等,可能使移位寄存器产生错误,若不能放在一块板上,则同步是关键,从公共时钟源连到各插件板的时钟线的长度必须相等。
4. 考虑布线
随着OTNI和星形光纤网的设计完成,以后会有更多的100MHz以上的具有高速信号线的电路板需要设计,这里将介绍高速线的一些基本概念。
(1)传输线
印制电路板上的任何一条“长”的信号通路都可以视为一种传输线。如果该线的传输延迟时间比信号上升时间短得多,那么信号上升期间所产生的反射都将被淹没,不再呈现过冲、反冲和振铃。对现在大多数的MOS电路来说,由于上升时间对线传输延迟时间之比大得多,所以走线可长以米计而无信号失真。而对于速度较快的逻辑电路,特别是超高速ECL集成电路来说,由于边沿速度的增快,若无其他措施,走线的长度必须大大缩短,以保持信号的完整性。
有两种方法能使高速电路在相对长的线上工作而无严重的波形失真,TTL对快速下降边沿采用肖特基二极管钳位方法,使过冲量被钳制在比地电位低一个二极管压降的电平上,这就减少了后面的反冲幅度,较慢的上升边沿允许有过冲,但它被在电平“H”状态下电路的相对高的输出阻抗(50~80 Ω)所衰减。此外,电平“H”状态的抗扰度较大,使反冲问题并不十分突出,对HCT系列的器件,若采用肖特基二极管箝位和串联电阻端接方法相结合,其改善的效果将会更加明显。
当沿信号线有扇出时,在较高的位速率和较快的边沿速率下,上述介绍的TTL整形方法显得有些不足。因为线中存在着反射波,它们在高位速率下将趋于合成,从而引起信号严重失真和抗干扰能力降低。因此,为了解决反射问题,在ECL系统中通常使用线阻抗匹配法。用这种方法能使反射受到控制,信号的完整性得到保证。
严格地说,对于有较慢边沿速度的常规TTL和CMOS器件以及有较快边沿速度的高速ECL器件,传输线并不总是需要的。但是当使用传输线时,它们具有能预测连线时延和通过阻抗匹配来控制反射和振荡的优点。
决定是否采用传输线的基本因素有以下五个。
(2)传输线的几种类型
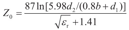
图1-6 表面微带线模型结构
如果线的厚度、宽度以及与地平面之间的距离是可控制的,则它的特性阻抗也是可以控制的。微带线的特性阻抗 Z 0 为:
式中, ε r 为印制板介质材料的相对介电常数; b 为PCB传输导线线宽; d 1 为PCB传输导线线厚; d 2 为PCB介质层厚度。
单位长度微带线的传输延迟时间,仅仅取决于介电常数而与线的宽度或间隔无关。
(3)端接传输线
在一条线的接收端用一个与线特性阻抗相等的电阻端接,则称该传输线为并联端接线。它主要是为了获得最好的电性能,包括驱动分布负载而采用的。
有时为了节省电源消耗,对端接的电阻上再串接一个电容形成交流端接电路,它能有效地降低直流损耗。
在驱动器和传输线之间串接一个电阻,而线的终端不再接端接电阻,这种端接方法称为串联端接。较长线上的过冲和振铃可用串联阻尼或串联端接技术来控制,串联阻尼是利用一个与驱动门输出端串联的小电阻(一般为10~75 Ω)来实现的。这种阻尼方法适合与特性阻抗来受控制的线相连用,如底板布线,无地平面的电路板和大多数绕接线等。
串联端接时串联电阻的值与电路(驱动门)输出阻抗之和等于传输线的特性阻抗。串联端接线存在着只能在终端使用集总负载和传输延迟时间较长的缺点。但是,这可以通过使用多余串联端接传输线的方法加以克服。
(4)非端接传输线
如果线延迟时间比信号上升时间短得多,可以在不用串联端接或并联端接的情况下使用传输线。如果一根非端接线的双程延迟(信号在传输线上往返一次的时间)比脉冲信号的上升时间短,那么由于非端接所引起的反冲大约是逻辑摆幅的15%。最大开路线长度近似为:
L max < t r /2 t pd
式中, t r 为上升时间; t pd 为单位线长的传输延迟时间。
(5)几种端接方式的比较
并联端接线和串联端接线都各有优点,究竟用哪一种,还是两种都用,这要看设计者的喜好和系统的要求而定。并联端接线的主要优点是系统速度快和信号在线上传输完整无失真。长线上的负载既不会影响驱动长线的驱动门的传输延迟时间,又不会影响它的信号边沿速度,但将使信号沿该长线的传输延迟时间增大。在驱动大扇出时,负载可经分支短线沿线分布,而不像串联端接中那样必须把负载集中在线的终端。
串联端接方法使电路有驱动几条平行负载线的能力,串联端接线由于容性负载所引起的延迟时间增量约比相应并联端接线的大一倍,而短线则因容性负载使边沿速度放慢和驱动门延迟时间增大。但是,串联端接线的串扰比并联端接线的要小,其主要原因是沿串联端接线传送的信号幅度仅仅是二分之一的逻辑摆幅,因而开关电流也只有并联端接的开关电流的一半,信号能量小串扰也就小。
5. 考虑PCB的布线技术
做PCB时是选用双面板还是多层板,要看最高工作频率和电路系统的复杂程度以及对组装密度的要求来决定。在时钟频率超过200 MHz时最好选用多层板。如果工作频率超过350 MHz,最好选用以聚四氟乙烯作为介质层的印制电路板,因为它的高频衰耗要小些,寄生电容要小些,传输速度要快些,还由于 Z 0 较大而省功耗。对印制电路板的走线有如下原则要求。
小技巧
实际电路板绘制过程中,常常按如下步骤操作。
(1)首先规划出该电子设备的各项系统规格。包含系统功能、成本限制、大小、运作情形等,接下来必须要制作出系统的功能方块图,方块间的关系也必须要标示出来。将系统分割数个PCB的话,不仅在尺寸上可以缩小,也可以让系统具有升级与交换零件的能力。系统功能方块图就提供了分割的依据,像是计算机就可以分成主板、显示卡、声卡、软盘驱动器和电源等。
(2)决定使用封装方法和各PCB的大小。当各PCB使用的技术和电路数量都决定好,接下来就是决定电路板的大小了。如果设计得过大,那么封装技术就要改变,或是重新进行分割的动作。在选择技术时,也要将电路图的品质与速度都考量进去。
(3)绘出所有PCB的电路概图。概图中要表示出各零件间的相互连接细节。所有系统中的PCB都必须要描出来,现今大多采用CAD(Computer Aided Design,计算机辅助设计)的方式。
(4)初步设计的仿真运作。为了确保设计出来的电路图可以正常运作,这必须先用计算机软件来仿真一次。这类软件可以读取设计图,并且用许多方式显示电路运作的情况。这比起实际做出一块样本PCB,然后用手动测量要更有效率。
(5)将零件放上PCB。零件放置的方式,是根据它们之间如何相连来决定的。它们必须以最有效率的方式与路径相连接。所谓有效率的布线,就是牵线越短并且通过层数越少(这也同时减少导孔的数目)越好。为了让各零件都能够拥有完美的配线,放置的位置是很重要的。
(6)测试布线可能性,与高速下的正确运作。现今的部分计算机软件,可以检查各零件摆设的位置是否可以正确连接,或是检查在高速运作下这样是否可以正确运作。这项步骤称为安排零件,不过在此不会太深入研究这些。如果电路设计有问题,在实地导出电路前,还可以重新安排零件的位置。
(7)导出PCB上电路。在概图中的连接,现在将会实地做成布线的样子。这项步骤通常都是全自动的,不过一般来说还是需要手动更改某些部分。每一次的设计,都必须要符合一套规定,像是电路间的最小保留空隙、最小电路宽度和其他类似的实际限制等。这些规定依照电路的速度、传送信号的强弱、电路对耗电与噪声的敏感度以及材质品质与制造设备等因素而有不同。如果电流强度上升,那导线的粗细也必须要增加。为了降低PCB的成本,在减少层数的同时,也必须要注意这些规定是否仍旧符合。如果需要超过两层的构造,那么通常会使用到电源层以及地线层,来避免信号层上的传送信号受到影响,并且可以当作信号层的防护罩。
(8)导线后电路测试。为了确定电路在导线后能够正常运作,它必须要通过最后检测。这项检测也可以检查是否有不正确的连接,并且所有联机都照着概图走。
(9)建立制作档案。因为目前有许多设计PCB的CAD工具,制造厂商必须有符合标准的档案,才能制造电路板。标准规格有好几种,不过最常用的是Gerber files规格。一组Gerber files包括各信号、电源以及地线层的平面图,阻焊层与网板印刷面的平面图,以及钻孔与取放等指定档案。
(10)电磁兼容问题。没有按照EMC(电磁兼容)规格设计的电子设备,很可能会散发出电磁能量,并且干扰附近的电器。EMC对EMI(电磁干扰)、EMF(电磁场)和RFI(射频干扰)等都规定了最大的限制。这项规定可以确保该电器与附近其他电器的正常运作。EMC对一项设备,散射或传导到另一设备的能量有严格的限制,并且设计时要减少对外来EMF、EMI、RFI等的磁化率。换言之,这项规定的目的就是要防止电磁能量进入或由装置散发出。这其实是一项很难解决的问题,一般大多会使用电源和地线层,或是将PCB放进金属盒子当中以解决这些问题。电源和地线层可以防止信号层受干扰,金属盒的效用也差不多。电路的最大速度得看如何照EMC规定做了。内部的EMI,像是导体间的电流耗损,会随着频率上升而增强。如果两者之间的电流差距过大,那么一定要拉长两者间的距离。这也告诉我们如何避免高压,以及让电路的电流消耗降到最低。布线的延迟率也很重要,所以长度自然越短越好。因此布线良好的小PCB,会比大PCB更适合在高速下运作。
1. 国际规范的历史与现状
电路板供需双方均各有品质检验的成文规范,通常刚性印制电路板最为全球业者所广用的国际规范有3种,即MIL-P-55110、IEC-326-5/-6及IPC-RB-276。MIL-P-55110是电路板最早出现也最具公信力与影响力的正式规范,其1993年最新E版内容甚为精彩,为业界所必读的重要文件,近年因跟不上时代脚步而渐失色。IEC-326为“国际电工委员会”(IEC)所推出共11份有关PCB的系列规范,为全球各会员协商投票下的产物,除了少数欧商外一般较少引用。IPC原为美国“印制电路板协会”(Institute of Printed Circuit)的简称,创会时仅6个团体会员,经多年努力成长与吸收外国成员,现已发展到6000余团体会员之大型国际学术组织,并改名为“The Institute forInterconnecting and Packaging Electronic Circuits”。其所发表有关电路板的各种品质、技术、研究及市场调研等文件极多,为全球上下游电子业界所倚重。IPC有关硬质电路板的品质规范,原有单双面的IPC-D-250及多层板的IPC-ML-950等两份,历经数次版本的修订,直到1992年3月才再整合成为单一体系的IPC-RB-276。
2. PCB的全面质量管理
对PCB的整个生产过程进行质量管理涉及设计、材料、设备、工艺、检验、储存、包装和全体职工素质等各方面的管理。要获得高质量的PCB,要注意下述4个方面。
即使保证了上述4个方面要求,要获得质量高、合格率高的PCB,还需要建立一个质量保证部门进行全面质量管理,制定和贯彻一系列的质量保证措施。