



冲突理论中的“冲突的技术”由冲突成功函数(Conflict Success Function
来刻画,赫舒拉法(1989)首先用“冲突的技术”(Technology of Conflict)命名了这样的函数,它描述了冲突双方对冲突的投入所导致的产出是“胜利”,还是“失败”,即在冲突中获胜的概率。
最简单的冲突是两两冲突,即有两个相互对抗的冲突参与者。可以从这个最简单的情况出发,分别用i=1和i=2标记这两个冲突参与者,并分别用
表示他们的军事能力。军事能力是由人力、物力、财力、武器装备等多种投入因素经过复杂的相互作用形成的,可以看做一个关于各类投入要素的函数。引入军事能力成本函数,不妨设为
和
,分别表示对于参与者i=1和i=2,分别形成军事能力
和
的最小投入。一般来讲,冲突双方军事能力的相对强弱会决定哪一方获胜的可能性更大。军事能力的大小与冲突成功的可能性有关,在数学关系上体现为军事能力决定冲突成功或失败的概率。不妨用
和
分别表示参与者1和参与者2在冲突中获胜的概率,
和
就是冲突成功函数,即冲突的技术。
冲突成功函数作为一种概率,需要满足一些基本的性质。
性质1:在不考虑平局的条件下,各参与方(事前)获胜的概率之和为1,即
,且
。
性质2:冲突成功的概率应该是自己军事能力的单调递增函数,对手军事能力的单调递减函数,即将参与者1和参与者2的冲突成功函数分别对他,们的军事能力求偏导有
,
,
,j∈1,2且
。
性质2体现了冲突成功函数的对抗、敌对的“冲突”特征,它把要素对抗性地结合在一起,而一般的生产函数则是把生产要素“合作式”地结合在一起。
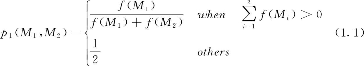
满足上述两条基本性质的函数可以一般地写为
其中, f(·)为非负的严格递增函数。(1.1)式在广告经济学、体育经济学、寻租理论以及竞赛理论中得到了广泛应用。(1.1)式在数学性质上所具有的优点是可以很容易地将两两冲突扩展到多方冲突的情况中。即
通过给出 f(·)的具体函数形式,就能够得到在冲突经济学中使用的各种冲突成功函数的具体形式了。不同形式的冲突成功函数,其性质也不同,可以适用于分析现实中具有不同特点的冲突。