



达尔·波(Dal Bó and Dal B ó,2011,2012)研究了冲突与经济政策的模型,其在一个开放经济模型中引入掠夺活动,考察了掠夺活动对消费品的税收或补贴政策与生产要素的税收或补贴政策的影响,以及贸易政策和技术政策对冲突发生和冲突强度的影响。达尔·波(2012)模型首先假设在一个具有代表性的小型开放经济体中有两个生产性行业,行业1和行业2,每个行业使用两种生产要素,资本(K)和劳动力(L)。每个行业拥有规模报酬不变的生产技术,并以利润最大化为目标。每个行业中的所有企业都具有相同的生产技术。与行业2相比,行业1是资本更加密集的产业。用r和w分别表示资本和劳动力的价格。每个经济体的资本和劳动力禀赋是外生给定的,分别为
和
。行业1的产品价格用
表示,并把行业2的产品价格正规化为1,两个行业的产量分别为
和
。
在达尔·波(2012)模型中,除生产部门外,还考虑存在一个掠夺性部门。这个部门使用劳动力
掠夺财富,因此可认为在经济体中,同其他行业相比,这是一个劳动密集型部门。掠夺性部门能够获取的经济体总财富比例与其投入的劳动力水平有关,并设其为
。假设
是严格凹的递增函数,且满足
,
。给定产出水平
和
,掠夺性部门获取的产品价值为
。在给定规模报酬不变的生产函数的条件下,产出价值等于要素投入价值,因此,掠夺性部门掠取的产品价值可以进一步写为
。
工人(劳动力)要选择进入生产性部门还是进入掠夺性部门,这取决于哪个部门的劳动力净报酬更高。假设劳动力是可以无限细分的,因此,在生产部门劳动力回报等于掠夺部门劳动力回报处,可以得到每个部门中劳动力的均衡数量。
最后,假设经济体中的所有个体都有着相同的效用函数,并在给定的消费品价格
和收入水平(M)下选择各自的消费水平
和
以最大化自己的效用函数。
给定生产技术水平、产出品价格
和要素禀赋
,模型的均衡由要素价格(r和w)、产出水平
以及生产要素在各个部门的配置
构成。假设要素和产品市场是完全竞争的。均衡要满足的条件如下。
首先,生产性行业中企业的利润为零:
其中,
表示所需投入品的最小成本,即给定技术条件和要素价格r和w,生产1单位产品i所使用的投入品j的最小成本。在给定技术条件和产品价格p1的情况下,(3.1)式和(3.2)式决定了均衡时的要素价格。
其次,要素市场是出清的:
给定均衡要素价格和生产性行业生产要素的总供给水平,(3.3)式和(3.4)式决定了两个生产性行业的均衡产出水平
和
。
再次,劳动力在生产性部门和掠夺性部门之间的分配要满足无套利条件,即
也就是,个人从掠夺活动中得到的收益(等式左侧),即单位劳动力掠夺的商品价值等于生产性部门在经过掠夺之后分配给劳动力的净收入(等式右侧)。(3.5)式决定了在给定均衡要素价格和全部要素禀赋条件下的劳动力配置条件。
最后,每个国家的贸易体制可能是不同的,有的国家是开放经济,有的国家是封闭经济。如果该经济体是一个开放经济体,并且相对于世界上其他国家而言,是一个小国,那么这就意味着该国在国际贸易中是世界价格的接受者。因此,产品价格等于世界市场价格,即
在一个封闭经济体中,产品价格要保证市场出清,即
下面重点考虑没有专业化生产的均衡,即两个行业都进行生产,
足够小,且A'(0)足够大的情况。
在本小节中我们考察冲突对开放经济体中各个生产部门和消费者的影响。在生产多样化的假设下,掠夺性部门的存在并不会改变要素价格,要素价格仅由生产技术决定。掠夺性部门中的劳动力水平由(3.3)式和(3.5)式共同决定,以保证要素市场出清。但掠夺活动会降低要素所有者实际获得的报酬,降低资本所有者和劳动力的收益。按照达尔·波(2011)的研究,以下三个命题成立。
命题3.1:冲突的存在恶化了资本所有者和劳动者的境况。
由于掠夺活动减少了可投入生产活动的劳动力数量,根据著名的雷布津斯基定理(Rybczynski,1955),可以得到以下命题。
命题3.2:冲突的存在提高了资本密集型产品的产出水平,降低了劳动密集型产品的产出水平。
事实上,冲突对生产的影响可能非常大,以至于可以改变贸易模式。在前文给定的齐次偏好假设下消费品的相对数量
取决于价格
,而与收入水平M无关一。这样,在个开放经济中面对一,个给定的价格水平
,冲突的存在不会影响消费品的相对数量,因为冲突不会影响国际价格。从(3.3)式和(3.5)式可以得到产品1和产品2的相对数量为
如果在冲突没有发生时,这个国家进口商品1,则两种消费品的相对数量为
如果在冲突发生时,这个国家出口商品1,则两种消费品的相对数量为
从(3.10)式可以进一步得到
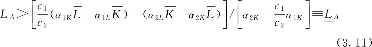
这意味着,要改变冲突不发生和发生情况下商品贸易的流向,从事掠夺活动的劳动力数量必须要足够多,即必须大于临界值
。因此,如果存在着一种冲突技术能够使得均衡时配置于掠夺性部门的劳动力水平为
且
,那么冲突的存在就会改变商品国际贸易的模式一:个国家可能会从无冲突情况下的进口国转变为冲突情况下的出口国。可以证明,这样的冲突技术是存在的,例如,取
其中
。
命题3.3:对于任何经济体,如果在无冲突情况下进口商品1且出口商品2,掠夺性部门的某种冲突技术A(LA)可能会使得该国的贸易模式发生变化,即出口商品1并进口商品2,那么这种冲突技术是存在的。
传统贸易理论(Dixit and Norman,1980)认为,如果一个国家出口产品所密集使用的资源禀赋增加了,那么该国家出口这种产品的数量将增加。如果这个国家足够大,那么资源禀赋的这种变化将恶化贸易条件。如果贸易条件恶化的程度非常严重,那么资源禀赋的增加反而会使这个国家的福利水平降低。如果出现了冲突的情况,那么上述结论的推理过程会有所不同。
达尔·波的研究假设一个国家的资本数量增加了。该国的收入水平可以表示为资本收入与劳动力收入之和,即
。在小国的假设下,资本的扩张不会影响国际商品价格,也不会影响要素价格。因此有dM dLA如果资本数量的增加对收入产生了负面影响,那么只需要
。找到一种冲突技术使得在均衡时有
。考虑这样一种冲突的技术:
利用(3.5)式可以得到均衡时的冲突水平为,
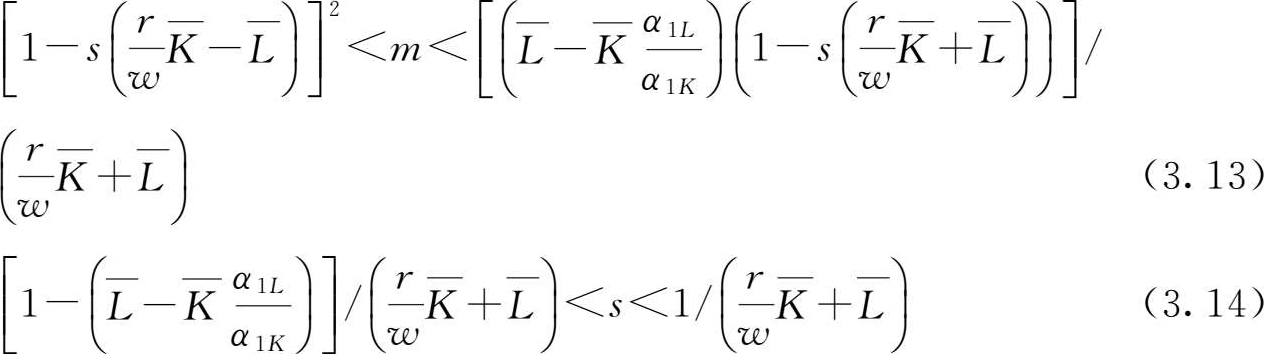
。如果存在一个内部解且满足A<1,则需要下面的条件成立:
;
,如果没有进行专业化生产,则需要
足够小,çès使得
和
成立,而这需要满足条件(3);(3)m<α1K
;(4
,容易证明,
,当且仅当满足条件(4)时成立。条件(1)—(4)都能够成立,dK w 如果s和m两个参数满足下面的取值范围:
(3.13)式和(3.14)式两个不等式中,参数取值范围的上限均大于下限,因此有命题3.4。
命题3.4:存在某种类型的冲突技术,使得在开放经济中资源禀赋的增加会减少该国的国民收入。
那么一个国家是否进行国际贸易对要素回报率,以及对劳动力是否从事掠夺活动的决策有何影响呢?达尔·波(2012)对此进行了分析,该分析建立在下面两个引理之上。
引理3.1:资本密集型商品价格的上升将导致资本价格的上升和劳动力价格的降低即
(Stolper and Samuelson,1941)。
引理3.2:资本相对于劳动力价格的升高将导致冲突的增加,即
。
因为掠夺性部门的均衡条件(3.5)式可以写为
,该条件满足隐函数定理,故
是
的函数。这个函数对
进行微分得到
是凹函数这意味着,
,所以(3.15)是大于0。
根据引理(3.1)和引理(3.2),很容易推导出下面的命题。
命题3.5:如果国际贸易使得资本密集型商品的国际价格高于自给自足情况下的国内价格,则一个国家进行国际贸易将增加国内掠夺性部门的劳动力人数。
命题3.5中的结论是两种相互制约的力量共同作用的结果。第一,国际贸易影响劳动力的工资水平,这决定了从事掠夺活动的机会成本;第二,国际贸易影响财富水平,这决定了掠夺活动可能的收益。贸易改变了冲突活动的成本和收益,而其中的关键则是贸易改变了经济中要素的相对价格。该命题的结论是具有政策意义的。如果冲突的存在使得一个经济体从自给自足转向了自由贸易,并且降低了该经济体的社会福利水平,那么干预或减少贸易的政策就有可能提升社会福利水平。