



在李嘉图模型中,假设产品是不安全的;在赫克歇尔—俄林模型中,假设资源是不安全的。后者实际可以看成李嘉图模型的扩展,因为它假设了不同国家的生产技术是有差异的,因而每个国家专业生产一种产品。如果说上一节中描述了两个“大国”的情况,因为国际商品贸易的价格是内生决定的,那么本节要描述的是两个“小国”的情况,因为它们无法影响商品的世界价格。
本节介绍的模型以什卡佩尔达斯、瑟罗普洛斯(2001)的研究为基础,是加芬克尔等人(2015)的模型的一个特例。
仍然只考虑两个国家E和S之间的冲突与贸易。假设每个国家拥有
单位安全的土地和
单位安全的劳动力,i=E,S。两国争夺
单位不安全的土地。土地是十分有价值的,因为它蕴含着石油(或水、矿产及其他贵重资源)。假设1单位土地能生产1单位石油,且土地没有其他用途。劳动力可以用来生产大炮(或黄油),假设生产技术能使人们投入1单位劳动而得到1单位大炮或者1单位黄油。令
表示i国拥有的武器数量,那么i国生产的黄油的最大值为
。
与前一节一样,两国消费者在两种最终产品石油和黄油之间都具有偏好,效用函数采取柯布—道格拉斯函数的形式:
其中α∈(0,1),
和
是国家i=E,S分别对石油和黄油消费的总数量。
两国的装备水平决定了对有争议的土地
以及相关的石油数量的划分。假设国家获得的份额取决于两国的装备水平,不妨设国家亠E获得的份额为
,国家一s获得的份额为
。如果继续采用如(2.4)式所示的特殊形式的冲突成功函数,则每个国家获得的份额可具体表示为
。两国之间的交易顺序与上一节中的设定类似。
第1阶段:两个国家同时选择装备水平gE和gS,这些选择决定了两个国家生产的黄油的数量,即
,i=E,S。
第2阶段:装备水平决定了每个国家的不安全土地在两个国家间如何划分。国家E最终拥有的土地总量为
,国家S最终拥有的土地总量为
。这些土地的数量等于各国生产的石油数量。
第3阶段:黄油和石油在竞争性的市场中被交易,要么在本国市场上以自给自足的价格交易,要么在国际市场上以给定的世界价格交易。
令pi表示在国家i石油(或土地)相对于黄油的价格。对于任何选定的装备水平,国家i的收入为
一个国家选择的装备水平对该国收入产生两种影响,且两种影响的作用方向相反。假设一国的装备水平提高,一方面,它能够以更强的武力提供对有争议的土地
占有的份额,进而增加国家收入
,另一方面,又由于装备生产要占用更多的劳动力,所以会降低生产黄油的劳动力投入,从而会降低国家的收入。
(2.24)式是一个国家的总收入,也是消费者效用最大化的预算约束条件。求解消费者效用最大化问题,即在(2.24)式的约束下求解(2.23)式的最大化问题,可以得到下面的间接效用函数:
其中对于国家
,S,
。
表示国家i=E,S收入增加带来的边际效用。不难证明,给定一个国家的武器装备水平及其决定下的冲突结果,该国对石油的需求和供给分别为
。因此,给定冲突结果,国家i对石油的超额需求为
如果该国进口石油,则(2.26)式为正;如果该国出口石油,则(2.26)式为负。
冲突/武器装备对一个国家福利的影响并不仅限于它对收入的影响。特别是在自给自足的情况下,武器装备更是通过对价格的影响来决定社会福利水平的。
可以分别讨论自给自足和完全自由贸易两种情况下,武器装备的社会福利效应。为了简便起见,令
,iE,S;令T表示土地的总供给;令
,i=E,S;用σ表示所有土地中安全的、不会被争夺的部分,因此有
。
在自给自足的情况下,各国的消费者只能消费本国生产的产品。用上标A表示自给自足情况下的均衡。因此,对于i=E,S,有
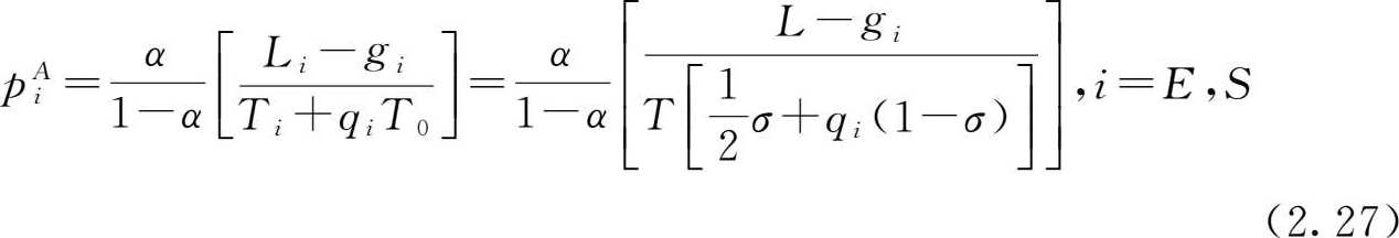
。对于两国各自选定的武器装备水平,在国家i,石油的相对价格为
由于不存在国际贸易,(2.27)式中的价格与(2.5)式中的价格类似,偏好(由参数α体现)和劳动力与土地数量共同决定了市场价格。当一国的武器装备水平出现了外生变动时,在自给自足的情况下,商品价格会发生明显的变化。例如,国家i增加武器生产会减少黄油供给,但由于该国军事能力得以增强,可以争夺到更多的土地,从而能够增加石油供给,并因此能够最终降低自给自足情况下石油相对于黄油的均衡价格。
将(2.27)式代入(2.23)式中,或者将国家生产武器装备后剩余的资源代入效用函数(2.22)式中,将得到每个国家相关的支付(效应)函数。每个国家在自给自足的情况下,均衡时对武器
的最优选择满足:
根据(2.27)式、(2.28)式和(2.4)式,可以发现纳什均衡是对称的,两个国家都会选择下面的武器装备水平:
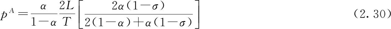
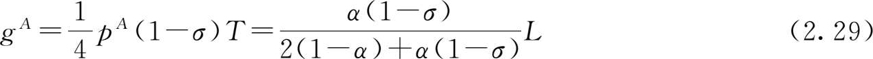
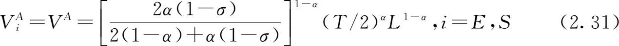
在(2.29)式所示的均衡解中,自给自足情况下的武器装备水平与劳动力L是成比例的。将(2.29)式代入(2.27)式中,得到每个国家的均衡自给自足价格为
(2.30)式中括号内的部分最大值为1,并且只有在安全的情况下,即σ=1时取到最大值。均衡时,每个国家的均衡支付水平为
因此,自给自足情况下的均衡支付水平也是不安全水平的递减函数。自给自足条件下的均衡结果如下。
命题2.4:如果相互敌对的两个国家是完全同质的,那么自给自足情况下的均衡满足以下两个结论。
(1)均衡时,石油相对于黄油的国内价格
是安全程度σ的严格递增函数,因此会低于完全安全情况下的国内自给自足价格
;
(2)均衡时的福利水平
是安全程度σ的严格递增函数,因此会低于完全安全情况下获得的福利水平
。
那么,自由贸易情况下会怎么样呢?这里假定在第3阶段,两个国家都参与到世界市场的石油和黄油的自由贸易中,石油与黄油的相对价格为p。假定两个国家都是小国,因此它们都是世界市场价格的接受者。国家i在自由贸易情况下的支付函数设为
,这可以通过用p代替(2.9)式和(2.10)式中的pi得到。首先来确定两个国家的均衡武器装备水平,用
表示。均衡条件与自给自足情况下的条件(2.28)式十分类似:
由于此时的均衡价格p是外生的,而自给自足条件下的价格是内生的,与武器装备水平有关,因此均衡结果与自给自足的情况有所不同。与自给自足情况相同的是,武器装备的边际成本对于两个国家是相同的,但在自由贸易情况的下,武器边际收益中的一个重要组成部分,即石油和土地的价格,对于两个国家也是相同的。
假设劳动力约束条件对任何国家都不是紧的,即
,两个国家在自由贸易条件下对武器选择的纳什均衡是无差异的,可以表示为
自由贸易条件下的武器装备水平与所争夺土地的规模和价格成比例,而自给自足条件下的武器装备水平与劳动力数量成比例。当然,如果石油的世界价格足够高且被争夺资源的规模(这依赖于安全程度的高低)足够大,那么劳动力约束就是紧的。为简单起见,假设劳动力约束不是紧的,
(1-σ)T,因此,自由贸易情况下的均衡支付为
显然,这与自给自足时的情况一样,均衡支付水平是安全程度σ的单调递增函数。
当所有的要素和商品都完全安全时,社会福利是世界价格的严格拟凸函数,并且在均衡价格等于自给自足价格
时达到最小值。因此,在完全安全的情况下,以世界价格进行的贸易提高了社会福利水平。在资源不安全的情况时,由于武器装备水平是内生的,因此用于生产消费品的投入要素数量也是内生的,此时的社会福利不一定必然在自给自足价格处达到最低水平。事实上,可以证明,使得如(2.34)式所示的自由贸易情况下的支付水平
达到最小值的均衡价格为
给定某种不安全程度0<σ<1,这个临界价格严格大于(2.30)式给出的自给自足时的价格水平
。
命题2.5总结了自由贸易情况下的主要结论。
命题2.5:如果相互敌对的两个国家是完全同质的,那么在自由贸易情况下的均衡满足以下结论。
(1)社会福利最小化的世界市场价格
是随着安全程度σ严格递减的,且严格大于自给自足情况下的国内均衡价格水平
。
(2)均衡时的福利水平
是安全程度σ的严格递增函数,因而低于完全安全情况下的社会福利水平
。
进一步考虑冲突对于自由贸易的含义。将(2.9)式和(2.10)式、决定冲突技术的(2.4)式以及效用函数(2.23)式和决定均衡武器数量的(2.33)式联立在一起,就可以得到国家i的石油进口量为
容易证明,只有在
时,两个国家才都是石油的净输出国,
由(2.30)式确定。在(2.36)式中令σ=1,可以得到无冲突情况下的石油进口量为
在这种情况下(σ=1),两个国家只有在
时才会成为石油的净出口国,否则便是净进口国。但是根据命题2.4的第(1)条结论,不完全安全情况下的自给自足价格严格小于完全安全情况下的自给自足价格,即
。这样,存在一个世界市场价格的变动范围
,在这个范围内,冲突国家出口石油,但如果是在完全安全的情况下,那么它们就会成为石油进口国。这个结论与其他文献的研究发现是一致的(如Dal Bó和Dal Bó(2011)、Garfinkel等(2008)的研究)。不安全和冲突的存在扭曲了国家传统意义上在国际贸易方面的比较优势。
根据对自给自足和自由贸易两种贸易体制下均衡的分析,可以比较两种贸易体制下的冲突水平和社会福利水平。
首先比较两种贸易体制对冲突或武器装备选择的不同影响。(2.29)式中自给自足的武器装备水平只依赖于资源禀赋水平和模型中的其他参数;但是,(2.33)式中自由贸易的武器装备水平依赖于世界价格。根据(2.29)式、(2.33)式以及(2.30)式给出的均衡价格,可以推出
也就是说,当石油与黄油的相对价格比较高时,对两个国家而言,土地和石油都相对更有价值。更准确地说,如果世界市场价格高于
,则意味着这些国家会出口石油,它们生产武器装备的激励要大于自给自足时的激励;如果世界市场价格低于
,则意味着这些国家会进口石油,它们生产武器装备的激励要小于自给自足时的激励。
接下来比较两种贸易体制下社会福利水平的差异。这里有两个关键因素会影响比较的结果。第一,来自贸易的收益使得自由贸易体制比自给自足体制更受偏爱。第二,贸易会影响各个国家争夺不安全资源的动力,这种影响是否会使自由贸易体制比自给自足体制更受偏爱,依赖于世界市场价格是低于还是高于自给自足时的价格。
首先,当世界市场价格等于自给自足时的价格时,自由贸易情况下的支付函数值与自给自足情况下的支付函数值相同:
此外,
是世界市场价格的严格拟凸函数,在
处达到最小值。严格拟凸函数意味着存在另一个价格水平,
,
由
定义。如(2.3-5)式所示,
大于
,这时存在世界市场价格的一个取值范围
,在这个范围内对两个国家来说自给自足要比自由贸易带来更高的福利水平。但在这个价格范围之外,当
或者
时,自由贸易情况下得到的效用则更高,如图2.1所示。
图2.1 自给自足和自由贸易下的社会福利水平比较
当石油与黄油的相对世界市场价格p小于自给自足时的价格
时,自由贸易情况下的武器装备生产水平更低。在这种情况下,从自给自足体制向自由贸易体制的转化可以降低每个国家争夺不安全资源的激励程度,因为贸易带给每个国家的收益在自由贸易体制下要高于自给自足的情况。但是当世界市场价格逐渐升高,并接近
时,两个国家间的冲突就会加剧,来自贸易的收益也会随之减少。在世界市场价格等于自给自足价格处,两种体制下不安全的成本相等,来自贸易的收益趋于零。因此,在
处,两种体制下的社会福利水平也相等。这些结果总结在下面的命题2.6中。
命题2.6:当石油与黄油的相对世界市场价格在
和
之间时,自给自足情况下的社会福利水平高于自由贸易情况下的社会福利水平;价格在其他取值范围内时,则自由贸易情况下的社会福利水平更高。
命题2.6表明,随着世界价格水平逐渐超过自给自足时的价格水平,两国之间的冲突会被进一步激化,贸易的政策效应产生了相对于自给自足情况时的福利成本(即更高的装备负担)。同时,来自贸易的收益上升到零之上。但是,这些收益都被更重的武器装备负担所抵消。因此,随着石油的世界市场价格超过自给自足时的价格,自由贸易情况下的福利水平会降到自给自足时的福利水平。这正如图2.1所表示的,当世界石油价格变得足够高
时,获得有价值的土地并向世界市场出售石油所带来的收益变得非常大,并且这种收益变得比武器的社会福利成本都重要了。
Dal B ó,E.,&Dal B ó,P.Workers,Warriors,and Criminals:Social Conflict in General Equilibrium.Journal of the European Economic Association,2011,9(4):646-677.
Garfinkel,Michelle R .,Stergios Skaperdas and Constantinos Syropoulos.Globalizationand Domestic Conflict.Journal of International Economics,2008,76(2):296-308.
Garfinkel,M.R.,&Skaperdas,S.and Syropoulos,C.Trade in the Shadow of Power.Chapter 24 in Garfinkel,M.R.,&Skaperdas,S.and Syropoulos,C.,(ed. ),The Oxford Handbook of the Economics of Peace and Conflict,Oxford University Press,2012.
Garfinkel,Michelle R .,Stergios Skaperdasand Constantinos Syropoulos.Trade and Insecure Resources.Journal of International Economics,2015,95(1):98-114.
Ricardo,David.On the Principles of Political Economy and Taxation.Piero Sraffa(Ed.) Works and Correspondence of David Ricardo,Volume Ⅰ,Cambridge University Press,1951.
Skaperdas,Stergios.Cooperation,Conflict,and Power in the Absence of Property Rights.American Economic Review,1992,82(4):720-739.
Skaperdas,Stergios and Constantinos Syropoulos.Guns,Butter,and Openness:On the Relationship between Security and Trade.American Economic Review:Papers and Proceedings,2001,91(2):353-357.