



至少从李嘉图(Ricardo,1817)开始,国际贸易理论开始采用传统经济学的基本假设,即所有商品和服务的产权都是详细定义的并可以无成本地实施。但在国际社会中,并不存在一个统一的权力机构来保护和实施产权,都是由各个国家单独定义或实施产权。因此,完美产权的假设在经验主义条件下是不成立的。放松了这个假设的模型可能更加合理,但却可能得到与传统贸易理论不同的预期。
缺乏第三方权力机构,意味着各个国家需要投入资源以保证产权的实施,军费支出就是其中非常重要的一种资源。同资源禀赋、偏好和技术一样,国家力量也是影响国家间贸易的重要因素。在人类的历史上,国际贸易几乎总是发生在国家力量的影响之下。参与贸易的每一方不仅面临着另一方不同意某个价格的风险,而且面临着对方进行暴力威胁的风险。在亚欧大陆过去一千年的历史中,充满了这种在国家力量阴影下出现贸易困境的例子,早期的欧洲列强西班牙、葡萄牙、法国和俄国,都是在枪炮的支持下寻求贸易机会的。随着工业革命和现代民族国家的兴起,国家力量影响下的贸易并没有消失。在第一次世界大战之前的第一个全球化现代纪元也是伴随着大国之间的军备竞赛到来的。现今的国际贸易仍然会受到国家力量的影响。
加芬克尔、什卡佩尔达斯和瑟罗普洛斯(Garfinkel,Skaperdas and Syropoulus,2012)认为,国家力量与贸易有关,国家力量的类型与使用或者威胁使用暴力的程度有关,而如何使用或者威胁使用暴力又依赖于国家的军事能力。产品不安全模型即以李嘉图模型为基础,假设每个国家生产的最终消费品有可能会被其他国家掠夺而去,因此是不安全的。
考虑两个国家E和S,其分别拥有初始资源
和
,并各自专业化生产一种产品,分别是布(c)和酒(w)。由于存在不安全因素,两个国家还生产另外一种产品,即“枪支”。令
和
分别代表E和S两国生产的枪支数量。最终产品c和w的产量分别为
对两种最终消费品ci和wi,两个国家有相同的柯布—道格拉斯效用函数:
假设两个国家都首先决定枪支的产量,并分别通过(2.1)式和(2.2)式决定布和酒的产出。然后,每个国家都企图夺取对方的一部分产出。每个国家夺取对方产品的数量,以及它能够在多大程度上保护自己的产出,依赖于两个因素:第一,不安全的程度;第二,两国各自拥有的枪支数量。
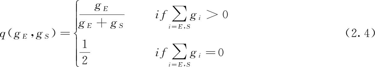
令σ∈[0,1]表示安全程度,即每个国家的产出中不会被别国夺取的部分,剩余部分为1-σ,即表示容易被其他国家夺取的部分。容易被掠夺>的产品如何在两个国家之间进行分配,或者两国占有被争夺资源的份额取决于两国所拥有的枪支数量。
不妨令
是E国所获得的份额,则S国所获得的份额为
。假设函数
是可微的,且对
严格递增,对
严格递减,则
就是冲突成功函数。这里使用的是一种特殊形式:
E国和S国拥有的安全的、不会被掠夺的产出分别为σc和σw,它们在各自国家之内的竞争性市场上被自由交易。
对两个国家各项经济活动的顺序做如下假设。
第1阶段:两个国家同时选择枪支生产水平
和
。给定这些枪支数量,最终消费品c和w的产量分别由(2.1)式和(2.2)式决定。
第2阶段:枪支数量决定了每个国家可以获取的不安全产出的比例。国家E可以保留c的比例为
,可以获取w的比例为
;而国家S可以获得c的比例为
,可以保留w的比例为
。
第3阶段:最终消费品c和w的安全部分在竞争性商品市场上被交易。
这里把第3阶段正式地定义为以下形式。
定义2.1:一个竞争性均衡由以下要素构成,即一个最终消费品的分配(c E *,w E *,c S *,w S * ),c相对于w的价格为p*,并且它们满足以下条件。
(1)对于i=E,S,
在约束条件
下使(2.3)式最大化,其中
(2)
。
定义中的第一个条件要求每个国家都在预算约束下选择各自对两种产品的消费数量,以最大化自己的效用水平,支出和预算约束都通过竞争均衡价格来估算。第二个条件要求两种最终消费品的交易市场都是出清的。
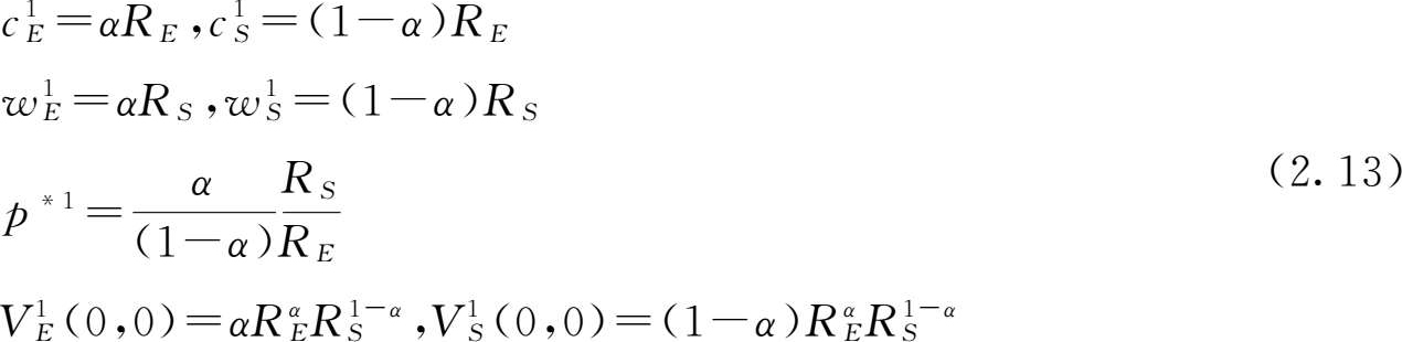
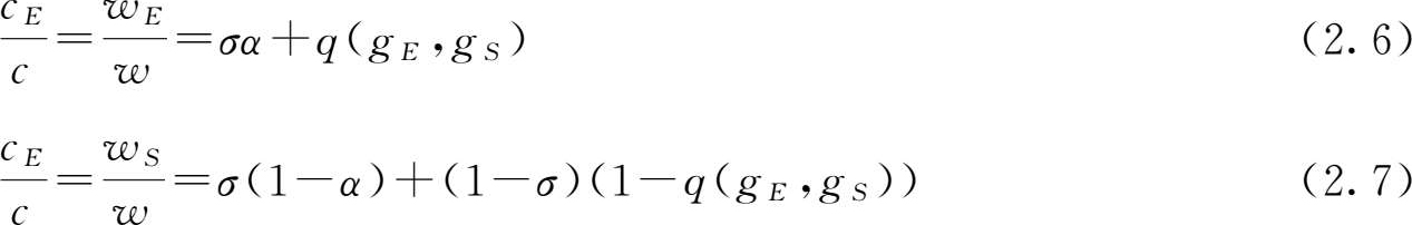
该模型可以使用逆推法来求解。从第3阶段开始,可知对于给定的每个枪支水平,c相对于w的均衡价格
为
(2.5)式表明,均衡价格不仅依赖于偏好(α)和资源禀赋
,而且依赖于两个国家所选择的枪支数量。如果国家E增加了本国的枪支生产数量,那么用于生产消费品c的资源就会变得更加稀缺,进而会使得c的均衡价格提升。类似地,如果国家S增加了本国的枪支生产数量,则最终会导致w的均衡价格升高。
根据第3阶段的竞争性均衡定义以及(2.5)式,并结合对第2阶段的描述,不难得到在给定每个国家枪支生产水平
和
的情况下,国家E和国家S在竞争性均衡中的资源配置满足如下条件:
这样,在第1阶段枪支生产水平确定后(未进入第2阶段时),E国拥有它生产的所有c,且
,S国拥有它生产的所有w,且
。而在经过了第2阶段的冲突之后,两个国家所拥有的最终消费品配置情况发生了变化,新的分配结果就好像是E用本国生产的σ(1-α)+(1-σ)
比例的c交换了S国生产的
比例的w。而对应于最终产品分配结果的隐含的或者是有效的c与w的相对价格为
这个价格与(2.5)式中的真实均衡价格p*有所不同,有额外两个因素决定了它们之间的差异:(产权的)安全程度σ和两个国家军事力量相对强弱所决定的非安全商品的分享份额
和
。不难发现,在安全程度σ较高时,在其他条件都相同的情况下,
与
非常接近。因此,考虑在产权完全安全的极端情况下,即当σ=1时,
。而安全程度σ越低,
和
对两种价格差异起到的作用就越显著。而事实上,各国的枪支生产水平不仅通过对
的作用来影响
而且通过对
和
的作用来影响p。对国家E,枪支水平的上升增加了它自己能够掠夺到的份额
,并相应降低了国家S能够掠夺到的份额
,但同时也降低了最终产出c,而这三种途径最终都会提高
。因此,国家E增加枪支生产会带来更高的
。同样地,国家S提高枪支生产水平最终会降低
因此,不管是国家E还是国家S,哪个国家提高了枪支生产水平,哪个国家在贸易中的地位就毫无疑问地提高了。
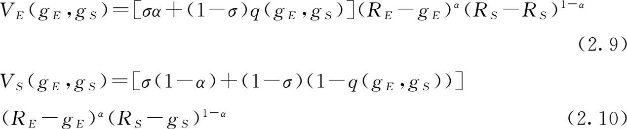
当然,武器生产水平是内生的,两个国家的枪支生产水平将构成一个纳什均衡。下面来求解第1阶段的决策问题。将对第2阶段和第3阶段的分析结果代入两个国家的效用函数中,可以得到仅由枪支生产水平决定的支付函数(payoff):
因为假设了两个国家有同样的线性齐次效用函数,如(2.3)式所示,所以对任何给定的枪支生产水平,都存在一个总的“剩余”(surplus)或可转移效用可以在两国之间进行分割。这个剩余等于
。支付函数(2.9)式和(2.10)式表明,每个国家所享有剩余的份额都是竞争性份额(国家E和国家S的竞争性份额分别为α和1-α)和掠夺性份额(国家E和国家S的掠夺性份额分别为
和
的一个凸集合,并与安全水平参数σ有关。当安全水平参数σ较高时,竞争性份额相对于掠夺性份额对剩余分享比例的影响更大。
安全水平影响着两个国家的枪支选择,安全水平不同,均衡情况也不相同。当产权完全安全(σ=1),也就是不存在掠夺可能性时,模型讨论的情况与传统经济学的基本假设一致。可以把产权完全安全的情况作为一个基准模型。在完全安全的假设下,将σ=1分别代入(2.9)式和(2.10)式,则两个国家的支付函数可以具体化为
在这种情况下,装备枪支要付出成本,但却不会带来任何收益。因此对两个国家而言,它们的最优枪支生产选择一定是
。为了方便与下文其他情况下的结果做比较,这里用上标1表示σ=1的情况,这样,均衡时的最终消费品分配、相对价格、效用水平及支付水平分别为
在产权完全安全的情况下,偏好(α)与初始资源禀赋
决定最优的均衡值。如果E国生产的产品相对价值升高了,比如,α值变大,那么这意味着E国在商品贸易中的优势增加。如果任何一个国家的初始资源禀赋更多,则将会使每个国家的消费水平都有所提升,并使其享受到更高的效用水平。
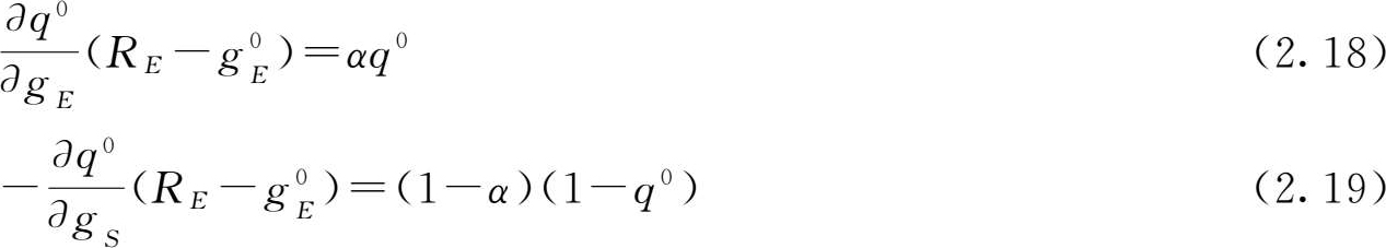
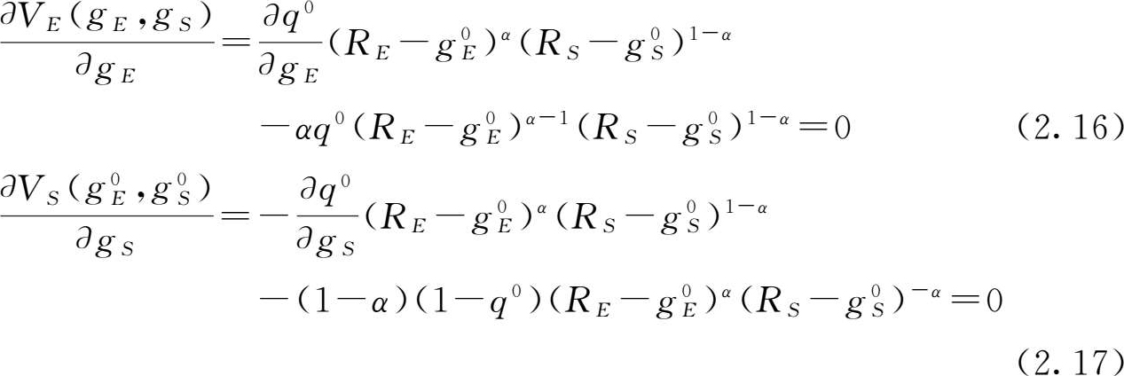
当产权完全不安全,即σ=0时,将σ=0分别代入(2.9)式和(2.10)式,得到产权完全不安全条件下的支付函数:
根据什卡佩尔达斯等(1997)的证明,本节所设定的函数性质能够确保存在一个唯一的内部纳什均衡。不妨将这个纳什均衡定义为
,用上标0表示σ=0的情况。该均衡同时满足下面两个一阶条件:
其中
。
在(2.16)式和(2.17)式中,等号右边的第一项表示的是每个国家枪支生产水平微小增加带来的边际收益,它是分享比例乘以两个国家所共享的“剩余”;第二项代表各国增加本国枪支生产水平的边际成本,主要体现在可消费最终产品的减少上。因此,在其他条件保持不变的情况下,如果一个国家的产出更加受到青睐(如与w相比,消费者更加偏爱c,这意味着
,那么虽然在产权完全安全的情况下,这个国家在国际贸易中具有优势,但在产权完全不安全的情况下,其却变成了完全的劣势。为了说明这一点一,可把(2.16)式和(2.17)式中的两个阶条件简化为
将(2.18)式和(2.19)式联立,得到
如果
对于
和
是对称的,并且它是第一项的一个凹函00∂数那么,
q别E和
的减函数。因此,当且仅当分就是E
gS ,
成立。由此可以推出,当且仅当
成立时时,(2.20)式左侧的式子小于1。
现在考虑
的情况,不妨假设
。如果(2.20)式小于1成立,那么不难推出
,而要这个不等式成立,系数就要满足
。因此,只有当w相对于c更受消费者偏爱时,(2.20)式小于1才能够成立。这表明,如果两个国家的资源禀赋相同,且一个国家生产的产品不为消费者所青睐,那么它就会选择更高的武力水平,以夺取更多商品。通过与完全安全的结果对比,可以发现安全环境的变化改变了国家在国际贸易中的优势。值得注意的是,这个结果对于一般形式的
依然成立(参见Skaperdas(1992)、Skaperdas和Syropoulus(1992))。
更一般地,对于初始资源禀赋
和
的任意组合,对c的相对偏好α的上升,会降低E国的均衡枪支生产水平,增加S国的枪支生产水平,并因此会确定地降低E国的均衡份额,增加S国的份额。这里将主要的比较静态分析结论总结在下面的命题2.1中。
命题2.1:假设产权是完全不安全的,即σ=0,则以下结论成立。
(1)如果
,那么下面的条件是等价的:(a)α<1-α;(b)
;(c)
。
(2)对于初始资源禀赋
和
的任意组合,α的上升将引起
的降低和
的上升,并会因而造成
的降低。
产权完全安全或者完全不安全是两种极端情况,特别是产权完全不安全情况下得到的结论有些出乎意料。更为合理的情况是产品的产权是部分安全的,但有一部分可能会被对手掠夺而去。安全程度由0<σ<1来表示。
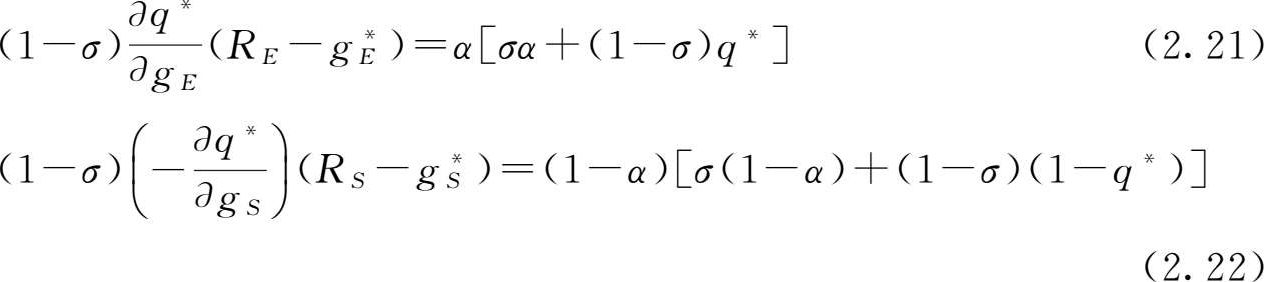
不完全安全情况下的支付函数还是如(2.9)式和(2.10)式所示。此时的纳什均衡不妨设为
,均衡条件可以类似地由(2.14)式和(2.15)式获得,该纳什均衡要满足如下条件:
(2.21)式中两式的左边部分是由(2.22)式左边乘以不安全程度1-σ得到的。安全程度越高,生产枪支的边际效用就越低。(2.21)式和(2.22)式的右边部分分别与(2.18)式和(2.19)式的区别仅在于,对E国而言,用σα+(1-σ)q*代替了q 0 ,对S国而言,用σ(1-α)+(1-σ)(1q*)代替了1-q 0 。由于代表偏好的参数α决定了E国生产枪支的边际成本,1-α决定了S国生产枪支的边际成本,因此α对于均衡的影响类似于完全不安全情况下的作用。
因此,基于对(2.18)式和(2.19)式的分析,可以得到,在不完全安全的情况下,如果两国的初始资源禀赋相同,即
,当且仅当α<1-α时,
成立。这就意味着,如果
,且其他条件保持不变,那么生产不受偏爱的消费品的国家将会武装更多枪支,且比其对手掠夺到更大比例的不安全产品。当然,这个国家获得的全部消费品比例并不一定会大于对手国家,因为该比例不仅取决于掠夺性比例,而且还取决于竞争性比例。而这两种影响到底哪个更大一些,决定于安全程度σ的大小。
如同在完全不安全情况下一样,对于初始资源禀赋
和
的任意组合,α的上升会降低E国相对于S国的枪支生产水平,并进而会降低
。安全水平σ的降低会提高两国的枪支生产水平。命题2.2总结了这些结论。
命题2.2:如果最终消费品的产权是部分完全安全的,即σ∈(0,1),则以下结论成立。
(1)如果
,那么下面的条件是等价的:
;
;
。
(2)对于初始资源禀赋
和
的任意组合,α的上升引起
相对于
的降低,并进而引起
的降低。
(3)对于初始资源禀赋
和RS的任意组合,σ的上升引起
和
的降低。
需要注意的是,对于足够低的安全水平,或者说足够小的σ,α的上升会导致
降低,
上升,这与命题2.1中的第(2)条结论是一致的。但对于更高水平的安全,两国均衡时的枪支水平α的上升引起的效应并不明确。但是,不考虑安全水平σ∈[0,1)的影响,一国专业化生产的商品的社会价值上升,会减弱该国在争夺不安全产出冲突中的相对优势。
可以进一步分析产权的不安全在福利方面的含义。假设两个国家拥有相同的资源禀赋,即
,且两国生产的消费品受到了同等程度的偏爱,即
由于产权是不安全的一,两个国家都会持有定数量的枪支。在均衡情况下,由于模型各种对称性的设定,两个国家会最终选择生产同样数量的枪支,且平分不安全的产品。这时,武力/冲突便有了囚徒困境的特征。两个国家都发现,在完全安全的情况下不生产枪支的结果更加具有吸引力。在不完全安全的情况下,更高的安全程度σ对应着更低的武器装备水平,因此每个国家的福利水平都是σ的单调递增函数。
如果在模型中引入不对称情况后,例如
和
,那么这些结论就可能会发生变化了。即使当
时,如果α足够小,那么E国也会偏好于冲突。一个较小的α意味着E国在安全产品中所占的比例较小,而在不安全产品中所占的比例较大。在α足够小时,后一种效应占据主导地位,这样,E国就获得了剩余中的较大部分,但由于枪支成本的增加,总剩余量会变少。当α足够小时,E国的福利水平并不一定会随着安全程度的提高而提高。相关的结论总结在命题2.3中。
命题2.3:对于
和
的任意组合,以下结论成立。
(1)如果α足够小(大),那么国家i=E(i=S)会偏好于选择冲突,即更高的武力水平。
(2)如果α足够小(大),那么国家i=E(i=S)的福利水平不必一定是安全程度σ的单调递增函数。
纵观人类历史,大多数远距离的贸易都发生在高度不安全的情况下。不安全的程度,以及每个国家通过武力来降低不安全程度的努力,产生了传统贸易理论无法预言的结果。商品生产是内生于武器装备生产决策的,商品受青睐的程度在不安全情况下似乎出人意料地给生产国的收益带来了消极影响。商品市场价格或影子价格不仅反映了武器生产同最终消费品生产竞争资源投入的资源转移效应,而且反映了武力对各国获得多少不安全商品的决定性影响。