



近年来,关于人民币货币替代的研究背景大多将人民币作为弱势货币被美元替代,研究替代率与国内宏观经济变量间的相互影响机制,如巴曙松、吴博(2008),刘艳萍、过文俊、刘艳靖(2011)基于向量自回归模型(VAR);张荔、张庆君(2010)基于自回归分布滞后模型(ARDL)研究了人民币名义有效汇率、实际有效汇率及其波动率与货币替代率的关系,认为有效汇率、实际有效汇率及其波动率与货币替代率之间存在显著均衡影响。魏雪君、宋金奇、葛仁良(2011)基于黏性价格模型,采用边限协整法研究了货币替代对人民币即期汇率及汇率预期的影响,认为即期汇率及汇率预期受到货币替代及国内外通货膨胀差别的显著影响。李富国、任鑫(2005)对决定人民币货币替代率的因素进行实证分析,认为决定货币替代的主要因素是预期汇率变动方向,而国内外名义收益率之差、通货膨胀率和国民收入对货币替代的影响不显著。与此相反,岳意定、张琦(2004)构建了人民币替代成因分析模型,对1994年到2002年影响我国货币替代程度的因素进行实证分析,认为影响我国货币替代程度的主要因素是人民币短期利率水平,宏观经济政策和制度以及国民收入水平三方面。其他类似的研究还有:范从来、卞志村(2002)、易行健(2006)等。
伴随着中国经济的高速发展和市场经济程度的不断加深,人民币已逐渐走出国门,在境外已经出现了人民币替代当地货币的人民币正向替代的趋势。基于这种经济环境,有必要将人民币作为强势货币替代境外当地货币作为研究背景来研究人民币在境外正向替代问题,这也完全符合当前人民币国际化的进程。对人民币正向替代的研究有助于更加清晰地把握人民币国际化进程,并对人民币国际化进程逆转时的风险监控和预警的研究提供有效参考。此外,基于货币替代视角对人民币国际化战略与对策进行研究,有助于在风险可控的前提之下加快并完善人民币国际化进程。
关于人民币在境外正向替代的问题,国内较早进行研究的是石建勋(2011,2013),分别基于贸易和投资视角将人民币作为强势货币构建计量分析模型估计了东亚地区的人民币货币替代弹性,对人民币境外正向替代总体趋势进行研究,比较了人民币在不同国家之间货币替代程度的差异,从货币替代视角就人民币区域化战略进行了比较系统的研究。不过该研究仍存在改进的地方:第一,通过估计替代弹性的大小来判断货币替代是否存在一定的主观性;第二,文中估计出的人民币名义利率和金融资产收益率的替代弹性很低,要支持文中人民币在长期具有替代美元的潜质这个结论还需要其他的研究结果加以补充。
此外,当前国外还有两种方法来检验货币替代现象是否存在。Thomas(1985)认为,若一国存在货币替代的现象,则实际本外币余额之比应当与国内名义利率呈负相关,而与外币的名义利率呈正相关。Adom、Sharma、Morshed(2009)认为,一国如果存在货币替代现象,会增大本国货币需求函数的波动性,造成货币需求长期不稳定。他们通过对一国货币需求函数的稳定性进行研究来判断是否存在货币替代现象。Elkhafif(2003)使用VEC模型检验了埃及、摩洛哥、尼日利亚和南非4国的货币需求函数的稳定性;Prock(2003)使用了VEC模型检验了阿根廷、巴西和墨西哥3个拉美国家的货币需求函数的稳定性。其他类似的研究还有:Turner(2003),Drakos(2003),Sharma(2004)等。
与估计本外币名义利率系数的符号来判断是否存在货币替代现象相比,检验实际货币需求函数的稳定性是一种间接的方式。由于第一种方法中的外币余额难以做出精确统计,造成数据精确度不高,而且按照不同统计口径的数据估计得到的结果有时候会互相矛盾,难以做出合理的解释。采用第二种方法可以有效地解决外币余额估计这一难题。此外,第二种方法还有一个优势,就是同时考虑到了资本流动和货币替代(Adom,2009),大大提高了货币替代检验的精度和准确性。
本书研究香港、澳门和台湾三地货币被人民币替代的现象,主要有两方面的原因。第一,近年来港澳台三地与大陆的经济往来越来越频繁,特别是香港和澳门,直接与大陆接壤。而且相对于内地来说,由于实行不同的制度,三地的经济与金融制度都有别于内地,而且其金融市场开放程度也相对较高,可以看成3个特殊的经济特区。这与我国周边国家如越南、缅甸等国有本质的区别。三地的地方政府都有着自己相对独立的财政和货币政策,所以采用检验当地货币需求函数稳定性的方法来研究货币替代现象存在合理性和可行性。第二,基于不同的方法来检验三地是否存在货币替代现象,是对石建勋(2009,2013)的研究起验证和补充的作用。
本书的研究结论是:香港、澳门地区的货币需求函数不稳定,存在人民币替代当地港币和澳门元的现象;而台湾地区的货币需求函数稳定,“新台币”被人民币替代的现象不明显。
本书对港澳台三地实际货币需求函数进行研究,通过估计实际货币需求函数中汇率的系数值并判断其显著性水平来检验三地是否存在货币替代现象。实际货币需求函数借鉴Adom(2009)的货币需求函数:
其中,
M
表示本币名义需求量,
P
表示价格水平,
则表示本币实际需求量;
y
表示实际国民收入;
r
,
r
∗
分别表示本外币名义利率;
π
表示本国通货膨胀水平;
e
表示汇率预期。具体来看:
(1)一国的国民收入衡量一国经济水平及居民财富数量,国民(地区)收入水平越高,对货币需求就越高,因此国民(地区)收入的系数为正。
(2)本外币名义利率对货币需求存在影响:当本币名义利率上升,公众会减少本币持有量,导致本币实际需求下降,因此,本币名义利率的系数为负。反之,外币名义利率的系数为正。在Adom(2009)和Drakos(2003)研究中认为,非洲8国(Adom,2009)与发达国家如美国、英国、加拿大和欧元区的国家(Drakos,2003)金融市场开放程度较高,对于资本流动性障碍较低,由于利率平价的作用,本外币利差完全反映在汇率波动之上,进而外币的名义利率对于实际货币需求的影响可以由本币名义利率和汇率共同表示出来。而本书认为,大陆与三地的金融市场不能实现资本自由流动,因此三地的本外币名义利率及汇率的波动不满足利率平价条件,外币(人民币)名义利率波动对于三地实际货币需求的影响存在一定的独立性。
(3)通货膨胀会造成未来本币购买力的下降,公众出于保持其消费水平和支付水平不受通货膨胀的影响,从而会增加其对本币的货币需求,因此,通货膨胀的系数为正。
(4)汇率是检验货币替代是否存在的重要因素。如果货币替代存在,当本币贬值时,本国居民更倾向于增持外币减持本币,这就出现了外币替代本币的现象。从货币需求函数上来看,如果汇率的系数是负的并且是显著的,说明汇率波动对实际货币需求是有影响的,可以认为存在人民币替代当地货币这一现象。
综上分析,可以得到货币需求函数的显式:
且 β 1 >0, β 2 <0, β 3 >0, β 4 >0, β 5 <0。
(1)本书收集了港澳台和内地4个地区的相关季度和月度的时间序列数据,范围从2001年到2013年,并对月度数据进行了变频处理,使其变成季度数据。数据来源为万德金融,人行数据库,香港金融管理局和澳门稽查局等。
(2)使用CPI指数来表示价格水平 P 和通货膨胀率 π 。具体来看,香港的CPI指数以2009年10月到2010年10月的价格为基期;澳门的CPI指数以2008年4月到2009年4月的价格为基期;台湾的CPI指数以2011年价格为基期,三地CPI指数基数均为1。
(3)使用广义货币余额M
2
表示名义货币需求量
M
,则实际货币需求量可表示成:
(4)使用GDP不变价(2011年为基期)的数据来表示三地实际国民收入 y 。
(5)使用货币市场利率表示本外币名义利率。本文使用1个月的银行间拆借利率反映本外币名义利率。
港澳台三地的广义货币余额(单位万亿)、实际国民收入(单位千亿)、本外币名义利率、通货膨胀和汇率一共5个时间序列变量,其具体统计信息如表4.1所示:
表4.1 各变量统计信息
综上所述,货币需求方程可以改写成计量方程:
M d = β 0 + β 1 ln y + β 2 i + β 3 i ∗ + β 4 π + β 5 e
本书借鉴Adom(2009)的研究方法,将港澳台三地的实际货币需求函数作为研究对象,通过研究汇率对于本币实际货币需求的影响机制,来检验三地是否存在本币被人民币替代的现象,克服了当地居民和投资者的人民币实际持有量难以准确估计的问题。
在对港澳台三地的实际货币需求函数估计之前,须对时间序列数据的平稳性进行单位根检验,因为若数据不满足平稳性要求,则回归方程很可能是伪回归。在单位根检验中,ADF是最常用的统计量,不过在样本容量相对较小的情况下,当数据的生成情况出现高度自相关时,ADF检验的功效非常不理想,需要结合其他单位根检验的检验结果综合对数据进行考察。本书拟通过ADF、PP和DFGLS三种方法来检验各个序列的平稳性,综合三种检验的检验结果,从一定程度上克服了小样本条件下ADF检验功效不足的局限性。本书对于序列的单位根检验结果为:香港地区 M d ~ I (1), y ~ I (1),ln y ~ I (1), i ~ I (1), π ~ I (1), e ~ I (1);澳门地区 M d ~ I (1), y ~ I (2),ln y ~ I (1), i ~ I (1), π ~ I (1), e ~ I (1);台湾地区 M d ~ I (1), y ~ I (1),ln y ~ I (1), i ~ I (1), π ~ I (1), e ~ I (1);外币(人民币)名义利率 i ∗ ~ I (1)。从单位根检验结果可以看出来,澳门的国民收入不满足一阶单整的要求,故对港澳台三地的国民收入均取自然对数,使其满足一阶单整的要求。
在估计长期协整方程之前,还需要对协整方程的滞后阶数进行判断,本书基于VAR模型确定协整方程的最优滞后阶数为5。
本书采用了Johansen检验对港澳台三地的实际货币需求 M d ,实际国民收入ln y ,本外币名义利率 i , i ∗ ,通货膨胀率 π 以及汇率 e 之间的长期关系进行协整检验。基于对原序列图形的观察,在判断协整检验的形式上选择原序列有确定线性趋势及协整方程有截距,其协整检验的结果如表4.2所示:
表4.2 协整检验结果
基于表4.2协整检验的结果,港澳台三地的时间序列变量之间至少存在一个协整关系,表明各变量在长期存在至少一个均衡关系。具体来看,香港地区的Trace和Max-Eigen统计量均表明各变量之间至少存在4个协整向量;澳门地区至少存在4个协整向量;台湾地区至少存在5个协整向量。所以,港澳台三地实际货币需求和其他变量原序列不平稳,但从长期来看是存在均衡关系的。基于Johansen检验可以得到三地标准化的协整向量及调整参数向量,具体如表4.3和表4.4所示:
表4.3 标准化协整向量
表4.4 调整参数向量
根据表4.3的结果,可以得到港澳台三地实际货币需求的标准化协整方程,通过协整方程中汇率的系数和显著性来检验三地是否存在货币替代现象。由于在协整检验时采用原序列有确定线性趋势及协整方程有截距的检验方式,计量方程变为协整方程的形式:
M d = β 1 ln y + β 2 i + β 3 i ∗ + β 4 π + β 5 e
在协整方程中,若汇率的系数是负的而且是显著的,则可以认为货币需求函数是不稳定的,而且货币替代现象存在。下文对港澳台三地的实际货币需求协整方程进行逐一分析。
(二)香港
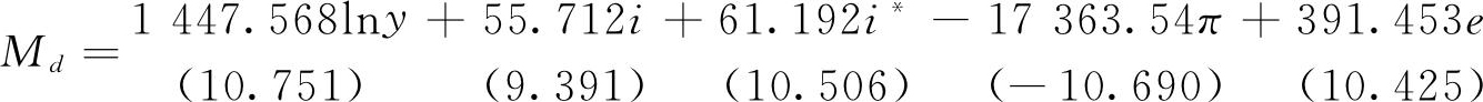
根据表4.3,香港实际货币需求标准化协整方程为
观察上述方程,各个自变量的系数与理论一致。由于协整方程中汇率的系数是负的而且是高度显著的,意味着香港地区存在人民币替代港币这一现象,并且导致香港地区的实际货币需求不稳定。这一结论验证了石建勋(2011)基于投资层面对香港地区人民币替代弹性的研究结果。由于汇率这个因素对于实际货币需求有一个显著的影响作用,所以会影响香港金融管理局货币政策的独立性。
香港市场存在港元被人民币替代的现象很大程度上是因为内地与香港贸易和投资的联系日益增强。1997年以来,香港与内地的贸易整合程度在逐步提高,香港逐渐成为中国内地与世界其他国家或地区间的贸易和投资的重要中转市场,而内地是香港最大的贸易伙伴和直接投资者。具体来看:
2013年香港向内地出口的商品贸易额达247.8亿港元,占香港总出口额的45.6%;从内地进口的商品贸易额为19 421.3亿港元,占总进口额的47.8%; 2012年
香港向内地输出的服务贸易额高达2 693.6亿港元,占香港总输出口额的36.6%;而从内地输入的服务贸易额高达2 528.8亿港元,占香港总输入额的42.8%。从商品贸易和服务贸易两方面看,内地都是香港最大的贸易伙伴。
从直接投资额来看,内地是香港最大的直接投资地区。截至2012年年底,内地直接投资总额为3.57万亿港元,占香港地区接受外来直接投资总额的37.0%。2012年全年来自内地的直接投资流入额为2 327亿港元,占总流入额的42.8%;内地也是香港向外直接投资最大的地区之一。截至2012年年底,香港累计向内地投资3.67万亿港元,占香港对外直接投资总额的40.7%,总量上仅次于维京群岛;2012年全年香港向内地直接投资流出2 966亿港元,占总流出额的45.8%,排名第一。贸易和投资两方面直接导致香港投资者和居民在日常生活交易、结算等方面使用人民币的便利性。
此外,2008年金融危机爆发以来,人民币始终保持稳步升值的趋势,其稳健的币值和优良的投资特性也使得香港市场上存在大量人民币的需求。
本书拟通过脉冲响应函数(IRF)对模型中各变量受到冲击从而对未来实际货币需求的影响机制进行研究,IRF过程如图4.1所示:
图4.1 香港地区实际货币需求IRF
从图4.1中可以看出,香港地区本期实际货币需求的一个正冲击后,实际货币需求自身在前4期逐渐下降,并在第4期之后开始保持稳定增长;本期国民收入的一个正冲击后,实际货币需求在前6期存在波动式上涨趋势,并在第6期达到最高点之后保持稳定增长,说明国民收入受到外部条件的某一冲击后,经市场传递给实际货币需求,给实际货币需求带来了同向的冲击,而且这个冲击具有显著的促进作用和较长的持续效应。同理,本币名义利率的一个正冲击给实际货币需求带来了稳定的同向的拉动作用;人民币名义利率的一个正冲击给实际货币需求带来了稳定的反向的拉动作用;通货膨胀的一个正冲击在第2期对实际货币需求有最大的负向作用,然后开始逐渐减弱,从第4期开始一直保持在0附近,说明通货膨胀率的正冲击对于实际货币需求大约有1年的影响(4个季度),1年之后其影响很小;本期汇率的一个正冲击后,实际货币需求在前10期存在负向影响,并在第10期达到了最大值之后保持稳定下降趋势,说明汇率受到外部条件的某一冲击后,经市场传递给实际货币需求,给实际货币需求带来了反向的推动作用,这从另一个方面说明了香港地区的货币替代现象是存在的。
本书对香港VAR模型做了方差分解(VD),观察各变量对于实际货币需求变动的贡献率。方差分解结果如表4.5所示:
表4.5 方差分解结果
基于表4.5中香港地区的方差分解结果可以看出,不考虑实际货币需求自身的贡献率,其他5个变量对于实际货币需求的贡献率随时间推移均逐渐增大,从第20期的数据来看,本币名义利率的贡献率最大,达到了12.4%;其次是人民币名义利率(6.2%)、汇率(2.5%)、国民收入(2.2%),通胀率的贡献最小,为0.07%。
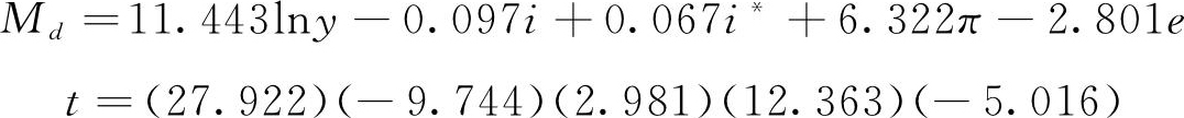
根据表4.3,澳门地区的标准化协整方程为
观察协整方程,除了人民币名义利率,其他各个变量的系数与理论一致。协整方程中汇率的系数是负的而且是高度显著的,意味着澳门地区存在人民币替代澳门元这一现象,并且导致澳门地区的实际货币需求不稳定。与香港的情况类似,由于汇率这个因素对于实际货币需求有一个显著的影响作用,所以会影响澳门金融管理局货币政策的独立性。
澳门市场存在澳门元被人民币替代的现象很大程度上是由于澳门的经济结构所导致,旅游业收入是澳门的重要经济来源:自2003年中国内地开展港澳个人游后,内地居民来澳更为方便,大量境内居民到澳门的旅游消费也构成了澳门的一部分收入,具体来看,2013年澳门入境旅客总数为2 932.5万人,而内地游客为1 863.2万人,同期增长10.2%,占全部入境人数的63.5%,内地作为澳门地区第一大客源地,人均消费2 563澳门元,可以简单估算出,2013年内地游客在澳门旅游消费共计477.5亿澳门元,占澳门GDP的11.5%。大量的内地游客在澳门博彩中的投入也是澳门博彩业收入重要来源,而2013年澳门博彩业毛收入3 618.7亿澳门元,同期增长18.6%,占澳门GDP的87.5%;博彩税收1 343.8亿澳门元,同期增长18.5%,占澳门财政收入86.4%,其中相当大的一部分来自内地游客。综上所述,交易、支付及博彩这几个方面可能会导致澳门地区人民币的需求,这种非投资性质的货币需求从一定程度上解释了澳门地区实际货币需求对于人民币利率为什么不太敏感。
本书拟通过脉冲响应函数(IRF)对模型中各变量受到冲击从而对未来实际货币需求的影响机制进行研究。IRF过程如图4.2所示。
图4.2 澳门地区实际货币需求IRF
从图4.2中可以看出,澳门地区本期实际货币需求的一个正冲击后,实际货币需求在前6期逐渐下降,并在第6期之后开始保持逐渐增大;本期地区收入的一个正冲击后,对于未来实际货币需求有一个负的影响,这个负的影响在前10期逐渐增大,并在第10期之后保持稳定负增长,这说明地区收入受到外部条件的某一冲击后,经市场传递给实际货币需求,给实际货币需求带来了反向的冲击,而且这个冲击具有显著的反向冲击作用和较长的持续效应。本币名义利率的一个正冲击先是对于未来实际货币需求有一个正的影响,但不明显,这个影响在第8期以后由正变负,并一直维持在0附近;人民币名义利率的一个正冲击对于未来实际货币需求的影响由负变正,一直维持在0附近;通货膨胀率的一个正冲击对于未来实际货币需求的影响一直保持在0附近,说明本外币名义利率和通胀率的变动对于实际货币需求的影响不明显。本期汇率的一个正冲击后,对实际货币需求有一个负的影响,这个负的影响在前10期逐渐增大,并在第10期后保持稳定负增长,说明汇率受到外部条件的某一冲击后,经市场传递给了实际货币需求,给实际货币需求带来了反向的冲击,这从另一个方面说明了澳门地区的货币替代现象是存在的。
本书对澳门VAR模型做了方差分解,观察各变量对于实际货币需求变动的贡献率。基于表4.5的数据,可以看出,不考虑实际货币需求自身的贡献率,实际地区收入、外币名义利率和汇率这三个序列对于实际货币需求的贡献率均逐渐增大,且汇率在10期左右达到了平稳。而本币名义利率则是先增大再减小,在第4期达到了最大值,随后逐渐减小;而通货膨胀率对于实际货币需求函数的贡献在第2期达到了最大值1.96%,之后则是逐渐减小,第20期的贡献为最小值0.33%。综合来看,汇率的贡献率最大,第20期达到了47.44%,超过了实际货币需求自身的贡献率,其他变量对于实际货币需求的贡献率相对较小,均不超过5%。
根据表4.3,台湾地区的标准化协整方程为
观察协整方程,由于汇率的系数是正的而且是高度显著的,说明台湾地区的实际货币需求是稳定的,不存在“新台币”被人民币替代的现象。这与港澳地区的研究结论相反。基于脉冲响应函数和方差分解来进一步观察各时间序列的变动对于台湾实际货币需求的影响及贡献率。其中IRF过程如图4.3所示。
从图4.3中可以看出,台湾地区本期实际货币需求的一个正冲击后,在第1期对其自身有最大的正的影响,接着这个影响开始逐渐减弱,并在第12期之后由正变为负,从长期来看,对未来的实际货币需求有一个负向的影响;本期地区收入的一个正冲击对于未来实际货币需求有一个正的影响,在前3期逐步增大,第3期之后保持稳定增长,这说明地区收入受到外部条件的某一冲击后,经市场传递给实际货币需求,给实际货币需求带来了同向的冲击,而且这个冲击具有显著的促进冲击作用和较长的持续效应;本外币名义利率的一个正冲击对于实际货币需求均有一个负的影响,这个冲击在前12期逐渐增大并在第12期以后保持稳定增长;本地区通胀率的一个正冲击造成实际货币需求正向的上下波动,这个波动在第16期之后逐渐平稳;本期汇率的一个正冲击对实际货币需求有一个正向影响,这个影响在第2期达到最大,并逐渐减弱,在第5期由正变负,并一直保持在0附近,从长期来看,汇率的变动对实际货币需求影响不明显。这也验证了台湾地区“新台币”被人民币替代现象并不明显。
图4.3 台湾地区实际货币需求IRF
本书对台湾VAR模型做了方差分解,观察各变量对于实际货币需求变动的贡献率。基于表4.5的数据,不考虑实际货币需求自身的贡献率,其他5个变量对于实际货币需求的贡献率随时间推移均逐渐增大,而且在12期之后都趋于平稳。从第20期的数据来看,大约有18.8%的实际货币需求的波动来自实际货币需求本身,本外币名义利率的影响最大,分别是27.7%和21.7%,再接下来是通货膨胀率(17.4%)、地区收入(13.0%),而汇率的贡献率最小(1.5%)。基于方差分解的结果可以认为,台湾地区“新台币”被人民币替代现象并不明显。
这种现象说明,与港澳地区相比,台湾的经济相对独立,对内地的依存度相对较低。台湾的经济结构中,高科技产业是其经济发展最为重要的支柱性产业。而台湾发展高科技产业,发达资本主义国家的作用要远高于内地。发达国家所拥有的雄厚的技术及经济实力、庞大的市场需求及其在国际经济格局中的主导地位,是台湾地区经济发展的基本依靠(曹小衡,2013)。所以,台湾经济与大陆经济一体化程度相较港澳地区还较低,这是导致台湾市场人民币需求不明显的主要原因。
本书基于货币替代的资产组合理论,估计了港澳台三地的实际货币需求协整方程,并检验了三地人民币货币替代现象是否存在。根据本书的研究结果,香港和澳门地区确实存在人民币替代港币和澳门元的现象,而台湾地区人民币替代“新台币”的现象则不明显。港澳地区存在人民币替代港币和澳门元的现象说明了港澳区域内人民币已经成为区域主导货币,其“区域硬通货”的趋势已经显现,人民币在区域内的流通性大大提高;而台湾地区人民币替代“新台币”的现象不明显则说明了当前人民币在台湾地区的流通性不够,仍不具备“区域硬通货”的特质。中国政府需要从以下三个方面积极推进人民币国际化进程,以加速人民币区域化。
(1)构建内地与港澳台的“大中华人民币货币区”。中国政府应当采取更加积极主动的措施,促使人民币替代港币和澳门元,成为香港和澳门的官方货币、成为台湾的主要储备货币和广泛使用的货币,从而形成“大中华人民币货币区”。
(2)推进人民币成为东南亚地区的“锚货币”。中国与东南亚地区的经济与贸易既协同发展、互相依存,又相互竞争。目前来看,东南亚地区对于中国的经济与贸易的依存程度远远高于竞争程度。随着中国—东盟自由贸易区(CAFTA)的深入发展,境内外双方的服务贸易市场和投资市场开放程度会不断加深,中国作为东南亚地区最终产品市场提供者的功能将得到更加充分的发挥,人民币在境外的需求量会不断上升,中国应努力促使人民币作为贸易结算和资本输出的主导货币,以货币与资本的输出带动产品和服务出口与人民币的跨境使用,这将极大地提高我国港澳台地区与周边东南亚国家参考人民币汇率的可行性,有助于人民币成为境外局部地区的“锚货币”。
(3)保持人民币汇率稳定,并逐步放宽资本项目管制。人民币要想在港澳台区域内完全替代港币、澳门元和“新台币”成为区域主导货币,就必须保持人民币汇率的稳定,增强人民币汇率的弹性和灵活性。同时,逐步放松资本管制并最终实现人民币完全可兑换,完全实现人民币的投资功能。只有这样,才能增强港澳台地区的公众持有人民币的信心,使人民币在港澳台三地对其货币的完全替代,从而为实现人民币成为真正的国际货币创造有利条件。