



众所周知,木头或煤炭只有在温度较高的情况下才能燃烧。化学家告诉我们,这是因为碳元素和氧元素发生了化合反应。事实上,这种化合反应在任何温度下都能进行,只是在常温下进行得比较慢而已,以至于我们根本观察不到。化学反应定律说:温度每降低10℃,反应速度就会减缓1/2。
根据这一定律,我们可以研究一下木头和氧气发生化合反应的过程。假设当火焰的温度为600℃时,烧掉1克木头需要花费1秒钟。那么,当温度为20℃时,烧掉同样重量的木头需要多少秒呢?
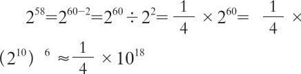
温度从600℃降低到20℃,下降了580℃,也就是下降了10℃的58倍,因此反应速度就是原来的(1/2) 58 ,即烧掉这1克木头需要2 58 秒。
这段时间到底是多久呢?其实,不用真的把这个数计算出来,我们可以粗略地估算一下。
2 10 =1024≈10 3
所以
一年的时间大概是3000万秒,也就是3×10 7 秒,所以
答案就是100亿年!就是说,当温度为20℃时,要烧掉1克木头需要100亿年的时间。如此慢的反应速度,我们自然是感觉不到的。可如果采用取火工具,就能把这个缓慢的过程加快上万倍,乃至更多。