



【题目】一只正常走动的表的时针与分针,在12小时内,重合的点有多少个?
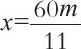
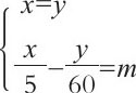
【解答】由上一个问题的分析可知,当时针与分针重合时,它们可进行对调,且对调后的时间没有任何变化。在这里,我们依然可以借用上一题的原理来求解。两个指针重合,说明从12点开始,它们走过的刻度是一样的,即x=y。这样,我们就得到了下列方程组:
其中,m也是从0到11的整数。解这个方程,可得出:
把m的12个可能的值代入上面的式子,可得出题目的答案。不过,需要说明的是,由于m=0和m=12时,指针都指向12点的位置,因此我们只能得到11个重合点,而不是12个。