



【题目】相传,有一次爱因斯坦生病了,躺在床上很无聊,他的朋友莫西科夫斯基给他出了一道题,让他打发时间。那道题是这样的:
“有一只钟表,假设表针的初始位置是12点。此时,如果把钟表的长针和短针对调,它们指示的时间还是在合理范围内。但是,在有的时间上,比如6点钟,将表针对调的话,出现的时间就不对了,因为当时针指着12的时候,分针不会指着6。问题来了,当分针和时针分别在什么位置时,两针对调后所指的时间还是合理的?”
爱因斯坦听完后,回答说:“对于病床上的人来说,这确实是一个很好的问题,很有趣,却又不简单。只是,我可能消磨不了多少时间,因为我马上就要计算出来了。”说完,他从床上坐了起来,在纸上画出一个草图。爱因斯坦解答这个题目所花的时间,可能比我描述这个问题所用的时间还短。那么,他是如何解答的呢?
【解答】我们不妨把钟表的一周划分成相等的60份,并以每份为单位,用它来度量表针从12点开始走过的距离。
如图9所示,假设到达题目所求的位置时,时针从12点开始走过x个刻度,分针走过y个刻度。由于时针每12个小时走过60个刻度,所以它每小时走过5个刻度。那么,它走过x刻度所用的时间就是x/5小时,即钟表从12点开始走到所求的位置,花费了x/5小时。分针走过的刻度是y个,也就是y分钟,相当于y/60小时,即在y/60小时之前,分针从12点的位置经过。换句话说,两个指针在12点的位置重合之后,过去的整小时数是(x/5-y/60)。
图9
(x/5-y/60)肯定是0到11之间的整数,因为该数表示在12点以后正好过去了几个小时。
倘若把两个指针对调,用同样的方法,我们能够计算出从12点开始到表针所指的时间过去的整小时数是(y/5-x/60),该数也是一个从0到11的整数。
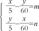
把两个方程联立,即:
其中,m和n都是从0到11的整数,解这个方程组,可得:
如果用0到11中的每个整数来代m和n,就能得到题目所求的两个表针所指的所有位置。由于m和n都有12个数,它们的组合就有144个,所以看起来该方程似乎有144个解。但实际上,只有143个,因为当m=n=0和m=n=11的时候,它们所表示的是同一个时间,也就是12点。
在此,我们不逐一讨论,只举两个例子来看:
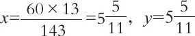
例1:当m=n=1时,
即,当表针所指的时间是1点5(5/11)分时,两个指针是重合的,它们当然可以进行对调。实际上,只要是两指针重合的时刻,二者都能够进行对调。
例2:当m=8,n=5时,
此时对调前后的时间分别是8点28分53秒和5点42分38秒。
根据前面的分析,这道题一共有143个解,我们可以把钟表的圆周分成均等的143份,这样就得到了这143个点。在这些点上,时针和分针可以对调,而在其他的点上,就不能进行对调。