



前面的那个题目,是从牛顿原来的题目改编而来的。下面,我们就来看看牛顿著作中的那个题目。
【题目】有3个牧场,面积分别是
公顷、10公顷、24公顷。这几个牧场上的草长得都一样密、一样快。在第一个牧场里饲养12头牛,里面的草能够吃4个星期;在第二个牧场里饲养21头牛,里面的草可以吃9个星期。那么,在第三个牧场里饲养多少头牛,里面的草刚好能够吃18个星期?
【解答】跟前面一样,我们在这里引入一个辅助未知数y,用来表示在1星期内每公顷牧场上新长出的草占原来草的总量的比重。首先,来看第一个牧场,在1星期内新长出的草是1公顷牧场上原有草总量的
倍,在4个星期里,新长出的草就是1公顷牧场上原有草总量的
。
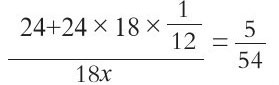
这就相当于第一个牧场的面积变大为
公顷,即牛在4个星期内吃掉了牧场上面积为
公顷的草。那么,这12头牛在1个星期内吃掉的草为上数的1/4,进而1头牛在1星期的时间内吃掉的草就是上数的1/48,即:
这就是说,1头牛在1星期的时间内一共吃了
公顷这么大面积的牧场上的草。
同理,可计算出在第二个牧场上1头牛在1星期的时间内,能吃掉多大面积的牧场上的草。
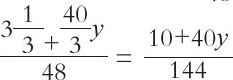
在1个星期里,1公顷牧场上长出的草是y;
在9个星期里,1公顷牧场上长出的草是9y;
在9个星期里,10公顷牧场上长出的草是90y。
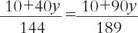
所以,21头牛在9个星期内吃掉的草,相当于面积为(10+90y)公顷的牧场上的草,而1头牛在1个星期内吃的草为
公顷。
因为每头牛每个星期的吃草量是一样的,所以:
求出:y=1/12
有了这个数值,就能计算出1头牛在1个星期内的吃草量,即:
接下来,我们就能求出题目所求的量,假设第三个牧场上的牛的数量是x,则:
解得x=36,也就是说,在第三个牧场上饲养36头牛的话,里面的草刚好够吃18个星期。