



【题目】牛顿在《普遍的算术》中写道:“在科学的学习中,题目比规则要有用多了。”因此,当他阐述一些理论的时候,总是会结合实例来说明。在他所举的实例中,有一个关于牛在牧场上吃草的经典题目,下面介绍的题目就是从这个题目演化而来的:
“牧场上的草长得很均匀,每个地方都一样密,长得一样快。如果是70头牛在这片草地上吃草,24天就能把草吃完;如果是30头牛,则需要吃60天。现在的问题是,如果想让草地上的草吃96天,牧场上应该有多少头牛?(图8)”
这是契诃夫的著作《家庭教师》中出现的题目,老师让学生解答,学生的两个成年亲戚帮着他做,但是花费了很长时间也没有得出结果,他们感到很困惑。其中一个亲戚分析道:“真是奇怪,如果70头牛花24天把牧场里的草吃完,那么要想在96天的时间里把草吃完,牛的数量就是70的1/4,也就是17(1/4)头牛。这显然是错的。再看后面,30头牛在60天的时间里把草全部吃完,那么,要在96天内把草吃完,就需要18(3/4)头牛,显然也是错的。另外,如果70头牛在24天内把草吃完的话,30头牛要吃完这片草只需要56天,可题目却说要60天。”
“你可能忘了一个问题,那就是草一直在生长着。”另外一个人说。
图8
这个人说得没错,草一直在生长,如果忽略了这一点,不仅解不出这道题,还会发现题目中给出的条件也是自相矛盾的。那么,要如何求解这道题呢?【解答】这里我们需要用到一个辅助未知数,即每天长出的草和牧场上的草的总量的比值。假设每天长出的草是y,在24天内长出的草就是24y。假设牧场上的草的总量是1,那么24天内70头牛一共吃的草是:
1+24y
70头牛每天吃掉的草是:
而一头牛在一天内吃掉的草就是:
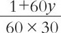
同理,30头牛在60天内把牧场上的草吃完,那么一头牛在一天的时间里吃掉的草是:
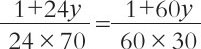
由于每头牛每天吃的草应该是一样的,所以:
可得:y=1/480
这就是说,每天长出的草是整片牧场上的草的总量的1/480。据此,我们能够计算出一头牛在一天当中吃掉的草占牧场上的草的总量的比率是:
接下来,假设题目所求的牛的数量为x,那么
解得:x=20
因此,想在96天内把牧场上的草全部吃完,需要20头牛。