



【题目】一位老医生约朋友到家里玩。
“好的,感谢您的邀请。我准备下午3点钟从家里出发,也请您那时候出门,我想,我们会半路上相遇的。”
“年轻人,我可是一个老头儿了,我1小时只能走3千米,而你1小时至少能走4千米。你能让我少走一些路吗?”
“没错,我1小时确实比您多走1千米,这样吧,我比您早出发一刻钟,也就是让您1千米,这样可以吗?”
“嗯,好的。”老医生同意了。
第二天,年轻人在下午2点45分时从家里出发,以4千米/小时的速度行走。老医生在下午3点钟准时出发,以3千米/小时的速度行走。一段时间后,他们在路上相遇了。之后,他们一起朝老人的家走去。
等年轻人回到自己家时,他计算了以下自己走过的距离,发现由于这一刻钟的差别,他走过的距离正好是老医生的4倍。
请问:这两家之间的距离有多远?
【解答】假设两家之间相距x千米,那么,年轻人走过的所有路程就是2x千米,而老人走过的路程只有年轻人的1/4,因此老人共走了x/2千米。
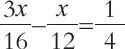
两人相遇时,老人走过的路程是他走过的总路程的一半,也就是x/4千米,而年轻人则走了3x/4千米。结合两人的速度可知,在相遇时,老人花费的时间是x/12小时,年轻人花费的时间是3x/16小时。另外,年轻人比老人提前一刻钟出门,因而年轻人多花了1/4小时的时间。所以,我们可得出下面的方程:
求解方程,可得:
x=2.4
也就是说,年轻人和老医生两家相距2.4千米。