



【题目】我们再来看一个古老的问题,这个问题并不复杂,很容易转换成代数的语言。
一匹马和一头骡子驮着沉重的包裹并排前行。马向骡子抱怨说:“我背上的包裹太重了!”骡子说:“如果把你背上的包裹给我一个,我背上的负担就是你的两倍了。要是把我背上的包裹拿给你一个,你背上的包裹也不过跟我一样重而已。你有什么好抱怨的?”
亲爱的读者,你能告诉我,马和骡子分别背了多少包裹吗?
【解答】我们先来把普通的语言转换成代数的语言,见下表。
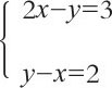
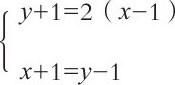
这样,上述问题就转换成了一个二元一次方程组:
即:
得:
也就是说,马背了5个包裹,骡子背了7个包裹。