



【题目】把上面的题目扩展一下,我们来看看4个2的情形。不使用运算符号,把4个2摆成尽可能大的数,该怎么摆放呢?
【解答】4个2所有可能的摆法一共有8种,即:
这几个数中,到底哪个最大呢?
我们先来看看前4个数,也就是用两层摆法得到的数。显然,第一个数字2222,比后面的3个数都小。我们再比较一下2222后面的两个数,也就是222 2 ,22 22 。
把22 22 进行如下变换:22 22 =22 2×11 =(22 2 ) 11 =484 11
与222 2 相比,484 11 的底数和指数都要大得多,所以,22 22 >222 2 。
再比较一下22 22 和第4个数2 222 ,我们取一个比22 22 更大的数32 22 ,下面就来证明,即使是32 22 ,也比2 222 小。
实际上,32 22 =(2 5 ) 22 =2 110 ,这个数也比2 222 小很多。
所以,前4个数中,2 222 最大。
再来看后面4个数:
显然,最后一个数等于216,它肯定不是最大的,直接淘汰掉。
,它小于32
4
=2
20
,即这个数比
都要小。所以,最后就变成了比较这3个数的大小:
这3个数都是以2为底的指数,所以,只要比较这3个指数——222、484和2 22 的大小即可,指数最大的对应的数就最大。
显然,2
22
比222和484都要大。因此,用4个2摆成的最大的数是
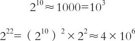
。我们来估算一下这个数到底有多大。
所以,
这个数的位数,比100万还要大得多!