



看过前面的几个例子,你可能会有这样的困惑:为什么有些数字用三层的摆法最大,有些数字却不是这样呢?下面,我们就来深入探讨一下这个问题。
我们先来看一般的情形,不使用运算符号,用3个相同的数摆出一个尽可能大的数。用字母a表示一个数,下面的摆法:
可以表示为:
a的三级“超乘方”则可以表示为:
问题的关键在于,当a取何值时,用三层摆法得到的数
比
大。
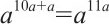
与a
11a
是以同一个数作为底的乘方,且又都是整数,所以只需要比较它们的指数就行了。指数大的,得到的数就大。因此,上面的问题就可以归结为,求解下面的不等式:
不等式的两端都除以a,可得出:
通过代入法,可得:当a>3时,a a-1 >11成立。
比如,当a=4时,4 4-1 >11显然是成立的,而3 3-1 、2 2-1 都比11小。
由此,可得出结论:当这个数为2或3的时候,用a 11a 的形式摆出的数最大;当这个数大于等于4时,用三层摆法得到的数最大。