



在本节中,我们粗略地计算一下,在国际象棋的棋盘上,共可能出现多少种不同的棋局。这里只是想让大家知道,这个数目究竟有多大,非常精确的计算没什么意义,所以我们只是估算。有本书叫作《游戏的数学和数学的游戏》,里面有这样一段文字:
由于白方的每个卒都能向前走1个格或2个格,共有8个卒,16种走法。2个马分别有2种走法,共有4种走法。所以,白方的第一步共有16+4=20种走法。同样,黑方的第一步也有20种走法。白、黑两方各走第一步之后,会出现20×20=400种不同的棋局。
走了第一步之后,后面的走法就更多了。比如,如果白子第一步走的是e2-e4,那么,第二步就有29种走法。再走第三步,可能走法还会更多。以王后为例,假设它本来在d5格中,且它所有的出路均为空格,那么它可能的走法就有27种。不过,为了计算更简单,我们不妨取它们的平均数:
在双方的前5步中,假设每步的走法都是20种,在以后的每一步中,假设每步的走法是30种。另外,假设双方在比赛中各走了40步。这样,我们就能计算出,在这盘比赛中,所有可能的棋局数目是:
(20×20) 5 ×(30×30) 35
要求出上式的近似值,我们可以对上式进行一些变形:
上式中,用20 10 代替10 3 ,是因为20 10 ≈1000=10 3 。
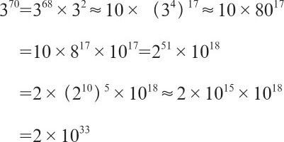
对3 70 可以进行下面的近似:
于是,有:
传说中,奖给象棋发明者的麦粒数是(2 64 -1),这个数大概是18×10 18 ,象棋的棋局数比这个数大很多。假如地球上所有人每天24小时都在下棋,假设每走一步需要1秒钟,那么,想把这些棋局全部实现,大概需要10 100 个世纪!