购买
下载掌阅APP,畅读海量书库
立即打开
畅读海量书库
扫码下载掌阅APP

第一节

脂溶性维生素

脂溶性维生素包括维生素A、维生素D、维生素E、维生素K四种。它们的主要特点如下:①难溶于水,易溶于脂类及脂肪性溶剂;②当脂类吸收发生障碍时,常导致脂溶性维生素缺乏;体内储存量较多,主要在肝脏,长期过量摄入可蓄积引起中毒。

一、维生素A

(一)化学结构与性质

维生素A(图5-1)又叫抗干眼病维生素,是由β-白芷酮环和两分子异戊二烯构成的多烯化合物,呈淡黄色。天然的维生素A有A 1 (视黄醇)和A 2 (3-脱氢视黄醇)两种形式。维生素A在体内的活性形式有视黄醇、视黄醛和视黄酸三种。其分子结构主要有全反式和11-顺式两种异构体。维生素A的化学性质活泼,在空气中易被氧化,或受紫外线照射而破坏,故维生素A制剂应在棕色瓶内避光保存。

图5-1 维生素A 1 和维生素A 2 的分子结构

(二)来源

维生素A主要来源于动物性食物,如鱼类、肝、肉类、蛋黄、乳制品、鱼肝油等。其中,维生素A 1 主要存在于动物肝脏、血液和眼球的视网膜中,是天然维生素A的主要存在形式;维生素A 2 主要存在于淡水鱼的肝脏中。植物性食物不含维生素A,但红色、橙色、深绿色植物中含有丰富的β-胡萝卜素(图5-2),能在动物体内肠壁及肝中转变成维生素A,称为维生素A原。在小肠黏膜细胞的β-胡萝卜素加氧酶的作用下,1分子β-胡萝卜素加氧断裂,可生成2分子维生素A 1

图5-2 β-胡萝卜素的分子结构

(三)生理功能与缺乏症

1.构成视觉细胞内感光物质 维生素A是视杆细胞的感光物质视紫红质的组成成分,视紫红质由视蛋白和11-顺-视黄醛组成,可保证视杆细胞持续感光,出现暗视觉。维生素A缺乏时,可导致11-顺-视黄醛补充不足,视杆细胞中视紫红质合成减少,感受弱光困难,使暗适应时间延长,严重时会出现夜盲症。

2.维持上皮组织结构的完整和健全 维生素A能促进组织发育和分化所必需的糖蛋白的合成。维生素A缺乏可引起上皮组织干燥、增生和角化等,主要以眼、呼吸道、消化道等的黏膜上皮受影响最为显著。眼部病变表现为泪腺上皮角化,泪液分泌受阻,以致角膜、结合膜干燥产生干眼病、结膜干燥斑(毕脱斑)、角膜软化症、失明。皮脂腺及汗腺角化时,皮肤干燥、脱屑,毛囊周围角化过度,发生毛囊丘疹与毛发脱落。

3.促进生长、发育及繁殖 维生素A参与类固醇合成,影响细胞分化,从而影响生长发育。维生素A缺乏可造成儿童生长发育迟缓,骨骼生长不良,生殖功能减退,味觉、嗅觉下降,食欲不振。

4.防癌作用 实验证明,缺乏维生素A的动物对化学致癌物更敏感,易诱发肿瘤。此外,β-胡萝卜素能直接消灭自由基,是机体有效的抗氧化剂,对于防止脂质过氧化,预防心血管疾病、肿瘤及延缓衰老等方面均有重要意义。

过多摄入维生素A会导致中毒,临床表现为毛发易脱、皮肤干燥、瘙痒、烦躁、厌食、肝大及易出血等。

二、维生素D

(一)化学结构与性质

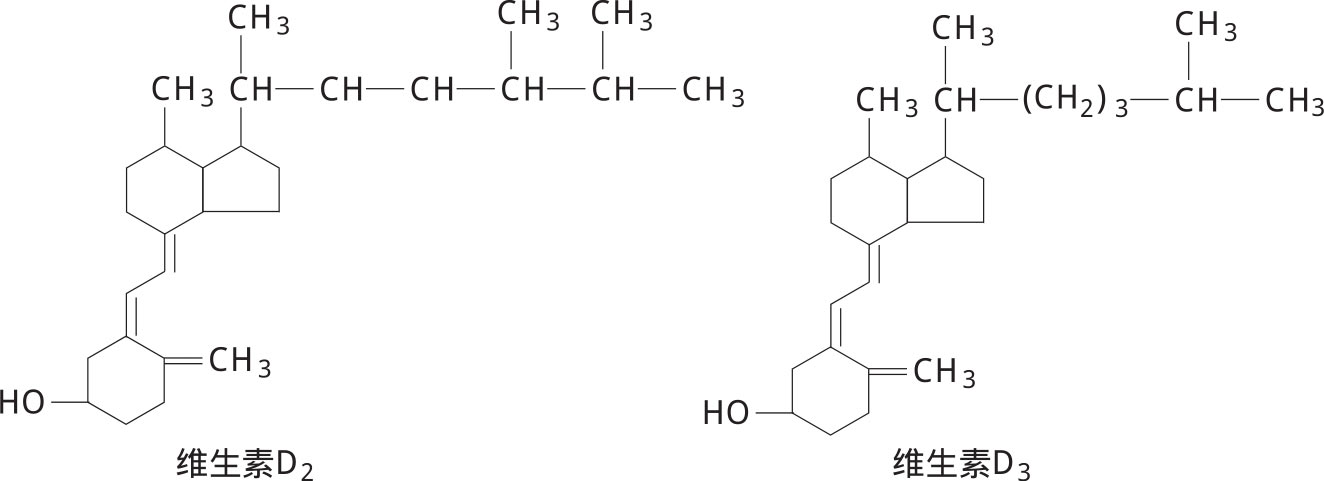
维生素D又叫抗佝偻病维生素或钙化醇,是类固醇的衍生物。主要包括维生素D 2 (麦角钙化醇)和维生素D 3 (胆钙化醇)两种,其中以D 3 最为重要,其化学结构如图5-3所示。

图5-3 维生素D 2 与维生素D 3 分子结构

维生素D为无色针状结晶,除对光敏感外,性质稳定,不易被热、酸、碱和氧破坏,故通常烹调方法不会使其损失。含维生素D的药剂均应保存在棕色瓶中。

(二)来源

维生素D 2 来自于植物性食物,植物油和酵母中含有的麦角固醇经日光或紫外线照射,转变为可被人体吸收的维生素D 2 ,因此麦角固醇被称为维生素D 2 原。人体皮肤中的7-脱氢胆固醇经日光或紫外线照射后可转化为维生素D 3 ,被称为维生素D 3 原。一般情况下,成年人暴露于日光下的面部和手臂皮肤经光照10min,所合成的维生素D 3 足够维持机体需要,因此多晒太阳是预防维生素D缺乏的主要方法之一。

(三)生理功能与缺乏症

1.维生素D的生理功能 维生素D自身没有生物活性,食物中的维生素D进入人体后,先以乳糜微粒的形式入血,在血液中与其特殊的载体蛋白结合后被运输到肝脏,经25-羟化酶催化生成25-(OH) 2 -D 3 ,然后在肾脏1-羟化酶的催化下,转化成1,25-(OH) 2 -D 3 (骨化三醇)才具有生物活性,1,25-(OH) 2 -D 3 的靶组织主要是小肠黏膜、肾小管和骨骼,主要功能是调节钙、磷代谢,促进肾小管对钙、磷的重吸收;促进骨骼的钙化,可健全骨骼及牙齿,有效地预防佝偻病和骨质疏松的发生。

2.维生素D缺乏症 婴幼儿、儿童、青少年体内维生素D不足,肠道钙和磷吸收不足,使血液中钙、磷含量下降,骨骼、牙齿不能正常发育,临床表现为手足抽搐,严重时可导致佝偻病;成人缺乏维生素D可引起骨质软化症(亦称软骨病),长期缺乏户外活动、日照不足及周围环境污染严重的工业城市居民中的本病反而多见,女性高于男性;血钙水平降低时可引起骨质疏松症,临床表现为肌肉痉挛、小腿抽筋、惊厥等。

三、维生素E

(一)化学结构与性质

维生素E包括生育酚和生育三烯酚两大类(图5-4),都是6-羟基苯骈二氢吡喃的衍生物。根据环上甲基的数目和位置不同,每一类又分为α、β、γ、δ四种。自然界中以α-生育酚活性最强、分布最广。维生素E为微带黏性的淡黄色油状物,无氧条件下对热稳定,加热至200℃也不被破坏,但在空气中极易被氧化,可保护其他物质不被氧化,具有抗氧化作用。

图5-4 维生素E的分子结构

(二)来源

维生素E主要存在于植物油、油性种子、水果、蔬菜及麦芽中,以植物种子油中含量最为丰富。冷冻储存的食物中生育酚会大量丢失。

(三)生理功能与缺乏症

1.抗氧化作用 维生素E具有强还原性,是体内抗过氧化物的第一道防线,能捕捉体内的自由基如超氧离子、过氧化物等,防止机体生物膜的不饱和脂肪酸被氧化产生脂质过氧化物,保护生物膜的结构与功能。缺乏维生素E时红细胞膜的不饱和脂肪酸被氧化破坏,容易发生溶血。临床上常用于防治心肌梗死、动脉硬化、巨幼红细胞贫血等。

2.与动物生殖功能有关 缺乏维生素E的动物可导致生殖器官受损而不育。雌性动物因胚胎和胎盘萎缩引起流产,雄性动物睾丸萎缩不产生精子。维生素E对人类生殖功能的影响尚不明确,至今未发现因维生素E缺乏导致的不育症,但临床上常用于防治先兆流产和习惯性流产。

3.促进血红素合成 维生素E能提高血红素合成过程中的关键酶δ-氨基-γ-酮戊酸(ALA)合酶和ALA脱水酶的活性,从而促进血红素的合成。新生儿缺乏维生素E可引起贫血,可能与血红蛋白合成减少及红细胞寿命缩短有关。

4.抗衰老作用 动物实验发现,在衰老组织的细胞内会出现色素颗粒,且随着年龄增长色素颗粒增加。这种颗粒是不饱和脂肪酸氧化生成的过氧化物与蛋白质结合的复合物,不易受酶分解或排出而在细胞内蓄积的结果。给予维生素E治疗后,既可以减少衰老细胞中的色素颗粒,还可以减轻性腺萎缩,改善皮肤弹性等。因此维生素E在抗衰老方面具有重要意义。

人类尚未发现维生素E缺乏症,与维生素A和维生素D不同,即使一次性服用高出常用剂量50倍的维生素E,也未发现中毒现象。

知识链接

维生素E的抗衰老及美容作用

近年来,维生素E多被用来抗衰老,这与维生素E能防止不饱和脂肪酸氧化有关。清除自由基的肌肤自然就健康。维生素E能中和自由基,将因日晒、污染、压力产生的自由基消除,保护肌肤组织,改善皮肤弹性,使肌肤不至于过早出现细纹、松弛的状况。还能促进皮肤微血管循环,脸色看起来自然红润有活力。因而,维生素E在抗衰老方面有重要的意义。

四、维生素K

(一)化学结构与性质

维生素K又叫凝血维生素,天然维生素K有维生素K 1 和维生素K 2 两种(图4-5)都是2-甲基-1,4-萘醌的衍生物;维生素K 3 、维生素K 4 是人工合成的,能溶于水,可口服及注射,已应用于临床。维生素K 1 是黄色油状物,维生素K 2 是淡黄色结晶,化学性质较稳定,不溶于水,能溶于醚等有机溶剂,耐热和酸,但易被紫外线和碱分解,故应保存在棕色瓶内。

图5-5 维生素K 1 和维生素K 2 的分子结构

(二)来源

维生素K分布较广,深绿色蔬菜及优酪乳是日常饮食中容易获得的维生素K补给品。维生素K 1 又叫绿醌,最初是从苜蓿中得到的,主要存在于深绿色蔬菜(如甘蓝、菠菜、莴苣、花椰菜等)和植物油中。动物性来源的维生素K 2 是从细菌和鱼粉中分离得到的,生理状况下由人体肠道正常菌群合成(占50%~60%),是人体维生素K的主要来源。

(三)生理功能与缺乏症

1.促进凝血因子从无活性到有活性的转化 凝血因子Ⅱ、Ⅶ、Ⅸ、Ⅹ在肝中初合成时是无活性的前体,这些无活性的前体需要在γ-谷氨酰羧化酶的催化下才能转变为活性形式,而维生素K是γ-谷氨酰羧化酶的辅酶,能促进这些凝血因子的合成而加速血液凝固,是目前常用的止血剂之一。

2.促进骨代谢及减少动脉硬化 骨中的骨钙蛋白和骨基质γ-羧基谷氨酸蛋白(骨Gla蛋白,骨钙素)都是维生素K依赖蛋白。研究表明,服用低剂量维生素K的妇女,其骨盐密度明显低于服用大剂量维生素K时的骨盐密度。此外,大剂量的维生素K可以降低动脉硬化的危险。

维生素K广泛分布于动植物组织中,体内肠道细菌也能合成,一般不易缺乏。由于维生素K不能通过胎盘,新生儿出生时肠道内又无细菌,故新生儿特别是早产儿有可能因维生素K缺乏而具有出血倾向,尤其是颅内出血,应当注意补充;胰腺疾病、肠道疾病、小肠黏膜萎缩、脂肪便、长期服用抗生素及肠道灭菌药均可能引起维生素K缺乏。维生素K缺乏时,可引起凝血因子合成障碍,导致凝血迟缓,易引起皮下、肌肉、胃肠道出血。 hm3gpnF1hxu/5cmPOUtNTmVKFpsDyfb2jtcMQXIyfmg+bfc4FAnrr0q3ao5XhTn+

点击中间区域
呼出菜单
上一章
目录
下一章
×