购买
下载掌阅APP,畅读海量书库
立即打开
畅读海量书库
扫码下载掌阅APP

第二节

蛋白质的分子结构

蛋白质是由许多氨基酸通过肽键连接形成的生物大分子。每种蛋白质都具有特定的生理功能和有序的三维空间结构。蛋白质的分子结构包括基本结构和空间结构,空间结构又称高级结构,包括二级、三级和四级结构等。基本结构又称一级结构,是蛋白质空间结构的基础。

一、蛋白质的基本结构

(一)肽键与肽

肽键是一个氨基酸的羧基和另一个氨基酸的氨基脱水缩合形成的化学键。

肽键具有特殊性质。C—N键长(0.132nm)介于单键(0.146nm)和双键(0.124nm)之间,具有部分双键的性质,不能自由旋转。肽键相连的三个键与键之间的夹角均为120°。因此,与肽键相连的6个原子(C α 、C、O、N、H、C α )始终处在同一平面上,构成刚性的“肽键平面”,或称肽单元(图2-1)。

氨基酸通过肽键相连形成的化合物称为肽。由2个氨基酸缩合形成二肽,3个氨基酸缩合形成三肽。一般10个以下氨基酸形成寡肽,由10个以上氨基酸形成多肽。

图2-1 肽平面示意图

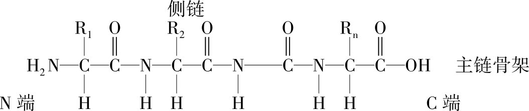
多个氨基酸通过肽键连接而形成的链状结构称为多肽链,多肽链中形成肽键的原子和 α -碳原子交替重复排列构成主链骨架,伸展在主链两侧的R基被称为侧链。多肽链有两端,有自由 α -氨基的一端称为氨基末端或N端;有自由 α -羧基的一端称为羧基末端或C端。肽链中的氨基酸因形成肽键而分子不完整被称为氨基酸残基。

体内存在着许多具有生物活性的低分子量寡肽和多肽,如谷胱甘肽、抗利尿激素、血管紧张素II、 β -内啡肽、催产素及表皮生长因子等。在代谢调节、神经传导等方面起着重要作用,统称为生物活性肽。

如谷胱甘肽(Glutathione,GSH)是由谷氨酸、半胱氨酸和甘氨酸组成的三肽。谷胱甘肽分子中的半胱氨酸的巯基(-SH)是主要功能基团,可清除氧化剂,保护体内含巯基的蛋白质和酶不被氧化。此外,GSH还具有嗜核特性,能与外源的致癌剂或药物结合,阻断这些化合物与DNA、RNA或蛋白质结合。结构式如下:

(二)蛋白质的基本结构

蛋白质的基本结构即一级结构是指多肽链中氨基酸残基的组成和排列顺序。蛋白质分子一级结构是由遗传密码决定的,是空间结构和生物学功能多样性的基础。维持一级结构稳定的主要化学键是肽键,二硫键(—S—S—)也参与一级结构的形成。1953年英国化学家F.Sanger完成了牛胰岛素一级结构的测定。胰岛素由51个氨基酸残基组成,分为A、B两条多肽链,A链含21个氨基酸残基,B链含30个氨基酸残基。A、B两条链通过两个二硫键相连,A链第6与第11位半胱氨酸形成一个链内二硫键(图2-2)。

图2-2 牛胰岛素一级结构示意图

二、蛋白质的空间结构

蛋白质的空间结构是指蛋白质分子中原子、基团在三维空间的相对位置,是决定蛋白质性质和功能的结构基础。

(一)蛋白质的二级结构

蛋白质的二级结构是指某一段肽链中主链骨架原子的相对空间位置,不涉及氨基酸残基侧链的构象。在蛋白质分子中,由于肽单元之间相对旋转的角度不同,构成了不同类型的二级结构,主要包括 α -螺旋、 β -折叠、 β -转角和无规卷曲等类型。

1. α -螺旋( α -helix) 肽单元以 α -碳原子为折点,绕其分子长轴顺时针旋转盘绕形成右手螺旋,螺旋一圈含3.6个氨基酸残基,螺距为0.54nm;螺旋之间每个肽键的羰基氧(C═O)与间隔第四个亚氨基的氢(N—H)形成氢键来维持二级结构的稳定性,氢键方向与 α -螺旋长轴基本平行;氨基酸残基的R侧链伸向螺旋外侧(图2-3)。

图2-3 α -螺旋结构示意图

2. β -折叠(β-pleated sheet) 肽单元以 α -碳原子为转折点,折叠成相对伸展的锯齿或折纸状结构,两平面之间的夹角为110°,R侧链交错伸向锯齿或折纸状结构的上下方;两段以上的 β -折叠结构平行排布,依赖肽键羰基上的氧(C═O)和亚氨基上的氢(N—H)形成氢键相连,氢键方向与肽链长轴垂直(图2-4);若两条肽链走向相同,即N端、C端方向一致称为顺向平行,反之称为反向平行。

图2-4 β -折叠结构示意图

3. β -转角( β -turn或 β -bend) 在球状蛋白质分子中,多肽链主链常会出现180°回折,回折部分称为 β -转角。β-转角通常由4个连续的氨基酸残基构成,第1个氨基酸残基的羰基氧与第4个氨基酸残基的亚氨基氢形成氢键,以维持该构象的稳定(图2-5)。 β -转角的第2个氨基酸残基常为脯氨酸。由于 β -转角可使多肽链走向发生改变,故常出现在球状蛋白质分子的表面。

图2-5 β -转角结构示意图

4.无规卷曲 无规卷曲是指各种蛋白质分子中没有任何规律可循的局部肽段的空间结构,是蛋白质分子中许多无规律的空间构象的总称。

5.超二级结构 超二级结构是两个或两个以上的二级结构在空间折叠中彼此靠近,相互作用形成有规则的二级结构的聚集体,具有特定的生物学功能,又称模体(Motif)。超二级结构有多种形式, α 螺旋组合( αα )、折叠组合( βββ )和 α 螺旋 β 折叠组合( βαβ )等。

(二)蛋白质的三级结构

蛋白质的三级结构(Tertiary structure)是指在二级结构的基础上,由于侧链R基团的相互作用,多肽链进一步卷曲、折叠所形成的三维空间结构,即整条多肽链所有原子的空间排布位置。由一条多肽链构成的蛋白质,只有具有三级结构才能发挥生物学活性。比如溶菌酶最复杂的结构是三级结构,有生物学活性。牛胰核糖核酸酶的三级结构由多个二级结构单元组成(图2-6)。

图2-6 牛胰核糖核酸酶的三级结构

蛋白质三级结构的形成与稳定主要依靠次级键。常见次级键包括疏水作用、离子键(盐键)、氢键、范德华力及肽链内二硫键等(图2-7)。疏水作用是维持蛋白质三级结构最主要的作用力,蛋白质分子含有许多疏水基团,如亮氨酸、异亮氨酸和缬氨酸等氨基酸的R侧链因疏水作用趋向分子内部,形成疏水区,而大多数氨基酸的极性R侧链则分布在分子表面,形成亲水区。有些球状蛋白质分子的亲水表面上常有一些疏水微区,在分子表面上形成内陷的“洞穴”或“裂缝”,某些辅基镶嵌其中,是蛋白质分子的活性部位。

图2-7 维持蛋白质空间构象的各种化学键

一条多肽链构成的蛋白质形成的最高空间结构就是三级结构。如肌红蛋白是由153个氨基酸残基构成的单链球状蛋白质,含有一个血红素辅基。分子量较大的蛋白质分子在形成三级结构时,由于多肽链上相邻的超二级结构紧密联系,进一步折叠形成一个或多个球状或纤维状的区域,折叠较为紧密,称为结构域(Domain)。结构域一般由100~200个氨基酸残基组成,具有独特的空间构象,承担不同的生物学功能。较小蛋白质的短肽链如果仅有1个结构域,则此蛋白质的结构域和三级结构即为同一结构层次。较大的蛋白质为多结构域,它们可能是相似的,也可能是完全不同的。例如,纤连蛋白含有6个结构域,且各司其职,分别可与纤维蛋白、肝素、细胞、胶原蛋白、肌动蛋白等配体结合。

(三)蛋白质的四级结构

由两条或两条以上的具有独立三级结构的多肽链相互作用,经非共价键连接成特定空间构象,即为蛋白质的四级结构。在四级结构中,每条具有独立三级结构的多肽链称为一个亚基。各亚基之间主要以离子键、疏水键、氢键等非共价键缔合成寡聚体。具有四级结构的蛋白质,亚基单独存在时不具有生物学活性,只有完整的四级结构寡聚体才有生物学功能。多亚基构成的蛋白质,亚基可以相同也可以不同。如血红蛋白就是含有两个 α 亚基和两个 β 亚基并按特定方式接触排布形成的具有四级结构的四聚体蛋白质。 α β 两种亚基的三级结构极为相似,每个亚基都结合一个血红素辅基。

蛋白质分子二级至四级结构关系见图2-8。

图2-8 蛋白分子二级至四级结构关系示意图 oNnLMqpkLvIGcLu0JfaMwMi/theUjnVs2iAia+5C5T3X+FBhf1HKECSURnhaZMXi

点击中间区域
呼出菜单
上一章
目录
下一章
×