



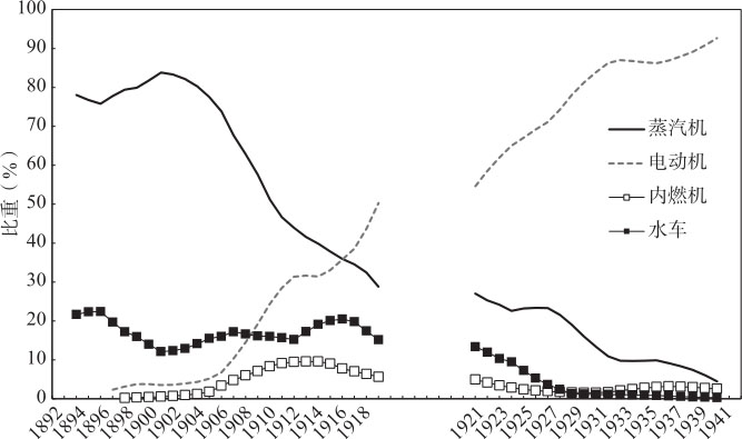
各种原动机马力数占全部动力马力数的比例变化在14个地区有4种类型,这些类型显示在图5-2、图5 3和图5-4中。首先,所谓第一次动力革命,即从水车到蒸汽机的转变,从水车和蒸汽机占全部马力数的比例可以观察到。全国平均虽然没有画在图中,但应该相当于图5-2和图5-4中间的水平,蒸汽机的比重在1900年之前持续上升,在世纪之交达到90%的水平,进入20世纪以后直到1940年都一直在下降。与蒸汽机的变动相对照,水车的份额在1900年前后逐渐下降之后,到1920年有一定程度的上升。从这种蒸汽机和水车的变化看,南亮进主张的第一次动力革命是成立的。
图5-2 按种类划分的原动机马力数的比重变化:北海道
资料来源:(日本)农商务省历年《农商务统计表》、商工省历年《工厂统计表》。
接下来看电动机马力数的比例(电化率),19世纪末差不多处于零的水平,而后开始快速上升,20世纪第二个十年中期超过蒸汽机继续上升,1930年以后几乎达到90%(见表5 3),这就是所谓第二次动力革命。进一步看图5 3,地区之间多少有些不同。首先,比较图5-3和图5-4,两 个类型地区的较大差异在于水车。图5-4的地区,水车是在世纪之交被代替的,并没有上升而处在较低的水平,因而第二阶段的动力革命(从蒸汽机到电动机)就比较顺利地实现了,这个地区在西日本占据压倒性多数。而图5-3中水车的比例较高,被蒸汽机替代的过程并不明确,世纪之交时蒸汽机多少占有优势,但后来水车反而有过增加的时期,或者说这个地区在日俄战争至20世纪第二个十年后期是水车和蒸汽机并存的时期。特别是日俄战争以后事实上还要加上电动机,形成三者并存。20世纪20年代以后电动机的优势越来越明显,缫丝业也开始衰退,第二次动力革命得以顺利展开。处于中间型的地区表现在图5-2中,这个地区的特点是:在第一次动力革命以及其后的时间里多少由于水车的影响出现了波动,但一般来说,两次动力革命都是比较顺利地展开的。
图5-3 按种类划分的原动机马力数的比重:北关东、东海
资料来源:(日本)农商务省历年《农商务统计表》、商工省历年《工厂统计表》。
按规模划分的电化率并没有显示在图中,从全国看,与前面观察的动力化率的形态有所不同。动力化率是大规模工厂更高,而电化率则是在不同规模工厂之间平均分布的,这主要源自电动机的特性,也就是电动机可以接近于无限的小型化,而蒸汽机则不可能做到这一点。小型化的优点在于可以安装在任何地点和针对任何不同要求的设备,这都是电动机的强大优势。
电化率的产业分布也没有画在图中,全国平均为24. 0%,1909 年金属(83. 3%)、机械(49. 0%)、印刷(42. 5%)、窑业(27. 6%)较高,1920年其他工业也加入其中,到了后期,产业之间的差距逐渐缩小。
图5-4 按种类划分的原动机马力数的比重:南关东、近畿
资料来源:(日本)农商务省历年《农商务统计表》、商工省历年《工厂统计表》。
上面讨论了工厂动力化以及电化过程的动力革命的地区性变动。从中可以看出,动力革命伴随着一定程度的地区差异逐渐展开,地区之间的差距也逐渐消除,也就是地区之间的差距随着动力革命而逐渐缩小了。那么,这是不是真实的情况呢?图5-5显示了地区之间的工厂数、原动机马力数、马力集约度、人均实际生产额的变异系数(其中原动机马力数和马力集约度是5年移动平均值)。只有工厂数是持续上升的,与此相对照的是,原动机马力数是持续下降的。马力集约度却显示出另外一种变动倾向:19世纪末开始快速上升,1910年前后达到顶点,之后开始急速下降,然后缓慢下降。人均实际生产额可以观察的时期较短,基本上是比较稳定的下降之后又上升的一种状态。工厂数整体上处于比较平稳的变动过程,1920年之前略有上升,但并不十分鲜明和快速,1920年以后出现急速上升趋势。与此相对照的是原动机马力数的变动,基本上是一路下降的。
图5-5 地区差距的变化:变异系数
资料来源:(日本)农商务省历年《农商务统计表》、商工省历年《工厂统计表》。
将这些变动结合起来看,可以做出如下判断:工厂数和原动机马力数的变动,1920年之前由于产业化和城市化并没有明显的进步,工厂的地区之间的差距较小。食品、缫丝、织布等工厂在各地都有发展。但是到了1920年以后,产业化和城市化都实现了较大进步,工厂开始向城市进军。城市的优势在于交通、信息、劳动力等方面的集中汇集,能够发挥更高效率。原动机马力数最初在大工厂使用,这个时期地区之间的差距较大。随着动力化的普及,特别是电化的效应,规模较小的工厂也可以安装电动机,进而地区之间的差距就逐渐缩小了。
马力集约度(这里作为资本密集度的代理变量)初期随着原动机的普及,地区之间的差距快速扩大,这时只有较大规模的工厂能安装原动机,因此地区之间的马力集约度的差距比较大,后来随着电化的进步,地区之间的差距开始缩小。人均生产额(这里是实际劳动生产率的替代变量)也基本上与其相似,由于电化的效应,在1920年以前地区之间的差距逐渐缩小。也就是地方的工厂由于原动机的使用和电力的采用,生产手段得到了改进(技术进步),因此劳动生产率提高了。然而由于城市的其他要素的作用,如交通、物流、信息等方面的优势,20世纪20年代以后又重新拉大了差距。
总的来说,动力化特别是电化具有缩小地区差距的作用,但是由于其他因素的作用,地区之间的差距不一定能够缩小。动力化的作用在20世纪第二个十年中期以后更加重要了,这主要在于电力这种新的技术的应用。值得补充的是,在经济发展的前期(这里指工业化时期),地区之间的差距 容易拉大,这是很多国家都可以观察到的现象。究其原因是,地区之间在地理位置、自然资源、人才积累、资金数量等方面都有差距,而这些差距在这个时期不容易被填平。经济再进一步发展之后,交通通信技术更加普及,教育和人力资源的供给更加平等,大城市的辐射效应也更加明显,地区之间的差距会逐渐缩小。这就是库兹涅茨所说的收入差距的倒U形假说。
最后观察一下,经过几十年的技术进步和发展,日本各地区的生产函数明显地出现了变化,这种变化的方向是从劳动密集型向资本密集型转变。图5-6显示了这种情况,整体上各地从1909年比较偏向于从横轴右下角向纵轴左上角移动。这个图是按照近似生产函数画的,横轴为实际劳动产出比率(也称“劳动系数”),纵轴是实际资本产出比率(也称“资本系数”),图形中的曲线理论上就是等产量线。一方面,等产量线表示,在相同要素投入量的情况下,越是接近原点就越节省成本(或投入),表示技术进步。另一方面,如果处在图中的右下角则表示劳动密集型,处在左上角则是资本密集型。图中的绝大多数地区在1909年处在右下角,而在1940年则移动到了左上角,这显示了技术类型的变化。
图5-6 地区的技术变化(1909年, 194 0年)
资料来源:商工省《工厂统计表》(1909年、1940年)。