购买
下载掌阅APP,畅读海量书库
立即打开
畅读海量书库
扫码下载掌阅APP

第二节

寻找绿色原料和试剂

在化学合成过程中,原材料的选择是至关重要的,它决定了目标分支应采用的反应类型、合成路径、加工工艺等诸多因素。初始原料一旦选定,许多后续方案既已确定,成为这个初始决定的必然结果。另外,初始原料的选择还决定了其在运输、储存和使用过程中可能对人类健康和环境造成的危害性。由此可见,初始原料的选择是绿色化学应考虑的重要因素,寻找可替代的且环境友好的原料是绿色化学的主要研究内容之一。

一、原料的绿色化学评价

原料在化学品合成中的地位非常重要,是影响一个化学品制造、加工与使用的最重要因素之一。如果合成化学品的原料对环境有负面影响,那么该化学品很可能对环境也有一定的负面效应。正是如此,当对一个化学品或合成过程进行绿色化学评定时,原料的评价是基本内容之一。

原料的绿色化学评价一般从以下几个方面进行。

(一)原料的起源

原料的起源是指原料是通过何种方式获得的,开采的、炼制的或合成的。这里要评价的一个问题是,原料的起源会带来什么样的后果。如果合成一个化学品的原料来源于一个没用的副产品,而这个副产品正好需要进行处理,那么作为原料来使用,就具有较好的环境友好性。相反,如果一个化学品来源于某一消耗有限自然资源的过程,或来源于一个可导致不可修复的环境破坏的过程,则该化学品作为原料使用可能导致严重的负面影响。

(二)原料的可再生性

绿色化学评价的另一问题是原料是否可再生。当然,只要给定足够长的时间,所有的物质均是可再生的。但进行绿色化学评价时可再生性是由时间尺度来确定的,这个时间概念一般指相对人类生命可接受的时间尺度。因此,常将石油以及其他基于化石燃料的原料看成是一次性资源,而将基于生物质和农作物残渣的原料看成是可再生的原材料。不容置疑的是,在进行原料分析时,其可获得性是十分重要的。一个日益枯竭的原料不仅具有环境方面的问题,还有经济上的弊端。这是由于一个逐渐枯竭的资源将不可避免地引起制造费用与购买价格的升高,因此,如果其他因素均一样,一个可持续获得的原料优于一个日益枯竭的原料。不可再生/可再生资源的类型如图3-1所示。

图3-1 不可再生/可再生资源的类型

(三)原料的危害性

绿色化学评价中,化学反应的每一步都要考虑是否可能对人类健康与环境产生内在的危害性。因此,在选择原料时,就必须考虑它是否对人、对环境无害,是否具有长期毒性、致癌性、发生意外事故的可能性,是否会破坏生态环境,是否具有其他不友好性质等。为了制造一个化学品,其原料的消耗量通常是很大的。若原材料对人类健康与环境有很大的危害性,其影响将存在于化学品的整个生产周期中。

(四)原料选择的下游影响

在一个化学品的制造中,如果所选择的原料要求使用一个毒性很大的试剂来完成合成路径中的下一步化学转换,则这种原料的选择不仅会对环境产生直接的影响,还会间接地引起对环境更大的负面影响。有时一个对环境无害的、可再生的原料,由于它的使用所产生的有毒下游物质,也可能对人类健康与环境造成极大的危害。因此,在进行绿色化学评价时,不仅要评价所涉及物质的本身,还应考虑其使用可能导致的影响与间接后果。

通过对原料的绿色化学评价,在选择原料时应尽量避免在化学工艺路线上的各个环节使用对人体和环境有害的材料或枯竭、稀有的原料,尽量采用可回收再生的、易于提取的、可循环使用的及环境可降解的原料。

二、绿色原料碳酸二甲酯的合成与应用

(一)概述

碳酸二甲酯(dimethyl carbonate,DMC)是一种常温下无毒无色、略带香味、透明的可燃液体。其分子式为C 3 H 6 O 3 ,结构式为CH 3 OCOOCH 3 ,相对分子质量为90.08,相对密度为1.073g/cm 3 ,常压沸点为90.2℃。碳酸二甲酯微溶于水,但能与水形成共沸物,可与醇、醚、酮等几乎所有的有机溶剂混溶;对金属无腐蚀性,可用铁桶盛装储存;微毒。其分子结构中含有羰基、甲基、甲氧基和羰基甲氧基,因此碳酸二甲酯的化学性质非常活泼,可与醇、酚、胺、肼、酯等发生化学反应,衍生出一系列重要的化工产品。其化学反应的副产物主要为甲醇和CO 2 。与光气、硫酸二甲酯等反应产生的副产物盐酸、硫酸盐或氯化物相比,碳酸二甲酯的副产物危害相对较小,1992年它在欧洲通过了非毒性化学品的注册登记,被称为“绿色化学品”。

以碳酸二甲酯为原料,还可以开发制备多种高附加值的精细化学品,在医药、农药、合成材料、染料、润滑剂、食品增香剂、电子化学品等领域广泛应用。另外,其非反应性用途如溶剂、溶媒及汽油添加剂等也正在或即将实用化。由此可见,以其作为绿色化工原料具有非常广阔的应用前景。

(二)碳酸二甲酯的合成方法

碳酸二甲酯的合成方法可分为三种,即光气法、甲醇氧化羰基化法和酯交换法。而后两种方法将成为未来碳酸二甲酯的主要生产方法。

1.光气法

光气法分为光气甲醇法和醇钠法。光气醇钠法是早期甲醇法的改进,反应式如下:

COCl 2 +2CH 3 OH+2NaOH→(CH 3 O) 2 CO+2NaCl+2H 2 O  (3-1)

光气法所用原料光气有剧毒,腐蚀设备、环境污染严重,生产安全性差,工艺流程、操作周期较长。从安全、经济和环保等多方面考虑,此法都不宜采用。

2.甲醇氧化羰基化法

羰基化法采用CH 3 OH、CO和O 2 为原料直接合成碳酸二甲酯,主要有液相法、气相法和常压非均相法三种。该法具有原料廉价易得、投资少、成本低、符合环保要求的特点,是各个国家重点研究和开发的新技术路线,也是目前碳酸二甲酯合成研发的主要方向。

(1)液相法

1979年意大利UgoRomano等人成功地研发了液相法制备碳酸二甲酯,并由Enichem Synthesis公司于1983年将该技术实现工业化。目前,ICI、Texaco和Dow等几大化学公司也在竞相开发此技术。其反应原理如下:

CO+2Cu(OCH 3 )Cl→(CH 3 O) 2 CO+2CuCl  (3-3)

该工艺过程反应温度为100~130℃,压力为2.0~3.0MPa,采用氯化亚铜为催化剂,在两台串联的带搅拌的反应器中分两步进行。甲醇既为反应物又为溶剂。采用氯苯作萃取剂,分离碳酸二甲酯与甲醇的混合物。

液相法单程收率30%左右,选择性按甲醇计近100%。缺点是选择性按CO计不稳定(最高时92.3%,最低时仅60%),主要原因是带搅拌的釜式反应器造成了CO对碳酸二甲酯的选择性为时间的减函数;二是物料(特别是氯)对设备管道腐蚀性大,催化剂寿命短。

(2)气相法

1986年美国Dow化学公司开发了甲醇气相氧化羰基化法制备碳酸二甲酯的技术。气相法的工艺原理与液相法相同,以CH 3 OH、CO和O 2 蒸气为原料,采用固定床反应器,温度为100~150℃,压力为2.0MPa,采用负载于活性炭上的氯化甲氧基酮/吡啶配合物为催化剂。气相法避免了液相法中催化剂对设备的腐蚀问题,催化剂易再生,工艺简单,产品易分离,但存在产品选择性差的问题,国内尚未工业化生产。

(3)常压非均相法

日本宇部兴产株式会社(UBE)在开发羰基合成草酸及草酸二甲酯的基础上,通过改进催化剂成功开发了新的碳酸二甲酯合成技术。其原理如下:

氧化反应 4NO+4CH 3 OH+O 2 →4CH 3 ONO+2H 2 O  (3-4)

该法以钯为催化剂,以亚硝酸甲酯为反应中间体,分两步进行。反应温度为110~130℃,压力为0.2~0.5MPa。此工艺中,产品纯度达99%以上,选择性按CO计为96%,具有设备费用低、安全性和稳定性高、催化剂寿命长、产品含氯量低、副产物少的特点。缺点是生成亚硝酸甲酯的反应是快速强放热反应,反应物的三个组分易发生爆炸,并使用有毒的氮氧化物。但总体说来,该技术有望成为合成碳酸二甲酯的主要工业生产方法。

3.酯交换法

(1)硫酸二甲酯(DMS)与碳酸钠酯交换法

该法采用DMS与碳酸钠反应,置换生成硫酸钠和碳酸二甲酯。反应式如下:

(CH 3 2 SO 4 +Na 2 CO 3 →(CH 3 O) 2 CO+Na 2 SO 4 (3-6)

由于原料DMS有剧毒,且产品收率低,该法并无工业化意义。

(2)碳酸丙烯酯(碳酸乙烯酯)与甲醇酯交换法

Texaco公司成功开发出以负载于含叔胺及季胺功能团树脂上的Ⅳ族硅酸盐为催化剂催化环氧乙烷、CO 2 和甲醇联产碳酸二甲酯和乙二醇的新工艺。反应分两步进行:第一步,CO 2 与环氧乙烷反应生成碳酸乙烯酯;第二步,碳酸乙烯酯与甲醇经酯基转移生成碳酸二甲酯和乙二醇。该工艺避免了环氧乙烷水解生成乙二醇,实现了甲醇高选择性地联产碳酸二甲酯和乙二醇。另外,还可利用环氧丙烷与CO 2 和甲醇联产碳酸二甲酯和丙二醇。但该法易受原料环氧乙烷/环氧丙烷和副产物乙二醇/丙二醇的价格影响,且仍需进一步提高该反应的转化率与产品分离纯度。

(三)碳酸二甲酯的应用

1.代替光气用于羰基化反应

在传统的化学生产中,很多有机化工品都采用光气做原料。2006年全球消耗光气量达800万吨,仅中国就消耗约6万吨以上。然而,光气具有剧烈的毒性,即使吸入微量也能使人、畜、禽致死。除此之外,用光气进行羰基化反应时还有大量HCl生成,对设备腐蚀严重,污染环境。使用碳酸二甲酯可避免上述问题,副产物仅是甲醇,而且它又是合成碳酸二甲酯的原料。因此,该工艺有望成为“零排放”的绿色化工过程。

(1)制备异氰酸酯

异氰酸酯是聚氨酯(polyurethane,PU)的原料。而聚氨酯作为新型合成材料,自1937年由Bayer公司开发出来后已成为世界六大具有发展前途的合成材料之一。2000年全世界PU消费量已达到870万吨,2015年达到9.6亿吨。

使用碳酸二甲酯与胺类化合物反应,生成氨基甲酸酯,再经热分解制得异氰酸酯,避免了剧毒物光气的使用且设备简单,安全无公害。合成路线如图3-2所示。另外,工业用途最大的甲苯二异氰酸酯(TDI)和4,4-二甲苯烷二异氰酸酯(MDI)等,也可用碳酸二甲酯为原料合成。

图3-2 异氰酸酯的合成路线

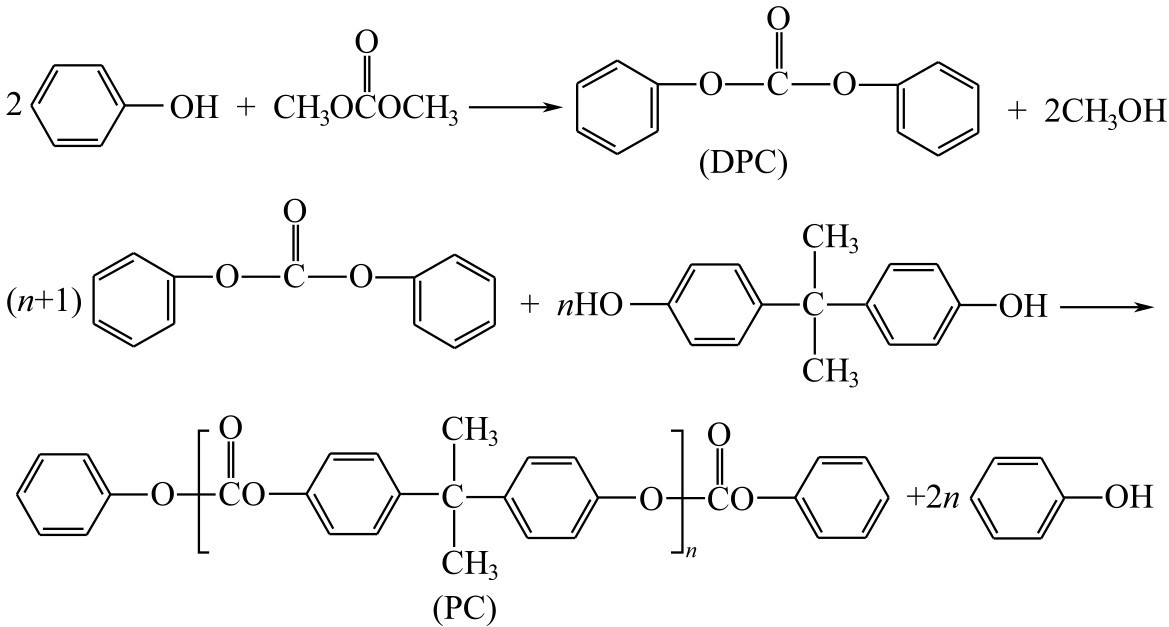
(2)制备聚碳酸酯

聚碳酸酯(PC)是一种热塑性树脂,具有良好的透明性、抗冲击性、延展性、耐热耐寒性等特点,广泛应用于电子、建筑、交通及光学等工业领域。它在塑料中的用量仅次于聚酰胺而位居第二,而近年来作为光盘的基材,其市场需求量仍在不断猛增。

工业化的PC生产通常以双酚A和光气为原料在水溶液中合成,并加入二氯甲烷作溶剂进行产物的提纯。而新的合成工艺先使用碳酸二甲酯与苯酚进行酯交换生产碳酸二苯酯(DPC),然后由DPC与双酚A在熔融状态下生成聚碳酸酯。这一生产过程不需要使用有毒溶剂,产生的甲醇和苯酚可循环使用,因此可构成原料的封闭循环,没有废物排放到环境中,实现了生产工艺过程的绿色化。反应过程如图3-3所示:

图3-3 聚碳酸酯的合成路线

2.碳酸二甲酯用作甲基化试剂

硫酸二甲酯和卤代甲烷是常用的甲基化试剂,但由于其具有毒性和腐蚀性,且在反应中使用大量的碱,使得产物难以分离。采用碳酸二甲酯作为甲基化试剂的工艺则避免了生产过程中的危险、设备腐蚀以及环境污染问题。

(1)制备苯甲醚

苯甲醚又称茴香醚,是一种重要的工业化学品,可用作染料、香料、农药和驱虫剂。经典的制备方法是以酚和硫酸二甲酯为原料来进行生产,但硫酸二甲酯的毒性大,副产物多,后处理困难且产品质量差。使用碳酸二甲酯为原料不仅可以提高产率,避免污染,还可以得到高纯度和高质量的苯甲醚,反应式为:

(2)C-甲基化反应

以卤代甲烷和硫酸二甲酯作为甲基化试剂时,活泼的亚甲基化合物容易发生多烷基化反应。而采用碳酸二甲酯作甲基化试剂可选择性地使活泼的含亚甲基的化合物进行甲基化反应。

例如,苯乙腈用碳酸二甲酯作甲基化试剂,在180~220℃有碳酸钾存在下进行甲基化反应,以99%以上的高选择性生成2-苯基丙腈。此反应可在连续流动反应器或间歇式反应器中进行,反应过程中没有无机盐生成,生成的甲醇可用于合成碳酸二甲酯,二氧化碳也可收集后用于苯胺碳化合成异氰酸酯,因此基本无废物排放,绿色环保性好。反应式如下:

除上述用途外,碳酸二甲酯还具有优良的溶解性能,它不但能与醇、酮等有机溶剂混合,还可作为低毒溶剂用作涂料溶剂和医药行业的溶媒,以及石油馏分的脱沥青、脱金属溶剂。碳酸二甲酯与水也有一定的互溶度,既没有毒性,也易分离,还可作为汽油添加剂,以提高汽油的辛烷值并抑制CO和烃类的排放。此外,以碳酸二甲酯和正己烷组成的混合溶剂作为萃取剂处理含酚废水的新工艺也已取得一定成效。碳酸二甲酯的性能决定了它未来可全面取代某些高污染剧毒的化学品,成为广泛使用的化工原料。

三、二氧化碳的利用

二氧化碳在自然界中分布很广,主要存在于大气及水中,是地球蕴藏的极为丰富的碳资源。据估计,地球上二氧化碳的含碳量是煤、石油和天然气含碳量的十倍,可达10 14 t;另外,二氧化碳的潜在资源碳酸盐在自然界的分布极广,其含碳量更高,约10 16 t。据测算,全世界每年向大气中排放的二氧化碳总量近290亿吨,但目前并未形成良性循环,约一半存留于大气中,而总利用量仅为1亿吨。二氧化碳的大量排放不仅浪费资源,而且污染环境,造成全球性的温室效应。因此,开发二氧化碳的循环利用技术以及将二氧化碳这种廉价无毒的资源作为合成原料的研究,对于碳资源的充分利用,环境保护,推动可持续发展战略具有相当重大的意义。下面将简要介绍一些以二氧化碳作为原料的例子。

1.制备甲醇

二氧化碳催化加氢可生成甲醇:

CO 2 +3H 2 →CH 3 OH+H 2 H 298 =-49.57kJ/mol  (3-9)

这是一个放热反应,随着温度升高、目标物产率下降,因此需要选用低温下能够促进加氢反应的催化剂如过渡金属、贵金属等。反应同时还会生成副产物CO和甲烷,因此在选用催化剂时需考虑甲醇的选择性。

2.制备合成气

二氧化碳与甲烷反应可用来生成富含CO的合成气,既可解决常用天然气蒸气转化法制备合成气在许多场合下氢气过剩的问题,又可实现二氧化碳的减排。其反应方程式如下:

CO 2 +CH 4 →2CO+2H 2 Δ H 298 =247kJ/mol  (3-10)

该反应利用新开发的NiO-CuO催化剂进行反应,催化剂结炭少,甲烷转化率(98%~99%)和CO、氢气的选择性(均为100%)都较高。这项研究也为开辟能源革命带来了巨大的生机。

3.制备环碳酸酯

环碳酸酯是一种很重要的化学中间体,在工业上还可用做有机溶剂。通过催化作用把二氧化碳加成到环氧化合物的C—C键中,通常需要很高的温度和压力。Ji Dongfeng等人采用PcAlCl和Lewis碱(如三丁基胺)作为催化剂成功制备了环碳酸酯,实验结果表明:这些催化剂对空气、水不是很敏感,它们经过几个循环后活性也不降低,稳定性好;环碳酸酯的产率很高。因此,这是利用二氧化碳的很好途径。其反应式如下:

4.制备碳酸二甲酯

二氧化碳与甲醇直接合成碳酸二甲酯在合成化学、碳资源利用和环境保护方面都有重大意义。其反应式如下:

2CH 3 OH+CO 2 →(CH 3 O) 2 CO+H 2 O  (3-12)

实验结果表明,碳酸二甲酯的产率随反应温度升高而增大,但当温度超过180℃时,因碳酸二甲酯会分解,其产率会下降。该工艺虽然二氧化碳转化率较低(约30%),但产品选择性很高(达到99%)。由于二氧化碳可回收利用,其原料利用率仍较高。此外,该工艺还具有操作方便、无二次污染和成本低廉的优点,有较大的实际应用价值。

四、生物质资源的利用

生物质资源的利用是指将组成植物体的淀粉、纤维素、半纤维素、木质素等大分子物质转化为葡萄糖等小分子物质,进而生产各种化学品、燃料和生物基材料等。目前以生物质资源为原料生产的化学品数量还不足化学品年产量的2%,应大力开发生物质资源的利用技术。下面以几个取得进展的典型工艺为例,介绍生物质资源的利用。

1.制备乙醇

乙醇是重要的化工原料,可用作溶剂、化工原料、燃料及防腐剂等。古代用粮食发酵酿酒来制备乙醇。现代化学工业一般以石油裂解所得的乙烯为原料,应用水合法制取乙醇。20世纪70年代以来,以燃料乙醇(一般是指体积浓度达到99.5%以上的无水乙醇)为代表性产品的生物燃料工业飞速发展,特别是以甘蔗、玉米为原料的第一代燃料乙醇产业已形成规模。预计到2030年,生物燃料乙醇产量将达到1.2×10 8 t,占燃料总用量的5%。然而以粮食为原料生产燃料乙醇,面临着“与人争粮,与粮争地”的矛盾和原料供应不稳定等问题。因此,目前已发展出利用木质纤维素类生物质为原料制备燃料乙醇的第二代生物质能源,称为生物乙醇。生物乙醇凭借其洁净、安全和环保等优点逐渐成为最具潜力的新能源,也是近年来生物质研究的重点。利用木质生物质生产乙醇不仅可以缓解粮食和能源供应紧张的局面,从根本解决燃料乙醇的生产原料问题,而且可减少温室气体的排放。

生物乙醇的制备原理是将生物质转化为可发酵的糖,利用微生物通过发酵过程将糖转化为乙醇,如图3-4所示。基本工艺可分为预处理、水解、发酵和纯化四个部分。目前,已开发了多种预处理方法,各具特色。水解过程是利用酸或酶水解聚合物,使之成为可溶性的单糖,而酶水解的转化率较高。发酵过程是对水解产物(五碳糖和六碳糖)进行发酵,获得乙醇。纯化处理则是通过蒸馏、过滤等手段,获得纯净的乙醇。但该工艺的缺点在于水解液中常含有对发酵微生物有害的组分,以及存在较高含量的五碳糖。因此,去除发酵抑制物和五碳糖的利用是目前生物乙醇工业化发展亟待解决的问题。

图3-4 纤维素制取乙醇工艺流程

2.制备己二酸

己二酸是重要的脂肪族二元羧酸,它有两个含 α -碳原子的活泼亚甲基,能与多官能团化合物进行缩合,所以具有极为广泛的应用价值,如生产尼龙66(Nylon66)、聚氨酯润滑剂及增塑剂的中间体等。目前世界范围内己二酸的年产量已超过190万吨。传统的己二酸制备方法是以苯为原料制备的,引发了许多环境和健康问题。苯是一种易挥发的有机物,在室温下容易汽化,长期少量吸入大气中的苯可导致白血病和癌症。此外,苯是由石油生产的产品,消耗的是不可再生资源。己二酸的制备路线如图3-5所示。

图3-5 苯制备己二酸路线

密执安州立大学的Draths和Frost提出了利用生物技术来生产己二酸的洁净路线。该路线在酵母菌的催化下先把D-葡萄糖转变为邻苯二酚,邻苯二酚进一步转化为顺,顺-己二烯二酸,最后在催化剂作用下,顺,顺-己二烯二酸被氢化为己二酸。其后,Du Pont公司还报道了以大肠杆菌为催化剂将D-葡萄糖转化为己二酸的生物法工艺。由于生物法采用可再生物质为原料,因此实现了绿色生产,但缺点是过程费用高,目前尚未实现大规模工业化生产。其制备路线如图3-6所示。

图3-6 葡萄糖制备己二酸路线

3.生产单细胞蛋白

纤维素质原料是自然界中存在量最大的一类可再生资源。由于这类资源含木质纤维素量高,含蛋白质量少,一般不易被动物消化吸收,长期以来大都被烧掉或还田。为了更加充分合理、有效地利用纤维素质资源,使其转化为营养价值较高的饲料,许多国家都致力于研究其加工处理的方法,其中利用该类原料生产单细胞蛋白已成为开辟蛋白质最有发展前景的途径。工艺流程如图3-7所示。

图3-7 纤维素质制单细胞蛋白工艺流程

该工艺共分4部分:原料预处理、菌种逐级扩大培养、双菌株混合发酵及产品后处理。

(1)原料预处理 纤维质原料被粉碎后,经高压蒸汽爆破处理,配以辅料,水润湿、拌匀后,蒸汽灭菌。

(2)菌种逐级扩大培养 纤维素分解菌和单细胞蛋白生产菌分别按各自培养条件进行三角瓶、饭盒种曲、曲盘种曲逐级扩大培养。

(3)双菌株混合发酵 将培养好的纤维素分解菌和单细胞蛋白生产菌先后接种在已灭菌并降温至35℃左右的物料上,进行双菌株固态通风发酵,以获得含有较高活性纤维素酶、淀粉酶、蛋白酶以及高蛋白质含量的发酵产物。

(4)产品后处理 发酵产物经低温干燥、粉碎、配料混合,即得单细胞蛋白产品。

高酶活单细胞蛋白是用生物技术生产的具有较高酶活性、高蛋白质含量和多种生物活性的新型饲料添加剂,具有明显提高畜禽体重、节省饲料消耗量、减少动物疾病等功效。

五、绿色氧化剂的利用

近年来,氧化反应的研究取得了显著性的发展。氧化反应既是最基本的化工技术之一,又是污染最严重的技术之一。现代化学工业产品结构的制造大部分以石油为原料,而石油烃分子几乎是完全不含氧的,因此通过氧化反应可以使这些产品转化成带有不同含氧基团的有机化合物,最后转化为可应用的化工产品。目前在使用的大多氧化剂都含有毒性物质,如卤素化合物及重金属锰、铬、汞等。这些物质被应用于数十亿吨的石化产品的氧化,导致大量金属残留物和有毒物质排放至环境。为了解决氧化过程给环境带来的恶劣影响,发展绿色氧化技术十分重要。下面简单介绍几种绿色氧化剂。

1.空气/氧气

绿色氧化过程要求氧化剂在参与反应后不应有氧化剂分解的有害物残留,因此O 2 作为最廉价、清洁的氧源自然是最好的氧化剂。

利用空气/氧气作为绿色氧化剂,华南理工大学的纪红兵等人开发了一个常温下即可活化空气的催化剂,即通过设计Mn-Fe-Cu-Ru氧化物体系,构筑钌的高活性位,可在常温下实现对空气的活化,具有氧化各类液相醇的氧化性能。其反应式如下:

Sun等人研究了用乙酰丙酮镍(Ⅱ)作催化剂,氧气作氧化剂,于常压下将苯甲醛氧化为苯甲酸;用高氯酸铜作催化剂,在六氟磷酸吡啶盐离子液体中,在室温条件下将一些芳香烃、烯烃和烷烃取代的伯醇用氧气氧化为醛。

2.臭氧

臭氧(O 3 )是构成地球大气层数十种气体中的一种痕量气体,总含量还不到地球大气分子数的百万分之一。它有很高的能量,极不稳定,在常温常压下自行分解为氧(O 2 )和单个氧原子(O),后者具有很强的活性。

臭氧由于其氧化性强、选择性好、反应速率快、反应后无残留等优点,而广泛应用于有机化工、制药工业等方面。例如,臭氧氧化烷烃反应,锰置换的多元多金属含氧簇合物可在温和的条件下活化臭氧,进行各类烷烃的氧化,典型的反应式如下:

使用氧气、臭氧等分子氧作为氧化剂不产生“三废”污染等环境问题,但仍有许多不足之处。分子氧的动力学惰性使分子氧的催化活化过程难以控制,表现在:有些氧化剂的氧化性不高,如氧气;有些氧化性能不易控制,如臭氧;有些尚需特别的反应条件。因此,如何高效、高选择性地实现氧化反应,是研究和开发分子氧氧化技术的关键问题。

3.过氧化氢

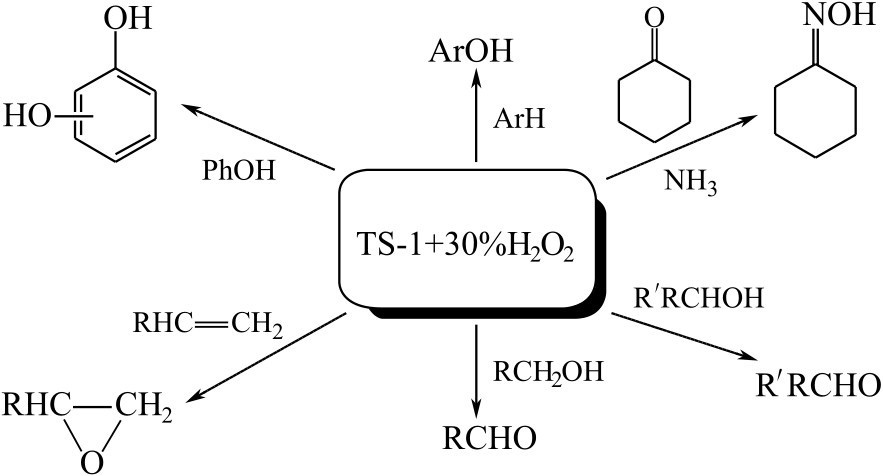
过氧化氢(H 2 O 2 )又叫双氧水,无色、无味、透明无毒,是一种强氧化性物质。其参与氧化反应后产生的副产物为水,对环境无影响,因此被称为“最清洁”的化工产品,广泛应用于化工、医药、食品、电子、环保等领域。又由于过氧化氢中活性氧含量高,在某些催化剂作用下,可进行选择性很高的定向氧化反应,所以它在绿色氧化中,是对分子氧作为氧化剂的一个重要补充。

过氧化氢作为氧化剂用于有机反应通常需要催化剂,如在TS-1钛硅分子筛催化剂的作用下,它可参与有机物的环氧化、羟基化、酮化、肟化(氨氧化)等反应,其氧化过程具有选择性高、无污染且不会深度氧化的优点。在替代原有工艺上表现出越来越大的优越性,其中苯酚羟基化制苯二酚和环己酮氨氧化制环己酮肟已实现工业化生产。

TS-1钛硅分子筛催化的主要过氧化氢氧化反应如图3-8所示。

图3-8 TS-1钛硅分子筛催化过氧化氢氧化反应

研究者发现,有些反应不需要使用催化剂,过氧化氢就能完成反应物的有效氧化。例如,Wahlenn等人以苯酚作为溶剂,利用苯酚与过氧化氢和烯烃双键的独特活化性能,高效完成了各类烯烃的环氧化过程,其反应式如下:

4.高铁酸盐

高铁酸盐是铁的+6价化合物,其有效成分是高铁酸根 ,具有很强的氧化性。高铁酸盐用作选择性氧化剂,相对于常见的MnO 2 、KMnO 4 、CrO 3 、K 2 CrO 4 、K 2 Cr 2 O 7 等氧化剂而言,由于其副产物铁锈不会对人和环境有任何不良影响,因此它是一种高选择性、高活性、无毒、无污染、无刺激性的绿色有机合成氧化剂。它可以选择性地氧化醇类、含氮化合物、含硫化合物甚至烃类等大部分有机物,且反应条件温和。因此,高铁酸盐在有机物的氧化合成方面具有十分重要的应用价值。

早在1897年,Moeser就观察到K 2 FeO 4 溶液能在室温下氧化氨。1971年,Audette等人在报道了在水、二甲亚砜、二甘醇二甲醚或它们的混合溶剂中用K 2 FeO 4 可氧化伯醇和伯胺来制备相应的醛或酮,其选择性和产率均很高。但高铁酸盐作为有机物选择性氧化剂的最大问题是高铁酸盐在许多有机溶剂中都是不溶或难溶的。为了解决高铁酸盐的溶解度问题,Kim等人使用相转移催化剂拓展了其应用范围。如使用固体复合物K 2 FeO 4 Al 2 O 3 CuSO 4 ·5H 2 O选择性地将丙烯醇、苄醇和仲醇氧化成相应的醛和酮,得到了较好的效果,产率大多可达到95%以上。2000年,ChiMingHo等报道了室温下少量金属氯化物存在时BaFeO 4 氧化烷烃的效果,根据金属氯化物的不同,烷烃的氧化速率依次为:AlCl 3 >FeCl 3 >MgCl 2 >LiCl>ZnCl 2

从环保角度看,高铁酸盐的用途是引人注目的,随着对其性质的进一步认识和制备工艺的成熟,其在有机物的氧化合成方面的应用范围将不断拓宽,会受到越来越多研究者的关注。而高铁酸盐氧化反应中催化剂的制备和选取、反应溶剂的选择、反应条件的控制等是该领域研究的重点。

5.有机高价碘试剂

有机高价碘化合物具有易制备、无毒、无污染及良好的化学反应活性而受到人们的广泛关注。在各种类型的有机高价碘试剂中,最早研究并合成应用的是有机高价碘盐,主要包括二芳基碘盐、炔芳基碘盐和烯基芳基碘盐,可用通式ArRI + X - 表示。在有机合成中高价碘盐多用作亲电芳基化试剂,与各种亲核试剂反应。由于它们在反应中离去了一个ArI,所以其反应活性比相应的卤化物高得多,为合成有机化合物提供了许多简便方法。

6.固载氧化剂

通过将传统的氧化剂负载于载体上,可将原来的铬(+6价)、锰(+7价)等难以控制的廉价试剂,改善为选择性好、可控的氧化剂。而且有利于反应后氧化剂的回收和分离,实现了氧化剂的再生,减少或消除了传统计量氧化反应给环境带来的危害性。例如,将铬酸钾与铵盐配位,制成配体铬氧化剂,再将配体铬氧化剂负载到二氧化硅、氧化铝等无机载体上,可以得到结构稳定的负载的配体铬氧化剂。该氧化剂可在温和的条件下对醇、醚、肟和半卡巴腙等有机化合物进行氧化,选择性好,产物分离简单。而且使用后的氧化剂可以很容易地转化成其他有用物质,解决了氧化剂的分离和回收问题。这些工作也为解决铬污染提供了一条更好的思路和方法。再如,将高锰酸钾固定在碳纳米管上,所制得的氧化剂远比高锰酸钾温和,在使用该固载氧化剂参与氧化反应时,反应物上较容易引入羟基、羰基或羧酸等基团。

此外,氧化剂之间的组合及在反应过程中原位生成的氧化剂也是重要的绿色氧化剂。特别是氧化反应用于废液处理过程时,臭氧与氧气或空气组合,可以使废液被处理得更有效、更有层次。而原位生成的过氧化氢也可应用到氧化过程,实现反应之间的组装及耦合,大大减少运输和储存过程中的过氧化氢分解。 gO4Gwxy6Tx9W6Ew15Hj1QcAHN2TsI/VhX3g1EN5RipW2y7TBSTfOUPZNDj7rxxul

点击中间区域
呼出菜单
上一章
目录
下一章
×