购买
下载掌阅APP,畅读海量书库
立即打开
畅读海量书库
扫码下载掌阅APP

第一节

设计更安全的化学品

随着环保知识的不断累积,人们逐渐意识到要真正减少废物对人类健康与环境的影响,最好的方法是利用化学来预防污染,不让污染产生,而不是处理已有的污染。要想从源头上消除污染,首先必须要保证所需化学品——目标分子是完全有效的。因此,绿色化学的一大关键任务就是设计安全有效的目标分子或设计比被替代分子更安全有效的分子。

目前,世界上化合物的数量已超过2000万个,且每年仍以约60万个的速度增加。要合成满足人们需要的化学品,传统的化学方法是先合成,在检验其性质,若不符合要求则另行合成。这样,不仅增大了合成工作量,花费巨大,还会对资源和环境造成不利影响。随着计算机和计算技术的飞速发展,对分子结构与性能关系的研究不断深入,分子设计和分子模拟研究已经引起了研究者们的广泛关注,“实验台+通风橱+计算机”三位一体的新化学实验室已经普及,安全有效的化学品设计将会得到更快、更大的发展。

目前,应用绿色化学的基本原理,人们已设计和合成了许多安全化学品。

一、用甲苯代替苯

苯(benzene)是石油化工中一种常见的基本原料与反应溶剂。它的产量和生产技术水平是衡量一个国家石油化工发展水平的重要标志之一。但苯会在人体肝脏中发生一系列氧化反应,产生高亲电性的代谢产物,如 E -粘糠醛,有着较高的毒性和致癌性,容易引起肝中毒,甚至白血病。

当用一个甲基取代苯环上的氢原子后所得的甲苯的毒性则小得多。因为甲苯氧化后生成苯甲酸,而苯甲酸不会再进一步被氧化为亲电的代谢产物,因而毒性较低。在许多情况下,甲苯和苯的性质相似,可用甲苯代替苯,减少苯对人体健康和环境的危害。

二、更安全羧酸的设计

羧酸(carboxylicacid)是一类重要的有机酸,同时也是应用很广的一类化工原料。低级脂肪酸可用于制造人造纤维、香精、塑料、药物,高级脂肪酸则是油脂工业的基础。很多常用羧酸有一定的药效,如医药上常用2-丙基戊酸作为抗惊厥药物。但同时许多羧酸也具有不同程度的毒性,包括引起肝中毒、畸胎作用等。在临床试验中发现,羧酸可对胎儿的生长过程或婴儿的生产过程产生不良影响。它可引发婴儿畸形、生长不正常、神经系统发育迟缓、目盲耳聋、功能不健全等,甚至死亡。毒物学研究表明,羧酸的畸胎作用与其结构关系密切,对于通式如下所示的羧酸:

当2位C上全为H原子(无取代基)或全为取代基(无H原子)时均较为安全,而2位C与3位C或3位C与4位C之间有双键时,羧酸也较为安全。例如,乙酸(CH 3 COOH)是无毒的,但氟代乙酸(FCH 2 COOH)却毒性很大,其半致死量( LD 50 )为25mg/kg。因此,在设计羧酸物质时,应考虑其结构对毒性的影响,在可能的情况下,把其危害性降到最低。

三、可降解的海洋船舶防污剂

船底污垢(marine fouling organisms)是附着生长于船底表面上的动物和植物,如海藻和贝壳之类。这些物质的存在会增加船舶的航行阻力,因此又常被称为海洋污垢。这些海洋污垢虽然看起来并无害处,但会使船速大大减慢,据测算,船底污垢每增加1mm,船舶的航行阻力就会增加大约80%,燃料消耗增加,同时也增加了船的服务和清洁处理费用,延长晒干船坞的时间。全世界每年由此所造成的经济损失更是难以估算。

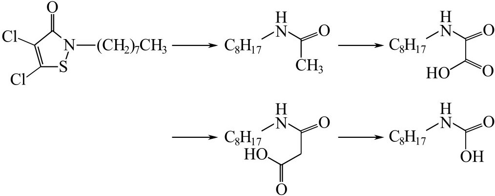
为了抑制船体污垢的生成,常采用的方法是在船壳上使用含有机锡化合物的防污剂。这类化合物虽然具有很好的防污效果,但是它会产生广泛的环境问题,对不结垢的水生物种如淡菜、蛤等有极大的毒性,能使海洋动物慢性中毒,降低海洋生物的再生能力。除此之外,它们在环境中不易降解,可以通过生物富集作用危害海洋生态环境,甚至人类健康。目前,全世界均已放弃使用。基于对新的船体防污涂料的需要,Rohm&Haas公司开发出一种可降解的新型防污剂——4,5-二氯-2-正辛基-4-异噻唑啉-3酮,称为“海洋9号(Sea-Nine TM )”,其结构式如下所示:

经实海测验,该物质的防污性能优良且毒副作用小。而且由于它在海水中降解速率很快(在海水中半衰期为1d,在沉积物中仅需1h),不会产生累积效应,没有长期毒性,是真正环境友好型的防污涂料。其降解途径如下所示: HwPMozsq3zu1DBr3VmtrlBNOd2KCz/cskpX1wNhD7fYt2M94U/M5n6vRm0n1T9zj

点击中间区域
呼出菜单
上一章
目录
下一章
×