购买
下载掌阅APP,畅读海量书库
立即打开
畅读海量书库
扫码下载掌阅APP

第二节

绿色化学十二原则

绿色化学是利用化学的原理、技术和方法从源头上消除对人类健康、社区安全、生态环境有害的原料、催化剂、溶剂、反应产物和副产物等的使用和产生。其基本思想在于不使用有毒、有害物质,不产生废物,是一门从源头上防止污染的绿色与可持续发展的化学。绿色化学是化学的新发展,根据绿色化学遵循的不断完善的基本原则,以保护人类健康和环境为目的,来实现环境、经济和社会的和谐发展。为了评价一个化工产品、一个单元操作或一个化工过程是否符合绿色化学目标,P.T.Anastas和J.C.Warner首先于1998年提出了著名的绿色化学十二原则。

一、防止污染产生优于污染治理

防止污染产生优于污染治理是指防止废物产生优于其生成后再进行处理。

(一)末端治理与污染防治

目前,化学工业的绝大多数工艺是在20世纪前期开发的,当时的生产成本主要包括原材料、能耗和劳动力的费用。早期对环境污染采取的是末端治理方式。末端治理是指在工业污染物产生以后实施物理、化学、生物方法治理,其着眼点是在企业层次上对生成的污染物的治理。末端治理在一定程度上减缓了生产活动对环境的污染和生态破坏趋势,但是,随着工业的迅速发展,污染物排放量剧增,末端治理便表现出局限性。用于污染物处理及排放的费用会越来越高,这种传统的末端治理环保战略,将环境保护与经济发展割裂开来,已被证明不能保障经济的可持续发展。所以,从环保、经济和社会的要求来看,化学工业需要大力研究与开发从源头上减少和消除污染的绿色化学生产过程及工艺。

(二)污染防治的措施

绿色化学与环境治理是不同的概念。环境治理强调对已被污染的环境进行治理,使之恢复到被污染前的状况,而绿色化学则是强调从源头上阻止污染物生成的新策略,即污染预防,亦即没有污染物的使用、生成和排放,也就没有环境被污染的问题。要从根本上治理环境污染,实现人类可持续发展,就必须发展绿色化学技术,进行清洁生产,使用对环境友好的化学品,从源头上减少、甚至杜绝有害废物的产生。因此,防止污染优于污染治理。

实现人口与经济、社会、环境、资源的可持续发展为世界各国的基本国策。绿色化学是具有明确的社会需求和科学目标的交叉学科。从经济观点出发,它合理利用资源和能源,降低生产成本,符合经济可持续发展的要求;从环境观点出发,它从根本上解决生态环境日益恶化的问题,是生态可持续发展的关键。因此,只有通过绿色化学的途径,从科学研究着手发展环境友好的化学、化工技术,才能解决环境污染与可持续发展的矛盾,促进人与自然环境的协调与和谐发展。

二、原子经济性

原子经济性是指合成方法应具有“原子经济性”,即尽量使参加反应的原子都进入最终产物。

在整个20世纪,有机化学的课本中没有表现配平的方程式。所列的反应式很少或根本不涉及在一个合成转化过程中所产生的副产物或共生产物。传统上,常用产率来描述某一合成方法的有效性和效率,而前面已经探讨了产率并不能很好地反映一个反应的原子经济性。可以对常规反应的类型做一个总的评估,以决定每一类反应的内在的原子经济性。

(一)重排反应(rearrangement reaction)

重排反应是构成反应物分子的原子通过改变相互的位置、连接以及键的形成方式等,产生一个新分子的反应。一般是通过光、热及化学诱导等方式来控制的。这类反应的特点就是反应物分子中的所有原子经重新组合后均转移至产物分子中,无内在的废物产生。因此,重排反应是理想的原子经济性反应,原子利用率达100%。其反应通式:A→B。这类反应有许多,其中人名反应就有30多种,如Beckmann重排、Claisen重排、Fries重排、Wolf重排等。这些反应在染料合成和药物合成中都非常重要。如:

(二)加成反应(addition reaction)

加成反应是不饱和分子与其他分子相互加合生成新分子的反应,反应中同时发生不饱和π键的断裂和σ键的形成。根据进攻试剂的性质或π键的断裂和σ键形成方式的不同,加成反应可分为亲电加成、亲核加成、催化加氢及环加成等。由于加成反应是将反应物分子全部加成到另一反应物分子上,所有的原子都进入到产物中,因此原子利用率为100%,是原子经济性反应。其反应通式为:A+B→C。这类反应包括烯烃的加成、炔烃的加成、共轭二烯的加成、醛酮的亲核加成、不饱和羰基化合物的加成等。如:

(三)取代反应(substitution reaction)

取代反应是反应物分子中的原子或基团被其他分子的原子或基团取代的反应。根据键的断裂方式和取代基团的性质不同可分为三种基本类型:亲核取代、亲电取代和自由基取代反应。烷基化、芳基化、酰化、硫化及砷化反应等,均为取代反应。无论哪一种取代,其结果都是被取代基团作为废物被排放,因此取代反应不是原子经济性反应。其原子经济性程度视不同的试剂和产物而决定。其反应通式为:A—B+C—D→A—C+B—D。如丙酸乙酯与甲胺的取代反应:

由于部分原子未进入目标产物——丙酰甲胺而生成了副产物乙醇,其原子利用率仅为65.41%。

取代反应不仅不是原子经济性反应,而且在资源利用及环境污染方面均有一定的不足。但这并不意味着它绝对的不可取,如果一个取代反应在设计时精心考虑和选择离去基团,使其对环境无害,该反应也可以是方便和高效的。

(四)消除反应(elimination reaction)

消除反应是从有机化合物分子中相邻的两个碳原子上除去两个原子或基团,生成不饱和化合物的反应,包括脱氢、脱卤素、脱卤化氢、脱水、脱醇、脱羧、脱氨以及一些降解反应等。按照被消去原子或基团的位置可分为 α -消除、 β -消除、 γ -消除等。其反应通式为:

由于消除或降解反应必然会生成其他小分子副产物,所以消除反应与取代反应一样不是原子经济性反应。尤其是季铵碱热分解反应制备烯烃,其原子利用率仅为35.3%。例如:

(五)周环反应(pericyclic reaction)

周环反应是不经过活性中间体,只经过环过渡态的一类协同反应,即在反应过程中新键的生成与旧键的断裂是同时发生的。它包括电环化反应、环加成反应、 σ 迁移反应等。周环反应是分子前线轨道控制的合成反应,为合成化学家提供了多种多样的反应途径。D-A反应、1,3-偶极环加成反应等都是典型的成键周环反应。例如:

这些反应的通式可以表示为:

周环反应的正反应一般都是原子经济性反应,但其逆反应有时就需要把一个分子分解成两个分子,原子经济性降低。因此,逆反应往往不如正反应对环境友好。

(六)氧化还原反应(oxidation and reduction reaction)

在无机反应中把电子得失的反应称为氧化还原反应;而有机反应中,把加氧或去氢的反应称为氧化反应,而去氧或加氢的反应称为还原反应。例如:

可见,氧化还原反应副产物多,原子经济性差,是化学工业中污染环境最严重的反应之一,而且很难寻找到对环境无害的氧化剂。所以,在设计合成路线时应尽量避免氧化还原反应,减少废物的产生,这是绿色化学所要求的。

绿色化学的核心是实现原子经济性反应,但在目前的条件下,不可能将所有的化学反应的原子经济性提高到100%。因此,应不断寻找新的反应途径来提高合成反应过程的原子利用率,或对传统的化学反应进行改造,不断提高化学反应的选择性,达到提高原子利用率的目的。

三、无害化学合成

无害化学合成是指在合成中尽量不使用和不产生对人类健康和环境有毒、有害的物质。

绿色化学的基础是在合成化学品时,尽可能减少危险品的使用,将毒害降至最低限度或消除毒害。过去保护环境往往认为要限制化学和化学品,甚至要消除化学和化学品,现在绿色化学则将化学作为一个解决问题的方法,而不是仅仅作为问题看待。绿色化学认识到只有通过化学家的技术、知识,才能使现代科技的发展达到对人类健康、环境安全的地步。

(一)无毒、无害原料

在有机合成反应中,许多原料是有毒的,甚至是剧毒的,如光气、氰化物及硫酸二甲酯等。由于以其为原料来合成一些重要的化学品的生产工艺已经相当成熟,故一直沿用至今。但在使用这些原料的同时不可避免的会出现危害人体健康和造成严重环境污染的问题。在传统的化学合成反应中,人们只单纯地追求目标产物的产量及经济性,没有考虑如何避免有毒、有害物质的使用和产生。对于所使用和产生的有毒、有害物质只在工程上进行控制或者附加一些防护措施。这种模式一直隐藏着极大的危险,一旦防范失败或者在操作过程中有任何一点差错就会酿成难以想象的灾难。

因此,绿色化学要求在设计化学合成路线时,应遵循不使用也不产生有毒、有害物质这一基本思想,并在这一基本思想指导下选择原料、反应途径和相应的目标产物,尽量在化学工艺路线的各个环节上不出现有毒、有害物质。如果必须使用或者在使用过程中不可避免地要出现有害物质,也应通过系统控制使之不与人和其他环境接触,并最终消除,使毒害风险降至最低。

(二)改变合成路径

在化工生产中,原材料的选用是非常重要的,它决定了反应类型、加工工艺、原材料的储存和运输、合成效率,以及反应过程对环境、人类健康的影响等。由此可见,使用安全无毒、无害的物质代替有毒、有害的化工原料已刻不容缓。

例如,使用绿色化学品代替光气。光气的分子式为COCl 2 ,又称为碳酰氯,是一种重要的有机中间体和剧毒化工原料,主要用于生产异氰酸酯和聚碳酸酯。多年来人们一直在研究替代光气的低毒或无毒原料的新合成路线来生产异氰酸酯。

美国Monsanto公司开发了以伯胺、二氧化碳及有机碱为原料,先生成氨基甲酸酯阴离子,再用乙酸酐脱水得异氰酸酯和乙酸的技术。乙酸可再脱水而循环使用,整个过程基本上无废物排放。这种技术改变了原来用光气作原料的生产工艺,目前已顺利实现了工业化。

后来美国通用电气塑料公司和日本三井石化公司联合开发了以绿色试剂碳酸二甲酯为原料替代光气制造聚碳酸酯的技术。以碳酸二甲酯代替传统的光气与苯酚反应生成碳酸二苯酯,通过与双酚A的酯交换,再缩聚生成高分子聚碳酸酯,副产物甲醇可回收利用制造碳酸二甲酯。苯酚也可以循环使用,达到理想的零排放绿色合成。

(三)绿色化学合成

化工生产的原料大多来自石油、天然气、煤等不可再生资源,为实现化工生产中原材料的可持续发展战略,不仅需要在化工生产中使用无毒、无害的原材料,还要尽可能使用可再生资源或生物质资源。近年来,人们开发了许多以生物质等可再生资源为原料来合成化学品的新工艺。

例如,乙酰丙酸的合成。乙酰丙酸是生产许多重要化工产品(如四氢呋喃、丁二酸和双酚酸等)的关键中间体。传统合成方法是以乙醇、丙醇为原料经过多步合成而得。美国Biofine公司发展了一种将天然纤维素转化为乙酰丙酸的新技术,以天然纤维素(也可以是造纸废物、废木材、农业残留物)为原料,在200℃温度下、稀硫酸及催化剂的作用下,15min即可转化成乙酰丙酸。由于消除了副反应,乙酰丙酸产率高达70%~90%,同时副产物为甲酸和糠醛。

随着生物技术、生物催化及生物合成的发展进步,生物质原料已是一些化学合成过程的石油原料的替代品。生物质资源作为化工原材料,不但原料丰富易得,还可再生,生产过程无毒、无害,而且其产品也可能是对环境友好的。因此,以植物为主的生物质资源作为化工原材料是绿色化学合成研究的重点。

四、设计安全化学品

设计安全化学品是指设计具有高使用功效和低环境毒性的化学品。

(一)设计安全化学品的概念

1.设计安全化学品的定义

设计安全化学品是指运用构效关系和分子改造的手段来获得最佳的所需功能的分子,同时使化学品的毒性最低。因为化学品往往很难达到完全无毒或达到最强的功效,所以两个目标的权衡是设计安全化学品的关键。以此为依据,在对新化合物进行结构设计时,对已存在的有毒化学品进行结构修饰、重新设计也是化学家的研究内容。

早在20世纪80年代,设计安全化学品的观念就已经被提及。Ariens就曾提出药物化学家应从合成、分子毒理及药理三方面进行联合考虑,以便化学更好地为人类服务。但长久以来,化学家更多关注化学以及运用化学取代、分子改造来改善其物化性质使其达到期望的工业性能。设计安全化学品使化学家在设计时有了新的考虑角度,即发展和应用对人和环境无毒、无危险性的试剂、溶剂及其他实用化学品。

2.设计安全化学品所考虑的因素

通常设计化学品时希望其最好不能进入生物有机体,或者即使进入生物体,也不会对生物体的生化和生理过程产生不利的影响。然而考虑到形形色色、千差万别、复杂的、动态的生物有机体,实现这种期望面临着艰巨的挑战。化学家必须掌握设计安全化学品的知识,建立判别化学结构与生物效应的理论体系。他们必须能从分子水平避免不好的生物效应,同时还必须考虑化学品在环境中可能发生的结构变化及其在空气、水、土壤中的扩散以及潜在的危害。所以不仅要顾及化学品对生物的直接影响,还要警惕间接的、长远的影响,如酸雨、臭氧层破坏等。

(二)设计安全化学品的实施基础

要将安全化学品的设计在全球范围内进行实践,必须具备以下基本条件。

①提高设计安全化学品的意识。

②确定安全化学品的科技和经济可行性。

③对化学品的全面评价。

④注重毒理和化合物构效关系的研究。

⑤化学教育的改革。

⑥化学工业的参与。

传统化学往往注重检测化学品能否具有设计期望的性质,而对其起毒性作用的分子则难以辨别。现在通过物质在人体、环境中产生毒性的机理分析,化学家能在保持分子正常功能不变的条件下,对化合物结构进行修饰,减少其毒性。对毒性机理不清楚的化合物,可通过化学结构中某些官能团与毒性的关系,设计时可以尽量避免有毒基团,同时将有毒物质的生物利用率降至最低也是设计途径之一。当一个有毒物质不能到达目标器官,其毒性就无从体现。化学家可以通过改变分子物理化学性质如水溶性、极性,控制分子使其难以或不能被生物膜和组织吸收,消除其生物利用,毒性也随之降低。所以设计安全化学品是可行的。现在已经有很多成功的经验。例如将致癌的芳胺经分子修饰以利于排泄或阻止生物活化;将分子中的碳原子以硅原子替代来降低毒性;一些典型的有毒物质如DDT可以经重新设计,既保持原有功效,又能在生理条件下快速分解为无毒、易代谢排出的物质。在“美国总统绿色化学挑战奖”中就设有“设计安全化学品奖”。绿色化学的进步证明设计安全化学品是有效的,也是有益的。它需要公众的环保意识,化学家、毒理学家的合作,化学教育的支持和化工行业的实践。

五、采用安全的溶剂和助剂

采用安全的溶剂和助剂是指尽量不使用溶剂等辅助物质,必须使用时应选用无毒、无害的。

(一)常规溶剂和助剂的环境危害

在化学品的生产、加工、使用过程中,每一步都会用到辅助性物质。这些辅助性物质一般作为溶剂、萃取剂、分散剂、反应促进剂、清洗剂等。目前,使用量最大、最常见的溶剂主要有石油醚、芳香烃、醛、酮、卤代烃等。人类每年向大气排放这些挥发性有机溶剂超过2×10 7 t。这些挥发性有机溶剂在阳光照射下会发生化学反应,在地面附近形成光化学烟雾影响人类的健康,导致并加剧肺气肿、支气管炎等症状,甚至诱发癌症病变。此外,这些溶剂还会污染水体、毒害水生动物。

随着保护环境的呼声日益高涨,各国纷纷制定各种限制或减少挥发性有机溶剂排放的措施,以减轻对环境的危害。这要求化学家在进行化学品的制备和使用过程中必须考虑到尽可能不使用辅助性物质,如果必须使用也应是无害的。因此,研究开发无毒、无害的溶剂去取代易挥发的、有毒、有害的溶剂,是减少环境污染的一个有效途径。对于有毒、有害溶剂的替代品选择,有以下3点通用指导性原则。

(1)低危害性 由于溶剂用量很大,因此人们在使用溶剂时必须考虑安全性。选择溶剂时首先要考虑的是其爆炸性或可燃性,其次要考虑大量使用溶剂对人体健康及环境的影响。

(2)对人体健康无害 挥发性溶剂很容易通过呼吸进入人体,一些卤代试剂可能有致癌的作用,而其他有些试剂则可能对神经系统有毒害作用。

(3)环境友好 要考虑溶剂的使用可能会引起的区域性和全球性的环境问题。目前,代替传统溶剂的途径包括使用水溶液、超临界流体、高分子或固定化溶剂、离子液体、无溶剂系统及毒性小的有机溶剂等。

(二)超临界流体

超临界流体(supercritical fluid,SCF)是指处于临界温度和临界压力之上,介于气体和液体之间的一种特殊的流体,其密度接近于液体,而黏度接近于气体。这一流体具有可变性,其性质随着温度、压强的变化而变化。

处于超临界的流体具有许多特性:①密度(比气体约大3个数量级)和溶剂化能力接近液体,而黏度、扩散系数(比液体大100倍左右)等性质又接近气体;②在临界点附近,流体的物理化学性质(如密度、介电常数等)随温度、压力的变化十分敏感,即在不改变化学组成的条件下,可以用温度、压力调节流体的性质,在较宽的范围内改变流体的溶解能力;③超临界流体(如二氧化碳、水等)一般是无毒的,它们的大量使用有利于安全生产,而且来源丰富、价格低廉、便于推广使用。

由于超临界流体具有特殊的性质,因此它在萃取、色谱分离、重结晶、有机反应、微细颗粒和纤维的生产、喷料和涂料、催化过程以及超临界色谱等方面表现出特有的优越性,从而在化学化工中具有重要的实际应用价值。如二氧化碳在压力超过1.38MPa、温度为31.06℃就可达到临界点,超临界CO 2 流体以其适中的临界压力和温度、来源广泛、价廉无毒等诸多优点而得到广泛应用。它不仅被应用于有机合成,而且在分析化学等方面也得到应用。超临界二氧化碳作为溶剂主要有三种用途:一是作为抽提剂,用于食品、医药行业的香料和药用有效成分的提取;二是作为反应介质;三是作为化学品应用过程中的稀释剂。

(三)水

由于大多数有机化合物在水中的溶解性差,而且许多试剂在水中会分解,因此通常避免用水作反应介质。但以水作为反应溶剂具有丰富、价廉、无毒及不危害环境的独特优越性。另外,水溶剂特有的疏水效应对一些重要有机转化反应是十分有益的,有时可提高反应速率和选择性,且生命体内的化学反应大多是在水中进行的。目前超临界水作为反应溶剂在许多反应中也得到了很好的应用。

(四)固定化溶剂

溶剂具有危害性最主要的问题在于其挥发性。溶剂的易挥发不但对暴露的人有害,而且也会造成空气污染。因此,为了克服传统溶剂的危害,溶剂固定化是解决办法之一,它能够保持溶解性,而又不挥发。目前这方面的工作已有初步成效。研究者可以将溶剂分子束缚在某一固体载体上,或者直接将溶剂分子连在聚合物的主链上。另外,本身有良好的溶解性能且无害的新聚合物也可作为溶剂。

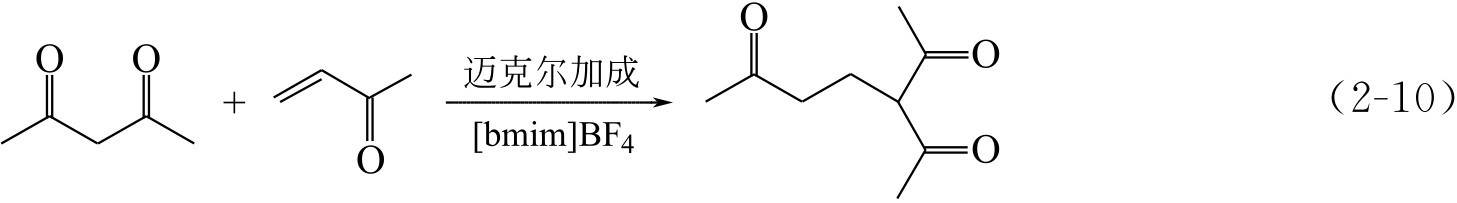
(五)离子液体

20世纪40年代,F.H.Hurley和T.P.Wiler在寻找一种温和条件电解Al 2 O 3 时,把 N -甲基吡啶加入AlCl 3 中,两固体的混合物在加热后变成了无色透明的液体,这便是最早的离子液体。离子液体的发现不仅给化学研究提供了一个全新的领域,还有望给面临污染、安全等问题的现代化学工业带来突破性的进展。随着绿色化学的兴起,离子液体的研究在全世界掀起了热潮。离子液体(ionic liquid)是指由有机阳离子和无机或有机阴离子构成的在室温附近温度下呈液态的盐类化合物。因其离子具有高度不对称性而难以紧密堆积,阻碍其结晶,因此熔点较低,常温下为液体,故又称为室温离子液体(room temperature ionic liquids)。形成离子液体的有机阳离子母体主要有四类:咪唑盐类、吡啶盐类、季铵盐类、季盐类。无机阴离子则主要有[AlCl 4 - 、[BF 4 - 、[PF 6 - 、[CF 3 SO 3 - 等。离子液体的关键特性是其性质可以通过适当地选择阴离子、阳离子及其取代基而改变,即可以按需要设计离子液体。

目前研究得较多的是由表2-2所示的两种阳离子和含氟阴离子构成的离子液体。

表2-2 离子液体的阴阳离子组成

与其他溶剂相比,离子液体具有如下特点。

①蒸气压很小,几乎探测不到,不挥发,并且制备简单、不燃烧、不爆炸、毒性低、溶解性能强,可较好地溶解多数有机物、无机物和金属配合物,与传统的有机溶剂相比更环保。

②可使用温度范围大(-96~300℃),较好的化学稳定性及较宽的电化学稳定电势窗口。

③通过阴、阳离子的设计可调节离子液体的极性、亲水性、黏度、密度、酸性以及溶解性等。

④许多离子液体本身还表现出Brönsted、Lewis、Franklin酸性及超强酸性。这就表明了它们不但可以作为溶剂使用,而且可以作为某些反应的催化剂,避免使用额外的可能有毒的催化剂或产生大量废物。

因此,离子液体不仅可作为许多有机化学反应,如烷基化、酰基化、加氢还原、选择性氧化、异构化、D-A反应、羰基化、酯化及聚合等反应的良好溶剂,而且还可作为分离工程中的气体吸收剂和萃取剂,电化学中的电解质及有机反应的催化剂,例如以离子液体催化丁烯的二聚在工艺上已实现大规模工业应用。近期,通过引入不同的官能团可实现对离子液体特定功能化的设计,如含质子酸的离子液体、含手性中心的离子液体和具有配体性质的离子液体等。

(六)无溶剂体系

传统的观点是认为化学反应需要在液态或溶液中才能进行,而由于大多数溶剂会污染环境及产品,因此要彻底解决此问题,最佳办法是完全不使用溶剂。目前已开发出几种途径来实现无溶剂反应,大致可分为三类:①反应物同时起溶剂作用的反应;②反应物在熔融态反应,以获得好的混合性及最佳的反应效果;③固体表面反应。特别是微波炉、超声波反应器出现后,无溶剂反应更容易进行。如Varma等利用微波与催化剂共同活化的方法,把醇类转化为羰基化合物,避免了有机试剂的使用。汪芳明等以取代的5-噻吩基-1,3-环己二酮和邻氨基胡椒醛为原料,在无溶剂条件下用微波辐射合成了一系列的3-噻吩基-6,7亚甲二氧基-1(2 H ,4 H )-吖啶酮衍生物,极大地提高了目标物的产率。无溶剂条件下进行的化学反应,能在源头上阻止污染物,具有节省能源、无爆炸性、产率高、工艺过程简单及某些反应还具有立体选择性等优点,因此成为合成化学工作者的研究热点。无溶剂反应体系已成功应用于烷基化反应、缩合反应、酯化反应、D-A反应、加成反应、重排反应、氧化还原反应、有机金属反应、聚合反应等。

但值得注意的是,无溶剂是指反应本身,而不论反应后的处理是否使用溶剂。若反应不是定量完成,仍有分离问题,又可能使用有毒有害的有机溶剂。又由于大多无溶剂固态反应系统无流动性,导致反应物接触概率不高,反应放出热量难以散失,大规模生产困难等均是研究工作者们亟待解决的问题。

总之,超临界二氧化碳、超临界水、离子液体等介质都是对环境友好绿色溶剂。而进一步扩大绿色溶剂的应用来取代传统的有毒有害的溶剂,发展高效、安全的绿色反应过程是目前乃至今后很长一段时间各国科学家的主要研究方向。

六、尽可能提高能源的经济性

尽可能提高能源的经济性是指生产过程应该在温和的温度和压力下进行,而且能耗应最低。

(一)化学工业中的能源使用

能量是人类赖以生存的重要物质基础,能量的存储和使用与经济发展、社会状况及生态环境直接相关。化学工业是工业部门中的第一耗能大户,约占世界总能耗的25%。化学反应或化学过程的每一步都涉及能量的转变和传递。化学原料的获取、化学反应的发生、反应速率的控制、反应产物的分离和纯化等各个环节均伴随着能量的产生和消耗。如要让一个反应进行到其热力学允许的程度,通常是通过加热来完成的,这是一个耗能过程;而若一个反应是强放热的,则需要冷却以移走热量来控制反应速率以避免反应失控导致严重的化学事故,冷却过程同样要消耗能量。因此,无论是加热还是冷却,均需花费一定经济成本和产生一定环境影响。

化学工业中最耗能源的过程之一是纯化和分离过程。纯化与分离通常可以通过精馏、萃取、重结晶、超滤来进行,都需要消耗大量能量以保证产物与杂质的分离。通过优化设计尽可能减少这些过程,进而减少能耗。目前,化学工业所使用的能量主要是以化石燃料为主,而化石燃料是一次性燃料,这显然不符合社会经济可持续发展的需要,因此,必须找到一种可持续使用能量的方法。

(二)新能源利用技术

除了使用热能、电能和光能三种传统的能量以外,还可以利用新的能量形式来促进化学反应的进行。

使用微波辐射技术可加快化学转化(常常是在固态下),在许多情况下,微波技术显示了极大的优势,即不需要通过持续加热来使反应进行,而且在固体状态下的微波反应避免了在有溶剂的反应中溶剂所需的额外的热量需求。在环境样品的有机氯化合物的检测中,微波协助萃取显示了其优越性。在微波条件下的萃取不需热能,萃取时间短,且萃取效果更完全。

超声波能对一些类型的转化反应(如环加成、周环反应等)起催化作用。利用这种技术,可以使反应物分子周边的反应条件充分改变以促进化学转化。

在使用以上技术时,环境可以得到改善,但是针对每一个具体反应,都应视其获得合成目标产物的效率而定。

(三)优化反应条件

在开发一个新工艺来合成某种化学品时,化学家往往只考虑优化反应工艺路线来提高反应物的转化率或目标物的产率,而忽略了能量因素的优化。绿色化学则要求综合考虑化学过程中物质和能量的产生、输送以及消耗的各个环节,通过对化学反应的设计、调整和优化,改变化学过程对能量的需求,在生态环境和经济效益许可的条件下,使化学反应过程的能耗降到最小,从而达到合理利用能源的目的。因此,化学家在设计反应过程和反应系统时,应尽可能考虑如何把能耗降到最低。

目前,人们除了从化学反应本身来消除环境污染、充分利用资源、减少能源消耗外,还可以通过化工过程强化,实现化工过程的高效、安全、环境友好及密集的生产。化工过程强化是指在生产和加工过程中运用新技术和新设备,最大限度地减小设备体积或者增大设备生产能力,显著地提高能量效率,大量地减少废物排放。化工过程强化方法包括将化学反应和分离操作集成在一个催化蒸馏多功能反应器中或多种分离操作集中在一个设备内完成组合分离等。化工过程强化充分利用能量,提高生产效率并显著降低能量消耗。

七、尽可能利用可再生资源来合成化学品

尽可能利用可再生资源来合成化学品是指尽量采用可再生的原料,特别是用生物质代替矿物燃料。

可再生资源是指在短时期内可以再生,或是可以循环使用的自然资源,又称可更新资源,主要包括生物资源(可再生)、土地资源、水资源、气候资源等。后三者是可以循环再现和不断更新的资源。

不可再生资源,也称不可更新资源或一次性资源,主要指自然界的各种矿物、岩石和化石燃料,例如泥炭、煤、石油、天然气、金属矿产、非金属矿产等。它生成于漫长的地质年代和一定的地质条件下,在人类历史时期,用完了就不可能再生,所以被认为是不可再生资源。

随着不可再生资源的短缺,开发可再生生物质资源来代替石油、煤、天然气等燃料显得非常重要。它可有效避免在不可再生的原料提供枯竭时,所造成的原料供求关系的变化及全球的经济压力和动荡。目前,用酒精代替汽油作为机动车燃料已得到极大的应用,并且可以取得长期和明显的环境效益。传统的以谷物为原料的发酵工艺,成本高,能耗大,酒精生产成本高,但以廉价的纤维素为原料,采用纤维素酶直接水解发酵生产酒精,可明显降低成本。

用生物质作为可再生资源来生产化学品的研究受到人们的普遍重视,也是保护环境和实现可持续发展的必然要求。然而,以生物质资源作为原料和能源材料也有其局限性。生物质原材料不能连续供应,当需要连续不断地提供这种原材料,但由于庄稼欠收等不能提供该材料时,可再生资源能在一个时间段内快速产生的优点就变成了缺点。

八、尽量减少衍生物生成

尽量减少衍生物生成是指尽量减少副产品。

有时为了使一个特别的反应发生,通常需要对反应分子进行修饰,使其衍生为需要的结构。控制和选择系统中的衍生作用、简化反应历程,这是绿色化学设计的基本要求。

(一)基团保护

基团保护是合成化学上常采用的技术之一,在要使分子的某一部位发生反应时,分子中的敏感部分也可能随之发生反应,而这一反应并不是人们希望的,就需要引入保护基团把活泼部分保护起来。比如典型的酚羟基保护,要使某分子的某部分发生氧化反应时,想保留的酚羟基也会被氧化,这时就需要使该羟基反应生成苯醚,然后再进行氧化反应。此时,醚键不会被氧化,氧化反应完成后,再使该醚键断裂,重新生成羟基,这种类型的反应在药物合成、杀虫剂合成、染料合成中均极为常见,不过,在生成苯醚和使苯醚键断裂均涉及产生苄氯,使用完后又变为废物。因此,这种暂时的修饰应尽量避免。

(二)成盐

有时为了便于操作,通常对化合物的性质如黏度、分散性、蒸气压、极化性、水溶性等进行暂时的改变。比如在制备羧酸时,经常在溶液中使其成盐析出,以进行纯化。而在最后步骤,又加入酸释放出无机盐,使其成为废物,造成对环境的危害。

(三)加上一个离去功能团

在进行合成设计时,化学家总是力图使每一反应都有很高的选择性。比如,某一分子中有多个反应位,在它参与反应时,我们总希望其反应仅在我们希望的位置发生。要达到这一目标,首先使该反应位衍生成对另一反应物更有吸引力的基团并易于离去。例如,常用卤素衍生物来进行亲核取代反应,卤素的存在使得该反应位更易于发生亲核取代反应,因为卤素的吸附性使该位置带更多的正电荷,同时,卤素又是很好的离去基团。不过,这一过程又会产生大量含卤素的废物。

九、尽量采用高选择性的催化剂

催化剂不仅能改变热力学上可能进行的反应的速率,还能有选择性地改变多种热力学上可能进行的副反应,选择性地生成所需目标产物,因此在实现化工工艺与技术的绿色化方面催化剂发挥着举足轻重的作用。高效无害催化剂的设计和使用成为绿色化学研究的重要内容,选择性对于催化剂和绿色程度的评价都尤为重要。选择性的提高可开辟化学新领域,减少能量消耗和废物生成量。目前有关绿色化学的研究中有许多例子是采用新型催化剂对原有化学反应过程进行绿色化改进的,如均相催化剂的高效性、固相催化剂的易回收和反复使用等。这类研究几乎无一例外地描述了催化剂对反应绿色化改进的程度,或减少了试剂的使用,或使反应条件更加温和,或使反应更加高效和高选择性,或催化剂可多次重复使用和回收等。

固体催化剂一直被普遍认为催化活性较均相催化剂低很多。通过在分子水平上构筑高活性、高选择性的固体催化剂,不仅可解决固体催化剂活性低的问题,还可以解决催化剂回收使用等问题,而且对资源的有效利用和环境保护起着积极的促进作用。酶催化剂与仿生催化剂由于在温和条件下的高效性和高度专一性往往是化学催化剂望尘莫及的,这方面的研究已引起了广泛的重视。

十、设计可降解的化学品

设计可降解的化学品是指化学品在使用完后应能够降解成无毒、无害的物质,并且能进入自然生态循环。

与环境中的化学品相关的一个重要问题即所谓“持久性化学品”或“持久性生物累积物”问题。当这些化学品被抛弃或排放到环境中后,会在环境中以原来的形式长期存在或被各种植物或动物种群吸收,并在它们的系统中累积。这一聚集对该生物物种有一定的危害。目前,人们在生产某一化学品时对这一问题考虑得很少,所以化学品的持久存在成为遗留已久的问题。其中最引公众注意的就是塑料和农药。塑料在出现时以其耐久的使用寿命而著称,但它的这一物化性质引起越来越多的海洋、土地和水生圈的环境问题。而大量的农药都是有机卤化合物,虽然这些药剂非常有效,但在它们的使用过程中会在许多种类的动物、植物中产生生物聚集,而且经常聚集在动物脂肪组织或脂肪细胞中,当被人食用时,也就造成对人的危害。所以在设计化学品时,能否降解必须作为其性能的评价标准之一。

因此,在设计化学品时必须注意当化学品功能用尽时,它们应该能降解为无毒害的物质或在环境中不能长期存在。目前关于可生物降解的塑料和杀虫剂的研究十分活跃,颇受关注。可生物降解的化学品已成为化学家的首选。不过在设计这类化学品时,同时也要考虑母体化合物生物降解后的存在形式,因此,在设计时,引入一些易于水解、光解或能由其他因素引起的化学键断裂官能团,是化合物生物降解的保障。同时,要考虑降解前后的化合物的毒性和危害如何,如果降解后的化合物增加了危害的风险,这种降解也就失去了绿色化学的意义。

十一、发展预防污染的实时监控技术

发展预防污染的实时监控技术是指开发实时分析技术,以便监控有毒、有害物质的生成。

化学反应过程是动态的,反应条件的任何扰动都可能造成反应系统各物质量的变化,同时存在环境或安全隐患。要实现绿色化学过程的目标,就必须对整个生产过程进行实时控制,以绿色化学为目的的在线分析化学的发展也是基于“如果不能测定就不能控制”这一前提。化学家在设计化学反应过程时就要提前考虑如何科学利用检测和监控技术,实时、在线地了解化工生产的反应进程、各方面的生产状况,以及各种化学物质的存在、浓度和变化的可能性。树立“在线监测=保护”的绿色化学观念。这包括两层含义。

①发展在线分析技术,跟踪反应过程,以测定反应是否已完成。在许多情况下,化学过程需要不断地加入试剂直到反应完成为止。如果有一个即时在线的检测器能让人们测定反应是否完成,就不需要加入更多的过量试剂,从而能够避免过量使用有可能会造成危害的物质。

②一切环境保护战略,均应立足于真实的危险阈值以及在某有害物质的存在量远未达到该阈值之前,就将其检测出来。因此,化学家必须不断提高分析技能,从而确保即使远低于该危险阈值的低微浓度有害物也能被检测出来。

利用这些技术可以对一个化学过程中有害副产品的产生和副反应进行跟踪。当微量的有毒物质被检测到时,可通过调节该过程的一些参数来及时减少或消除有害物质的形成。如果将传感器和过程控制系统连接起来,可实现自动化控制生产条件阻止这些物质的大量出现,避免有毒、有害物质或者废物的产生和意外事故的发生。可以说,实时在线分析技术是绿色化学工艺的重要组成部分,是绿色化学技术顺利实施的基本保障。

十二、尽量使用安全的化学物质,防止化学事故的发生

尽量使用安全的化学物质,防止化学事故的发生是指选择合适的参加化学过程的物质及生产工艺,尽量减少发生意外事故的风险。

在化学和化学工业中预防事故的发生是非常重要的。绿色化学应考虑广泛的危险性,而不仅仅是污染和生态毒性。因此,在进行化学品和化学过程的设计时,应同时考虑其毒性、爆炸性、可燃性等。

在预防污染、减少废物产生的过程中,可能不经意地增大了发生危险的可能性。有时,为防止污染而回收溶剂,这可能有许多益处,但同时也增加了引发事故或火灾的可能性。因此,一个过程应在预防污染与预防事故发生之间找到平衡点。比如,在设计更安全的化学品和化学过程方面可使用固体或低蒸气压的物质,而不用可挥发性物质及气体;不直接使用卤素单质,而采用更加无危害的方法引入卤素。

随着化学工业的发展,针对工艺技术放大、应用和实施的潜在能力,N.Winterton提出了绿色化学十二原则的附加原则。

①鉴别副产品,尽可能地定量描述。

②报告转化率、选择性和产率。

③在生产过程中要进行完整的质量平衡计算。

④定量核算生产过程中催化剂和溶剂的损失。

⑤充分研究基本的热化学,特别是放热规律,以保证安全。

⑥预测其他潜在的质量和能源的传输限制及规律。

⑦与化学或化工工程人员协作。

⑧要考虑全部生产过程对化学选择性的影响。

⑨帮助开发和支持使用可持续发展的能量。

⑩使用的全部产品及其他输入要尽量定量和最小化。

要充分认识到操作者的安全和废物最小化之间可能存在矛盾的事实。

对试验或工艺过程向环境中排放的废物要监视、呈报,并尽可能地使之最小化。

这些附加原则既是对以上绿色化学十二原则的补充,又可指导研究人员进一步深入研究或完善实验室的研究结果,以便能更好地评价化学过程中废物减少的情况及其绿色的程度。

绿色化学的这些原则主要体现在要充分关注原料的可再生性及有效利用、环境的友好和安全、能源的节约、生产的安全性等问题上,是在始端实现预防或减少污染的科学手段。而传统化学则突出强调化合物的功能与化学反应的效率问题,较少关注与之有关的污染和副作用的影响。绿色化学正是鉴于人类面临的环境污染问题中大多数与化学物质的污染直接相关,在对传统化学发展模式进行彻底反思的基础上发展起来的。人们一方面要利用绿色化学原理重新审视、改造现有的化学工业,另一方面为满足人类对新物质、新产品的日益增长的需要,还应积极研究新的绿色化学合成方法和技术。另外,绿色化学作为一门新兴的交叉学科也是在不断发展的,随着科学技术的发展和社会的进步而逐步完善。

总之,应在遵循绿色化学十二原则的基础上,以体现当代最新科学技术的物理、化学、生物手段和方法,从源头上根除污染,实现化学与生态协调发展的宗旨,研究环境友好的新反应、新过程、新产品,这是国际化学化工研究前沿的发展趋势和我国可持续发展战略的要求,也是化学工作者的职责。绿色化学十二原则目前被国际化学界所公认,它不仅是近年来在绿色化学领域中所开展的多方面研究工作的基础,同时指明了未来绿色化学发展的方向。 gO4Gwxy6Tx9W6Ew15Hj1QcAHN2TsI/VhX3g1EN5RipW2y7TBSTfOUPZNDj7rxxul

点击中间区域
呼出菜单
上一章
目录
下一章
×