



| 4.3 电化学的应用 |   | 
电导率是一个与离子浓度呈线性关系的物理量,利用电导率仪测定或监测系统的电导率,就可以知道系统的离子浓度或活度随时间的变化情况。例如,在乙酸乙酯与氢氧化钠发生皂化反应的过程中,只要用电导率仪监测反应系统的电导率随时间的变化情况,就相当于监测反应系统的OH-的浓度随时间的变化情况,因此,可以测定皂化反应的速率系数。
    当电解质100%电离,即
    
     α
    
    =1时,这时1mol电解质内所含的全部离子都参与导电,相应的电导率为
     ,当溶液具有较大的浓度时,电导率降低为
    
     Λ
    
    
     m
    
    。由于电解质中的一部分没有电离,这个时候的电离度等于
    
     α
    
    。根据
    
     Λ
    
    
     m
    
    和
    ,当溶液具有较大的浓度时,电导率降低为
    
     Λ
    
    
     m
    
    。由于电解质中的一部分没有电离,这个时候的电离度等于
    
     α
    
    。根据
    
     Λ
    
    
     m
    
    和
     的定义式,将二者相除得
    的定义式,将二者相除得
   
 
   
    近似地认为
     ,则有
    ,则有
   
 
   据此,在测定摩尔电导率以后,可求得电离度。
由于溶液很稀,溶液中离子的浓度很低,水的电导率对整个电解质溶液的电导率的贡献不可忽略,因此,难溶盐的电导率必需扣除水的电导率,即
 
   此外,可以认为
 
   
    利用公式
     ,便可计算难溶盐的饱和溶液的浓度,从而求得难溶盐的溶解度。
    
     κ
    
    
     溶液
    
    、
    ,便可计算难溶盐的饱和溶液的浓度,从而求得难溶盐的溶解度。
    
     κ
    
    
     溶液
    
    、
     可通过实验测定。
    可通过实验测定。
   
在化学分析的滴定过程中,溶液组成不断在改变,溶液的电导率也跟着改变,这种改变在滴定终点前后有所不同,因此测定溶液电导率的变化,可以确定滴定终点。这种滴定叫做 电导滴定 。当溶液有颜色,不便利用指示剂时,电导滴定的方法就显得更加有效。
以NaOH滴定HCl为例:
Na + +OH - +H + +Cl - =Na + +Cl - +H 2 O
在盐酸溶液中加入NaOH溶液,相当于用Na + 取代H + 去负担传导电荷的任务,由于Na + 的迁移率是5.19,H + 为36.3,即Na + 的迁移速率远小于H + ,这种代替必然导致溶液电导率的减小。当到达终点后,再加NaOH,等于增加了溶液中的导电离子(因为这时HCl已被中和完毕),故溶液的电导率重新增加。如果用溶液的电导率对所加入的NaOH的体积作图,可得如图1-4-10的图形。在实际测量中,只要在等当点前后各测出若干数据分别作两条直线,其交点即为等当点。
 
    
     图1-4-10 用
      
    
电导滴定还可应用于强酸滴定弱酸,一些沉淀反应也可以使用电导率滴定。如图1-4-11和图1-4-12所示。
 
    图1-4-11 用NaOH滴定HAc
 
    图1-4-12 用BaCl 2 滴定Tl 2 SO 4
测定水质纯度的方法常用的主要有两种:一种是化学分析法;另一种是电导法。化学分析法能够比较准确地测定水中各种不同杂质的成分和含量,但分析过程复杂费时,操作烦琐。电导法快速,可连续检测。锅炉用水、工业废水、实验室用的蒸馏水、去离子水、二次亚沸蒸馏水等,都可用电导法进行水质纯度检验。
水的电导率反映了水中无机盐的总量,是水质纯度检验的一项重要指标。水的电导率越小(或电阻率越大),表示水的纯度越高。纯水的理论电导率为0.055mS·cm -1 ,离子交换水的电导率为0.1~1mS·cm -1 ,普通蒸馏水的电导率为3~5mS·cm -1 ,自来水的电导率为500~1000mS·cm -1 。
在海洋考察中可利用电导率仪快速测定海水的电导率,电导率越大,说明海水中的含盐量越高,以此获得海水中的含盐量的分布情况。根据含盐量的大小,可为开发盐场(希望含盐量高)和选择埋设海底电缆(希望含盐量低)的工程提供参考。
可逆电池的电动势是原电池热力学的一个重要的物理量。从上一节的讨论可知,它是一个可以精确测定的量。通过测得不同温度下的可逆电动势,便可求得相应电池反应的热力学函数的变化值、非体积功以及过程热。
(1)由可逆电动势计算电池反应的吉布斯自由能变化值
    根据公式Δ
    
     r
    
    
     G
    
    
     m
    
    =-
    
     nEF
    
    或
     
   
已知电动势值就可以算出该条件下的自由能变化。
(2)由可逆电动势及温度系数计算电池反应的Δ r S m 和Δ r H m
同4.2.10节热力学与电化学关系式[式(1-4-24)~式(1-4-26)],即:
电池反应的熵变Δ r S m
 
   
    式中,
     为电池的温度系数,若取平均值,则用
    为电池的温度系数,若取平均值,则用
     表示,其意义是温度变化1K时电动势的改变值,单位是V·K
    
     -1
    
    。
    表示,其意义是温度变化1K时电动势的改变值,单位是V·K
    
     -1
    
    。
   
电池反应的焓变Δ r H m :
 
   
    可见,从可逆电动势的温度系数
     便可计算出电池反应的Δ
    
     r
    
    S
    
     m
    
    和Δ
    
     r
    
    
     H
    
    
     m
    
    。Δ
    
     r
    
    
     H
    
    
     m
    
    在量值上等于该反应在没有非体积功的情况下进行时的等温等压反应热。由于能够非常精确地测定电动势,故用电动势法测出的一些反应热效应往往比量热法测得的数据更为精确一些。
    便可计算出电池反应的Δ
    
     r
    
    S
    
     m
    
    和Δ
    
     r
    
    
     H
    
    
     m
    
    。Δ
    
     r
    
    
     H
    
    
     m
    
    在量值上等于该反应在没有非体积功的情况下进行时的等温等压反应热。由于能够非常精确地测定电动势,故用电动势法测出的一些反应热效应往往比量热法测得的数据更为精确一些。
   
在等温情况下,可逆反应的热效应为:
 
   
    从
     的数值为正或为负,可确定可逆电池在工作时是吸热还是放热。
    的数值为正或为负,可确定可逆电池在工作时是吸热还是放热。
   
 值的大小,可以排成金属活动顺序
    值的大小,可以排成金属活动顺序
    
   应用此规律可以判断反应的方向,即排在(H)前面的金属可以从非氧化性酸中置换出氢气,排在(H)后面的金属则不能,排在前面的金属可把后面的金属从其盐溶液中置换出来。
    这个判断的实质是,若前面排序中任意两个金属电极组成电池,其标准电动势
     ,
    ,
     ,置换反应可自发进行;若
    ,置换反应可自发进行;若
     ,则
    ,则
     ,置换反应不能自发进行。
    ,置换反应不能自发进行。
   
所以根据金属活动顺序对置换反应方向性的判断是一种标准条件下的热力学判断,只能指出反应的可能性,不能说明反应的快慢。根据置换反应实验结果得到的金属活动顺序结果,不仅包括了热力学因素,还包括了动力学因素,从而造成金属钙排在钠的前面。显然,作为一种热力学判断,把钙排在钠后面是不够严格的。
此外,必须注意此规律的使用条件:298K水溶液,参加反应的各简单离子的活度和活度系数皆为1。条件改变时,置换反应的方向往往会颠倒,甚至完全不能应用此规律。
    根据式
     得
    得
   
 
   由式(1-4-37)可以计算电池反应的标准平衡常数及其特例,例如络合物的稳定常数和难溶物质的溶度积。
有些电极的电势由溶液中氢离子的活度决定,因此利用这类电极为指示电极,与某种已知电极电势的参考电极组成电池,测其电动势,便可以算出溶液中氢离子的活度,得到pH值。下面介绍两种较常用的指示电极。
(1)醌-氢醌电极
醌-氢醌是一种暗褐色的晶体,结构式为:
 
   它在水中的溶解度很小,溶解后,部分离解为等摩尔的醌和氢醌:
 
   这种电极很易制备,在被测溶液中撒入少许醌-氢醌,使其饱和,再插入铂丝便成,再和参考电极(例如饱和甘汞电极)用盐桥连接起来,便构成电池:
Hg|Hg2Cl 2 (s)|KCl(饱和)‖H + ( a H+ 待测)醌-氢醌|Pt
在醌-氢醌电极上的反应是
 
   
    电极电势方程式
     
   
    若溶液中其他盐类的浓度很小,且考虑到醌-氢醌的溶解度很小,则可以认为
    
     a
    
    
     醌
    
    =
    
     a
    
    
     氢醌
    
    。已知298K时
     ,所以
    ,所以
   
φ =0.6994+0.05915lg a H+ =0.6994-0.05915pH
    所测电池电动势
     
   
因饱和甘汞电极的电位为0.2415V,故
E =(0.6994-0.05915pH-0.2415)V=(0.4579-0.05915pH)V
 
   所以,测得 E 便可由此算出pH值。这种方法使用方便,有不少优点。但它也有缺点,即被测溶液中不能含有氧化剂或还原剂,否则会和醌-氢醌起反应;另外,在pH>8的溶液中,氢醌易被空气中的氧所氧化,也不能使用。
(2)玻璃电极
用一种特制的玻璃吹成很薄的圆球,里面放进0.1mol·dm -3 盐酸和银-氯化银电极,玻璃球放在待测溶液中。这时玻璃膜的两边便产生电势差,其大小取决于待测溶液中的H + 的离子浓度,这就是 玻璃电极 。玻璃电极的表示式为Ag,AgCl|HCl(0.1mol·dm -3 )|玻璃薄膜|H + ( a H+ 待测)
电极电势公式是
 
   
    式中,
     是一常数,其值与玻璃电极的性质和构造有关。测量时,把玻璃电极与一参考电极(通常采用甘汞电极)组成电池(见图1-4-13)。
    是一常数,其值与玻璃电极的性质和构造有关。测量时,把玻璃电极与一参考电极(通常采用甘汞电极)组成电池(见图1-4-13)。
   
 
    
     图1-4-13 用玻璃电极
      
    
玻璃电极|溶液(pH=?)|甘汞电极( c KCl =1.0mol·dm -3 )
这时电池的电动势为
 
   所以
 
   
    如果先用一已知pH值的缓冲液测得
    
     E
    
    值,便可算出
     。但实际测定时不必计算
    。但实际测定时不必计算
     ,而是先用一已知pH值的溶液进行校正,再测未知液的pH值,这时所得读数便是待测液的pH值了。
    ,而是先用一已知pH值的溶液进行校正,再测未知液的pH值,这时所得读数便是待测液的pH值了。
   
玻璃电极不受溶液中氧化剂和还原剂的作用,在pH值较高时也可使用,是实验室常用的一种测定pH值的电极。
    近年来,对于Na
    
     +
    
    、K
    
     +
    
    、Li
    
     +
    
    、Ca
    
     2+
    
    、
     、Ag
    
     +
    
    、Cu
    
     2+
    
    、Pb
    
     2+
    
    、Cd
    
     2+
    
    等阳离子、卤素、CN
    
     -
    
    、S
    
     2-
    
    等阴离子也有了类似于玻璃电极的离子选择电极,其电势只随溶液中某一特定离子浓度的变化而变化,因此可以采用类似于pH计的方法测定这些离子的浓度,所用的仪器叫做离子计,已在分析工作中使用。
    、Ag
    
     +
    
    、Cu
    
     2+
    
    、Pb
    
     2+
    
    、Cd
    
     2+
    
    等阳离子、卤素、CN
    
     -
    
    、S
    
     2-
    
    等阴离子也有了类似于玻璃电极的离子选择电极,其电势只随溶液中某一特定离子浓度的变化而变化,因此可以采用类似于pH计的方法测定这些离子的浓度,所用的仪器叫做离子计,已在分析工作中使用。
   
测量滴定过程中电池电势的改变情况,可以找出滴定的终点。这种分析方法叫做电势滴定。现以酸碱滴定为例加以说明。
选一指示电极,如玻璃电极,它的电极电势与溶液的pH值有关。
 
   若组成电池:指示电极‖甘汞电极
则
 
   
     是常数,它与pH值无关,故此电池的电势只随溶液的pH值而定,由于当滴定至接近终点时,pH值会产生突跃,故电势也会产生相应的突变,用仪器可以指示电势的突跃变化,从而可定出终点。图1-4-14为用碱滴定酸时,电势随加入碱的量而变化的图形。除酸碱滴定外,氧化还原反应、沉淀反应等滴定也可用电位滴定法,其优点是快速、自动,不受溶液颜色或沉淀的干扰。
    是常数,它与pH值无关,故此电池的电势只随溶液的pH值而定,由于当滴定至接近终点时,pH值会产生突跃,故电势也会产生相应的突变,用仪器可以指示电势的突跃变化,从而可定出终点。图1-4-14为用碱滴定酸时,电势随加入碱的量而变化的图形。除酸碱滴定外,氧化还原反应、沉淀反应等滴定也可用电位滴定法,其优点是快速、自动,不受溶液颜色或沉淀的干扰。
   
 
    图1-4-14 电势滴定
以氢电极和甘汞电极构成的单液电池为例,可求出不同浓度HCl溶液的 γ ± 。
 
   
    负极:
     
   
    正极:
     
   
    电池反应:
     
   
    电池的电势
     
   
对于1-1价型电解质, m + = m - = m ,故
 
   代入 E 的计算式得
 
   
    只要查得
     和测得不同浓度HCl溶液的电势
    
     E
    
    ,可求出不同浓度时的
    
     γ
    
    
     ±
    
    值。
    和测得不同浓度HCl溶液的电势
    
     E
    
    ,可求出不同浓度时的
    
     γ
    
    
     ±
    
    值。
   
以电极电势和pH值为坐标,作电极电势随pH值变化的曲线,这就是电势-pH值图
电势-pH值图的主要应用如下。
①电极电势的数值反映了物质的氧化还原能力,可以判断电化学反应进行的可能性。
②从各种物质的电势-pH值图上可以直接判断,在一定的pH值范围内何种电极反应将优先进行。
③在水溶液中的元素分离、湿法冶金和金属防腐等方面有广泛的应用。
以铁的防腐电势-pH值图为例(见图1-4-15),是将铁与水的电势-pH值图合并,垂线(A)表示非氧化还原反应,水平线(B)表示与pH值无关的氧化还原反应,水平线(C)也表示与pH值无关的氧化还原反应,斜线(D)表示与pH值有关的氧化还原反应,加上H 2 O(l)的电势-pH值图,处在高电势的为正极(还原),处在低电势的为负极(氧化),处在高电势的氧化态可以氧化处在低电势的还原态,O 2 (g)在酸性溶液中可以将Fe(s)氧化成Fe 2+ 和Fe 3+ ,O 2 (g)在碱性溶液中可以将Fe(s)氧化成Fe 2 O 3 (s)。
 
    图1-4-15 铁的防腐电势-pH值图
当电解金属盐类(MA)的水溶液时,溶液中的阳离子M + 和H + 均趋向阴极,还原电极电势愈正者,其氧化态优先还原而析出。
    例如,298K时,用锌电极作为阴极电解
    
     a
    
    
     ±
    
    =1的ZnSO
    
     4
    
    水溶液。若在某一电流密度下氢气在锌极上的超电势为0.7V,锌在阴极上的超电势可以忽略,查表得
     。在常压下电解时,要判断阴极上析出的物质是氢气还是金属锌,需要分别计算出锌和氢气在阴极的析出电势:
    。在常压下电解时,要判断阴极上析出的物质是氢气还是金属锌,需要分别计算出锌和氢气在阴极的析出电势:
   
    因
     ,故
    ,故
   
 
   氢气在阴极上析出时的平衡电势
 
   电解在常压下进行,氢气析出时应有 p H2 =101.325kPa,水溶液可近似认为中性,并假定 a H+ =10 -7 ,于是
 
   考虑到氢气在锌电极上的超电势 η c=0.7V,故析氢时的极化电极电势
 
   
    可见,若不存在氢的超电势,因
     比
    比
     更正,应当在阴极上析出氢气;而由于氢超电势的存在,
    更正,应当在阴极上析出氢气;而由于氢超电势的存在,
     比
    比
     更正,故实际是Zn优先在阴极上析出。
    更正,故实际是Zn优先在阴极上析出。
   
以上分析,未考虑浓差极化,这可以通过搅拌使之降至可忽略不计。
一般来说,电解时,一方面应该注意因电解池中溶液浓度的改变所引起的反电势的改变,同时还要注意控制外加电压不宜过大,以防止氢气也在阴极同时析出。
若溶液中含有多种金属离子,可利用金属析出电势的不同将它们分离。 φ 阴,析 越正的离子,越易获得电子而还原成金属,电解时,阴极电势在由高变低的过程中,各种离子按其对应的 φ 阴,析 由高到低的次序而先后析出。
    例如,有一含0.01mol·dm
    
     -3
    
    的Ag
    
     +
    
    和1mol·dm
    
     -3
    
    的Cu
    
     2+
    
    的硫酸盐溶液,其中
     ,如忽略金属析出的超电势,则两种离子开始时的析出电势分别为
    ,如忽略金属析出的超电势,则两种离子开始时的析出电势分别为
   
 
   
    因
     ,所以当阴极电势达0.681V时,Ag优先在阴极开始析出,假定溶液中的
    ,所以当阴极电势达0.681V时,Ag优先在阴极开始析出,假定溶液中的
     时认为Ag
    
     +
    
    已全部沉积,则此时
    时认为Ag
    
     +
    
    已全部沉积,则此时
   
 
   而Cu 2+ 开始析出的电势是0.337V,因此,只要控制阴极电势在0.337V以上,则只会是Ag析出,从而实现将此溶液中的Ag + 与Cu 2+ 分离。此时,可将阴极取出称量其电解前后的净增值即为析出Ag的量。然后,再插入另一新的电极,继续增加外电压,可使Cu 2+ 沉积。
通常,电流密度较小时,金属离子析出超电势可以忽略,这样,就可用能斯特方程作一些离子分离的估算。例如,298K时,对一价金属离子,其浓度从1mol·dm -3 降至10 -7 mol·dm -3 时,Δ E =0.41V。所以,要使两种一价金属离子电解分离,两者的电极电势要相差0.41V以上;同理,要使两种二价金属离子电解分离,两者的电极电势要相差0.21V以上。
要实现两种金属的共沉积,应具备以下两个基本条件。
①两种金属中至少有一种金属能单独从其盐的水溶液中沉积出来:尽管在大多数情况下,形成合金的两种金属都能单独从其盐的水溶液中沉积出来,但有些不能单独沉积的金属如钨、钼等,可以在铁族金属的诱导下与之共沉积。
②要使两种金属共沉积,它们的析出电位要十分接近或相等。否则电位较正的金属会优先沉积,甚至排斥电位较负金属的析出。
为了实现金属的共沉积,一般采取以下措施。
①选择金属离子合适的价态:同一金属不同价态的标准电极电位有较大差异,一般应选择易溶于水且标准电位与共沉积金属较接近的价态的化合物。
②改变金属离子的浓度:在标准电位相差不大时,通过改变金属离子的浓度(或活度),增大电位比较正的金属离子的浓度,使其电位负移,从而使两种析出金属的电位接近。
③加入适当的络合剂:使游离态的金属离子浓度降低,析出电位接近而共沉积。适当的络合剂,不仅可使金属离子的平衡电位向负方向移动,还能增加阴极极化。
④加入添加剂:添加剂尽管用量少,但它可以显著地增大或减小阴极极化,这种作用对金属离子有选择性。因此,加添加剂可以调整或改变金属的沉积电位,使合金发生共沉积。
两种金属在阴极上共沉积时,相互之间存在着一定的作用。同时,电极材料的性质、电极表面状态、零电荷电位和双电层结构等都可能对形成的合金镀层产生影响。
在合金电沉积中,基体材料的性质对阴极上金属离子的放电和析氢可能会产生两方面的影响:一是产生去极化作用,使金属离子的还原过程变得容易;二是增大极化作用,使阴极还原过程受到影响。两种或两种以上的金属离子共沉积形成合金时,由于双电层中离子浓度和双电层结构的改变,离子的还原速度也将发生变化。此外,由于溶液中有两种或两种以上的金属离子存在,可能会形成多核配位离子或缔合离子,从而影响金属离子在阴极表面的析出。
电解反应的次序和析出电势可应用于指导工业生产,下面介绍隔膜法电解食盐水工艺。
在用隔膜法电解食盐水时,两极的主要反应是Cl-的氧化和H + 的还原,两极只有Cl 2 和H 2 析出。
    阳极反应:
     
   
    阴极反应:
     
   
    阳极电势为:
     
   
    在实际生产中,阳极电解液中NaCl的浓度约为4.53mol·dm
    
     -3
    
    ,活度系数为0.672,
     ,故
    ,故
   
 
   
    阴极电势为:
     
   
    设
     ,而
    ,而
     ,故
    ,故
   
 
   
    实际生产的阴极电解液中
     ,活度系数为0.73,故
    ,活度系数为0.73,故
   
 
   生产中阴极一般采用Fe,阳极采用石墨,H 2 在铁上的超电势取0.39V(电流密度为1000A·m -2 ),Cl 2 在石墨上的超电势取0.25V(电流密度为1000A·m -2 ),所以
 
    
   
    如果有OH
    
     -
    
    放电,则其电极反应为:
     
   
    并有
     
   
    设
     ,又知
    ,又知
     ,故
    ,故
   
 
   =0.401-0.05915lg 10 -7 (设阳极液为中性)=0.82V
    在石墨阳极上,
     ,所以
    ,所以
     
   
    金属离子放电析出的超电势一般可忽略不计,于是
     
   
比较Cl 2 、O 2 和H 2 、Na的析出电势可知,在电解食盐水时,阳极一般只发生Cl-的氧化,析出Cl 2 ,阴极只能发生H 2 O的还原,析出H 2 。
    当然,电极上还会有副反应发生。例如在电流密度较大时(1000A·m
    
     -2
    
    ),阳极上除了析出氯气外,还有少量氧气放出来,电极反应为4OH
    
     -
    
    -4e
    
     -
    
     2H
    
     2
    
    O+O
    
     2
    
    ,这使石墨阳极受到氧化而被损坏。
    2H
    
     2
    
    O+O
    
     2
    
    ,这使石墨阳极受到氧化而被损坏。
   
反应为 C+4OH - -4e - =2H 2 O+CO 2
在阴极上,钠离子是不可能析出的。但是氯气可以溶解在溶液中,如果它扩散到阴极上,则可以被还原
 
   根据以上考虑,显然应该选择氢超电势低而价格又低廉的金属作阴极,铂的氢超电势最低,但太贵,故用铁。阳极要选择耐氧化,并且氯超电势低而氧超电势高的材料,石墨是合适的。
把含有杂质的不纯金属作阳极,通过电解在阴极取得纯金属的方法叫电解精炼,例如铜的电解精炼。
电解精炼时,阳极反应和阴极反应是同一反应的正反应和逆反应:
 
   因此理论分解电压是零伏,槽电压非常小,大约为0.3V。电解液为加有硫酸的硫酸铜溶液。
电解精炼时,电势比铜大的杂质金属Au、Ag和Pt不会发生阳极溶解,因此从阳极表面落入槽底成为阳极泥,从中可以回收贵金属。电势比铜小的杂质金属如Pb、Sn、Ni、Co、Fe、Zn均发生电化学溶解,以二价离子的形式进入溶液,但因这些金属离子的析出电势较铜为负,故它们不会在阴极还原析出。As、Sb、Bi的析出电势与Cu接近,当电流密度提高、铜离子浓度偏低和电解液循环不良时有可能析出。但是通过控制条件,可以只使溶液中的析出电势较正的铜离子在阴极还原析出,从而得到高纯度的金属铜。
电合成是指利用电解氧化(在阳极)和电解还原(在阴极)合成无机物或有机物的制备物质的方法。
电合成具有以下几个特点。
①可以给在电极上发生氧化还原反应的分子提供足够的能量。通过选择适当的电极材料来改变超电势,采用非水溶剂以避免高电势下析出H 2 和O 2 以及熔盐电解,可以把电解氧化的电势提高到+3V,电解还原的电势提高到大约-3V。许多用作氧化剂或还原剂的“高能”化工产品,正是用电合成法制取的。
②电合成法常在室温和常压下进行。据计算,超电势改变1V,就能使反应活化能降低40kJ·mol -1 左右,这使反应速率增加107倍,而为达同样目的,温度必须从室温升高到300℃以上。
③容易控制电解反应的方向。一方面是通过选用不同的电极材料,如硝基苯电解还原时,若用氢超电势较高的Pb、Cu、Sn、Hg作阴极,可得最终还原产物苯胺;若用Ag、C、Ni作阴极,只能得到苯胺。另一方面是利用恒电势装置控制电势电解,可以使反应按人们希望得到的产物的方向进行。
④产品纯净,不会因外加氧化剂或还原剂带进杂质,或造成环境污染。
任何能从阴极取得电子的物质都可能在阴极进行电解还原,任何能在阳极失去电子的物质都可能在阳极进行电解氧化。电合成时要选好电极材料、电解液和隔膜。电解氧化时常用Pt、Au、石墨、PbO 2 以及涂钌和铂的Ti作电极,电解还原时则常用Pb、Hg、Fe、Cu等作电极。溶剂必须是惰性的,且能够溶解导电的电解质和无机、有机反应物。隔膜的作用是把阳极液和阴极液分开,以使产物不致混合而迁移到另一电极上发生反应。常用的隔膜有细孔陶瓷、烧结玻璃、石棉布和离子交换膜等。
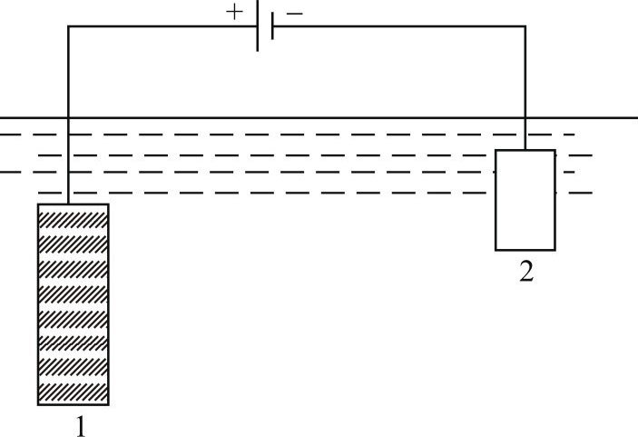
电镀是通过电解的方法在金属制品表面覆盖一层致密、牢固、光滑、均匀的镀层,借以达到防护装饰等目的。因目的不同,可有不同的镀种,例如为了防腐可镀锌、镀镍、镀铬等,为了既能防腐而又美观可镀铬、镀银,为了提高表面的反光能力可镀钢、镀银、镀铬。
电镀时,把待镀零件和直流电源的负极相连,把金属(一般是和镀层相同的金属)和直流电源的正极相连,两者一起放到电镀槽中,电镀槽中盛放含有欲镀金属的离子的盐溶液(还添加有其他物质)。接通电源后,就可以在一定电流密度、温度和pH值等条件下进行操作。电镀装置如图1-4-16所示。
电镀液的主要成分随镀种不同而异,一般来说,可以包含以下各种物质。
①欲镀金属的盐类,可以是简单盐,也可以是络合物。
 
    图1-4-16 电镀装置示意图
②形成络盐的络合剂,如NaCN、氨三乙酸。
③提高导电能力的物质,如NH 4 Cl、Na 2 SO 4 、酸和碱等。
④调节pH值的缓冲剂,如硼酸。
⑤添加剂,它可改善镀液的电化学性能,使镀层具有优良的物理性能,目前有机添加剂获得了广泛的应用。
要获得一定质量的电镀层,不但要有合适的镀液,而且还要控制好其他各种条件(即电解规范),例如电流密度、温度、pH值、阴极移动等。它们彼此联系,相互制约。所以要得到合格的金属镀层,就要在生产实践中根据不同镀液的性能和对镀层的不同要求从各因素的相互联系上来控制好工艺条件。除此以外,还要充分重视镀件表面的预处理。例如磨光、抛光、滚光等整平处理,以及除油、酸洗和镀前弱腐蚀等。
引起金属腐蚀的原因有化学作用和电化学作用两种。
金属总是会含有杂质或其他组分(如钢铁中还含有炭),因为杂质的性质与金属不同,故它们在溶液中的电势不同,电势不同的区域就会构成类似于原电池的两极,而金属自身又使两极短路,这样,这种由金属与其中的杂质所构成的微电池就不断地在放电,而导致其中一种组分溶解,产生金属腐蚀现象(见图1-4-17)。
 
    图1-4-17 原电池和微电池
在微电池中进行一对共轭反应,阳极是金属的溶解:
 
   通常是指铁的溶解,反应为:
 
   其平衡电势为:
 
   阴极则进行还原反应,称为共轭阴极反应,它可能有以下三种情形。
金属离子的还原:
 
   H + 的还原:
 
   氧分子的还原:
     (碱性介质),
    (碱性介质),
     
   
    或
     (酸性介质),
    (酸性介质),
     
   
    以上三个共轭阳极反应的电极电势都比
     大,故所组成的腐蚀电池都能自发放电,导致铁的腐蚀。
    大,故所组成的腐蚀电池都能自发放电,导致铁的腐蚀。
   
金属与杂质形成的微电池在数量上往往是很多的,因为杂质分散在金属的各个不同的区域,每一块杂质都可成为一个电极,所以,微电池常常是造成腐蚀的主要原因。
除金属接触和金属与杂质可组成局部电池外,机械加工的不同,也会造成金属的不同区域具有不同的电势,而形成微电池,引起腐蚀。
腐蚀速率由通过微电池的腐蚀电流来决定,能增加腐蚀电流的因素都可增大腐蚀速率。
(1)金属本性
    不同的金属具有不同的平衡电势,且其溶解时的阳极极化曲线有不同的斜率,因而会有不同的腐蚀电流。例如把相同的铜铆钉打在锌板和铁板上,所产生的效果将不一样。设共轭阴极反应相同,则因锌的平衡电势较负,由锌和铜构成的腐蚀电池具有较大的
     ,即锌的腐蚀速率将大于铁(见图1-4-18)。
    ,即锌的腐蚀速率将大于铁(见图1-4-18)。
   
 
    
     图1-4-18 金属平衡电
      
    
(2)共轭阴极反应
    不同的共轭阴极反应,将明显影响腐蚀电流的大小,从而有不同的腐蚀速率。例如阴极上若发生O
    
     2
    
    的还原,阴极极化曲线形状如图1-4-19所示,它和阳极极化曲线的交点在
    
     b
    
    ,若为H
    
     +
    
    还原,则交点在
    
     a
    
    ,故前者造成的腐蚀电流
     较大。
    较大。
   
 
    
     图1-4-19 共轭阴极反
      
    
(3)介质
介质的pH值对腐蚀速率有很显著的影响。在酸性介质中,不仅共轭阴极反应的电势会因H + 浓度升高而变正,使腐蚀加快,而且还会使腐蚀产物溶解,或者发生化学腐蚀作用等而加快腐蚀速率。
(4)其他因素
搅拌、介质的流动、温度升高、表面粗糙、灰尘堆积等都可增大微电池的腐蚀电流,使腐蚀的速率加快。
(1)金属保护层
用电镀或其他方法在物件上覆盖一层耐蚀而致密的金属或合金,可防止腐蚀。根据镀层性质的不同,分为两种不同情况:一种是阳极性镀层,如在铁上镀锌,在镀层有破坏时,锌是负极,发生锌的溶解,铁被保护[见图1-4-20(a)];另一种是阴极性镀层,如在铁上镀锡,在镀层有破损时,锡是正极,铁是负极,结果发生铁的溶解,反而加速了铁的腐蚀[见图1-4-20(b)]。
 
    图1-4-20 铁上镀锌和镀锡时腐蚀作用的比较
1—铁制件上锌镀层;2—电解质溶液薄膜;3—锌被腐蚀;4—铁制件上锡镀层;5—电解质溶液薄膜;6—铁被腐蚀
(2)非金属保护膜
如涂漆、喷漆等。这种保护层要注意保护,如有破损,基体金属便会发生腐蚀。
(3)阴极保护
用电化学的方法使欲保护的金属成为阴极,进行阴极极化,当其电势达到某一数值时,金属的腐蚀停止,该电势称为防蚀电势。例如钢在天然水或土壤中的防蚀电势是-0.77V(对饱和甘汞电极)。具体方法可用一电极电势较负而且价格较廉的金属(如锌、铝)使它和欲保护的工件(如锅炉、船身等)接触钉牢,构成电池,工件是电池的阴极,发生阴极极化,当电势达到防蚀电势时,便受到保护。这时被联结上去的金属是作为牺牲阳极而使用的,在防腐过程中它本身逐渐被腐蚀溶解掉[见图1-4-21(a)]。
也可采用一外加电源,使被保护的工件和电源的负极相连成为阴极,以某些导体(如石墨、高硅铸铁、铅银合金、镀铂钛等)作为惰性阳极,调节电流使工件进行阴极极化并达到防蚀电势[见图1-4-21(b)]。
 
    图1-4-21 阴极保护示意图
以上两种方法叫做阴极保护法。地下输油管道和某些化工设备采用阴极保护法后,可以大大减轻腐蚀。
(4)加缓蚀剂
在介质中加入某些有机物或无机物,可以改变阳极反应或阴极反应的速率,增大极化作用,改变极化曲线的斜率,从而使腐蚀电流降低(见图1-4-22),减缓腐蚀作用。某些常用的缓蚀剂列于表1-4-3中。
 
    图1-4-22 缓蚀剂的影响
表1-4-3 常用的缓蚀剂
 
   (5)使金属钝化
一定条件下,由于阳极反应受到阻碍从而使金属或合金的化学稳定性增强的现象叫钝化。金属钝化后,金属的耐蚀性能将会大大提高。某些金属的 φ 临 和 i 临 值见表1-4-4。
表1-4-4 某些金属的 φ 临 和 i 临 值
 
   金属处于钝态的原因是因为表面生成了一层致密的耐蚀性能良好的钝化膜,其组成可能是氧化物、氢氧化物或难溶盐等。根据金属的这种性质发展出两种阳极保护法。此法是使被保护金属和外电源的正极相连进行阳极极化而使其钝化,而以铂、镍、铜、磁性氧化铁等作为惰性阴极与电源负极相连(见图1-4-23),例如高温下处于浓硫酸介质中的钢制储槽和生产碳酸氢铵的碳化塔,采用这种保护方法效果良好。阴极保护法和阳极保护法总称为电化学保护法。
 
    图1-4-23 阳极保护示意图
1—阳极;2—惰性阴极
用化学方法也可以使金属处于钝态。例如把钢铁制件置于由NaOH+NaNO 2 +Na 3 PO 4 ·12H 2 O配制的溶液中加热煮沸,可使表面产生一层蓝黑色的氧化物薄膜,起保护作用,称为“发蓝”。
4.3.5.1 干电池
干电池也称一次电池,即电池中的反应物质在进行一次电化学反应放电之后就不能再次使用了。常用的有锌锰干电池、锌汞干电池、镁锰干电池等。
锌锰干电池是日常生活中常用的干电池,其结构如图1-4-24所示。
 
    
     图1-4-24 锌锰干电池
      
    
正极材料:MnO 2 、石墨棒。
负极材料:锌筒。
电解质:NH 4 Cl、ZnCl 2 及淀粉糊状物。
电池符号可表示为:
Zn|NH 4 Cl·ZnCl 2 |MnO 2 (c)
    负极:
     
   
    正极:
     
   
    总反应:
     
   
锌锰干电池的电动势为1.5V。因产生的NH 3 气被石墨吸附,引起电动势下降较快。如果用高导电的糊状KOH代替NH 4 Cl,正极材料改用钢筒,MnO 2 层紧靠钢筒,就构成碱性锌锰干电池,由于电池反应没有气体产生,因此内电阻较低,电动势为1.5V,比较稳定。
这是一种二次电池,它可以循环使用,放完电后,可以充电,使之复原,重新使用,起到把电能储蓄起来的作用,故又称为蓄电池。优点是:电动势较高,内阻小,使用温度范围宽,原料丰富,价格低,电量和电能效率高。缺点是:板极强度差,怕震动,较笨重,充电时有酸雾,自放电强烈,并有H 2 放出。如不注意易引起爆炸。这种电池广泛用于汽车、拖拉机、小型运输车、实验室等。
蓄电池的负极是海绵状的铅,黑灰色,正极是过氧化铅,呈深褐色;电解液是相对密度 d (旧称比重)为1.2左右的硫酸。蓄电池的容器通常用金属铅、塑料、玻璃等制成。
铅酸蓄电池和其充、放电曲线可简明地用图1-4-25和图1-4-26表示。
Pb|H 2 SO 4 ( d =1.22~1.28)|PbO 2
    负极反应:
     
   
    正极反应:
     
   
    电池反应为:
     
   
 
    
     图1-4-25 铅
      
    
 
    
     图1-4-26 铅
      
    
根据能斯特方程式可得:
 
   
    298K时,将各定值代入得:
     
   
可见铅酸蓄电池的电动势与硫酸的浓度有关。有一个经验式可以粗略地表征这个关系:
E =(0.84+ d 288K )V
式中, d 288K 为硫酸溶液的相对密度。
例如,相对密度为1.2,则 E =2.04V。实用中,常常通过测量硫酸的相对密度推断电池放电的情况,而决定是否应对电池充电,当相对密度降到1.05,电池电压降为1.8V时,应对电池充电,不能继续放电,否则将会损坏电池。
镍氢电池是由氢离子和金属镍组成的,KOH作电解液。电量储备比镍镉电池多30%,比镍镉电池更轻,使用寿命也更长,并且对环境无污染。镍氢电池中的“金属”部分实际上是金属氢化物。许多种类的金属都已被运用到镍氢电池的制造上,最常见的是AB 5 一类,A是稀土元素的混合物(或者)再加上钛(Ti);B则是镍(Ni)、钴(Co)、锰(Mn),(或者)还有铝(Al)。所有这些化合物扮演的都是相同的角色:可逆地形成金属氢化物。电池充电时,氢氧化钾(KOH)电解液中的氢离子(H + )会被释放出来,由这些化合物将它吸收,避免形成氢气(H 2 ),以保持电池内部的压力和体积。当电池放电时,这些氢离子便会经由相反的过程而回到原来的地方。
(1)充电时
    正极反应:
     
   
    负极反应:
     
   
    总反应:
     
   
(2)放电时
    正极:
     
   
    负极:
     
   
    总反应:
     
   
式中,M为储氢合金;MH为吸附了氢原子的储氢合金。最常用储氢合金为LaNi 5 。
电解液为碱液的碱性蓄电池广泛用作航天电源。这一类电池包括镍-镉蓄电池、银-镉蓄电池和银-锌蓄电池。其中银-锌电池是20世纪50年代出现的一种高能电池,它的比能量高,为铅蓄电池的4~5倍,它能大电流放电(见图1-4-27),放电电压平稳,自放电较小,有良好的机械性能,缺点是原料价格贵,内部易短路。主要用在宇宙航行、人造卫星、火箭、导弹和高空飞行等领域。
 
    
     图1-4-27 银
      
    
银-锌电池可表示为:
Zn|KOH溶液(40%)|Ag 2 O(Ag 2 O 2 ),Ag
负极是锌,电极反应为:
 
   
    或
     
   
    正极是氧化银(含有部分过氧化银),电极反应为
     。总反应为:
    。总反应为:
   
 
   
    相应于此反应的
     
   
 
   
    相应于此反应的
     
   
以锂为负极的非水电解质电池有几十种,其中性能最好、最有发展前途的是锂-二氧化锰非水电解质电池,这种电池以片状金属为负极,电解活性MnO 2 作正极,高氯酸及溶于碳酸丙烯酯和二甲氧基乙烷的混合有机溶剂作为电解质溶液,以聚丙烯为隔膜,电池符号可表示为:
Li|LiClO 4 |MnO 2 |C(石墨)
负极反应:Li=Li + +e -
正极反应:MnO 2 +Li + +e - =LiMnO 2
总反应:Li+MnO 2 =LiMnO 2
这种电池的电动势为2.69V,质量轻、体积小、电压高、比能量大,充电1000次后仍能维持其能力的90%,储存性能好,已广泛用于电子计算机、手机、无线电设备等领域。
这种电池以熔融的钠作电池的负极,熔融的多硫化钠和硫作正极,正极物质填充在多孔的炭中,两极之间用陶瓷管隔开,陶瓷管只允许Na + 通过。放电分三步进行。
(1)第一步放电
负极:Na=Na + +e -
正极:2Na + +5S+2e - =Na 2 S 5 (l)
总反应:2Na+5S=Na 2 S 5 (l)
负极上生成的Na + 通过陶瓷管,进入正极与硫进行作用,生成Na 2 S 5 ,使正极成为S和Na 2 S 5 的混合物,直到被全部转化成Na 2 S 5 为止,当正极的硫被消耗完之后转为第二步放电反应。
(2)第二步放电
负极:2Na=2Na + +2e -
正极:2Na + +4Na 2 S 5 +2e - =5Na 2 S 4 (l)
总反应:2Na+4Na 2 S 5 =5Na 2 S 4 (l)
当Na 2 S 5 作用完后,电池放电转入后期工作。
(3)第三步放电
负极:2Na=2Na + +2e -
正极:2Na+Na 2 S 4 +2e - =2Na 2 S 2 (l)
总反应:2Na+Na 2 S 4 =2Na 2 S 2 (l)
钠-硫电池的电动势为2.08V,可作为机动车辆的动力电池。为使金属钠和多硫化钠保持液态,放电过程应维持在300℃左右。
20世纪90年代初,人们才成功研制出锂离子电池。锂离子电池用具有石墨结构的碳材料取代金属锂负极,正极采用锂与过渡金属的复合氧化物。相对于传统的二次电池,锂离子电池由于具有高容量、轻质量、高电压、无记忆效应、不污染环境等优点,很快被人们所接受,并迅速占领了电池市场。锂离子电池已经成功用于移动电话、数码相机、笔记本电脑、摄像机和电动工具等便携式电子产品,目前还在向电动汽车、储备电源、军事航天等多种新兴的重要领域发展。
锂离子电池的工作原理就是指其充放电原理。当对电池进行充电时,电池的正极上有锂离子生成,生成的锂离子经过电解液运动到负极。而作为负极的炭呈层状结构,它有很多微孔,到达负极的锂离子就会嵌入到炭层的微孔中,嵌入的锂离子越多,充电容量越高。同样道理,当对电池进行放电时(即使用电池的过程),嵌在负极炭层中的锂离子脱出,又运动回到正极。回到正极的锂离子越多,放电容量越高。不难看出,在锂离子电池的充放电过程中,锂离子处于从正极→负极→正极的运动状态。如果把锂离子电池形象地比喻为一把摇椅,摇椅的两端为电池的两极,则锂离子就像是在摇椅的两端来回奔跑。所以,锂离子电池又称为“摇椅式电池”(见图1-4-28)。
 
    
     图1-4-28 “摇椅式”锂离子电
      
    
上面介绍的化学电源有一个共同的特点:电池本身含有进行反应所必需的各种物质。电池工作时仅和外界进行能量的交换,而无物质的交换,可把这些电池看成是一个封闭的电化学反应器。与此不同,燃料电池则是开放的电化学反应器,它工作时不仅和外界进行能量的交换,而且还进行物质的交换,燃料(如H 2 )和氧化剂(如空气中的O 2 )都从外面输入,电池本身实际上仅仅是一个能量转换器。
燃料电池是20世纪60年代出现的一种发电装置,其特点是把燃料的化学能直接转化为电能。
燃料电池以还原剂(氢气、煤气、天然气、甲醇等)为负极反应物,由氧化剂(氧气、空气等)为正极反应物,由燃料极、空气极和电解质溶液构成。电极材料多采用多孔炭、多孔镍、铂、钯等贵重金属以及聚四氟乙烯,电解质则有碱性、酸性、熔融盐和固体电解质等几种。下面以研究得比较多的H 2 -O 2 燃料电池为例(见图1-4-29)进行说明。
 
    图1-4-29 H 2 -O 2 燃料电池的工作原理示意图
    负极反应:
     
   
    (在碱性溶液中为:
     
   
    正极反应:
     
   
    (在碱性溶液中:
     
   
    总反应为:
     
   
电池的热力学平衡电势为1.23V,实际上由于过电势、欧姆电势降等原因,工作电压随工作电流的增大而降低,例如 i =2A·dm -2 ,电压为0.9V。此时它的能量转换效率仍高达72%。由于在燃料电池中,燃料的化学能直接转化为电能,不经过热这一中间形式,故其能量转换效率一般都较高。燃料电池的实际效率可达50%~85%,而目前柴油发电机组的最高效率也只有40%左右。
H 2 -O 2 燃料电池目前已应用于航天、军事通信、电视中继站等领域,随着成本的下降和技术的提高,有望得到进一步的商业化作用。
微生物燃料电池是燃料电池中特殊的一类,它利用微生物作为反应主体,将燃料的化学能直接转化为电能。其工作原理与传统的燃料电池存在许多相同之处。
1911年植物学家Potter用酵母和大肠杆菌进行试验,发现微生物也可以产生电流。从此,开始了生物燃料电池的研究。现在,研究较多的微生物燃料电池是将发酵过程中产生氢气的微生物细胞直接固定在氢氧燃料电池的阳极,如将卷筒式的铂电极放入含有微生物的悬浮液中,悬浮液即与丙烯酰胺聚合形成凝胶。在电极表面进行的发酵过程可直接提供阳极所需的燃料氢气,而发酵过程的副产物则可作为次级燃料进一步被利用。例如产生的甲酸在凝胶中向阳极扩散,并在阳极发生电化学氧化生成氢离子和二氧化碳。对于上述体系,氢气是主要的发酵产物。但当发酵液通过阳极时,代谢产生的甲酸也作为燃料在阳极直接氧化,因此氢气并不是阳极电流的唯一来源。在最优化的操作条件下,含0.4g湿微生物细胞(相当于0.1g干细胞)的电池可以达到0.4V的输出电压和0.6mA的输出电流。
1991年,我国首创以铝-空气-海水为能源的新型电池,称为海洋电池。它是一种无污染、长效、稳定可靠的电源。海洋电池,是以铝合金为电池负极,金属(Pt、Fe)网为正极,用取之不尽的海水作为电解质溶液,靠海水中的溶解氧与铝反应产生电能的。海水中只含有0.5%的溶解氧,为获得这部分氧,将正极制成仿鱼鳃的网状结构,以增大表面积,吸收海水中的微量溶解氧。这些氧在海水电解液作用下与铝反应,源源不断地产生电能。两极反应为:
负极(Al):4Al-12e - =4Al 3+
正极(Pt或Fe等):3O 2 +6H 2 O+12e - =12OH -
总反应式:4Al+3O 2 +6H 2 O=4Al(OH) 3 ↓
海洋电池本身不含电解质溶液和正极活性物质,不放入海洋时,铝极就不会在空气中被氧化,可以长期储存。用时,把电池放入海水中,便可供电,其能量比干电池高20~50倍。
电池设计使用周期可长达一年以上,避免了经常更换电池的麻烦。即使更换,也只是换一块铝板,铝板的大小,可根据实际需要而定。
海洋电池没有怕压部件,在海洋下任何深度都可以正常工作。海洋电池,以海水为电解质溶液,不存在污染,是海洋用电设施的能源新秀。
液流电池是由Thaller(NASA Lewis ResearchCenter,Cleveland,United States)于1974年提出的一种电化学储能技术。液流储能电池系统由电堆单元、电解质溶液及电解质溶液储供单元、控制管理单元等部分组成。液流电池系统的核心是由电堆(电堆是由数十节一起进行氧化-还原反应)和实现充、放电过程的单电池按特定要求串联而成的,结构与燃料电池电堆相似。
图1-4-30是液流电池的原理图,正极和负极电解液分别装在两个储罐中,利用送液泵使电解液通过电池循环。在电堆内部,正、负极电解液用离子交换膜(或离子隔膜)分隔开,电池外接负载和电源。电堆和电解液储罐可以分别放置,因此可因地制宜放置。
 
    图1-4-30 液流电池原理图
从理论上讲,离子价态变化的离子对可以组成多种氧化还原液流电池。其中锌-溴电池(ZBB)、多硫化钠-溴电池(PSB)和全钒(VFB)液流电池最受关注。锌-溴液流电池具有较高的能量密度(可以达到70W·h/kg),且材料成本较低,ZBB能源公司是锌-溴液流电池的主要生产厂商。由于锌电极在充电过程中易形成树状结晶,导致其储能容量衰减快、使用寿命短,通常,锌-溴电池的额定工作电流密度为40mA/cm 2 ;且溴的强腐蚀性也使该型号电池的设计难度较大。多硫化钠-溴液流电池也具有材料成本低的优点,但长期使用正、负极电解液互串引起的容量和性能衰减问题难以解决,目前国内外对多硫化钠-溴液流电池的研究开发处于停滞状态。从目前发展看,全钒液流电池被认为是最具产业化前景的液流电池技术。
全钒液流电池(VFB)正极电对为VO 2+ /VO 2+ ,负极为V 2+ /V 3+ 。电解质在电池中循环。全钒液流电池充放电时,电极发生如下反应。
    正极:
     
   
    负极:
     
   
与其他储能电池相比,全钒液流电池有以下特点。
①电池的输出功率取决于电堆的大小和数量,储能容量取决于电解液容量和浓度,因此它的设计非常灵活,要增大输出功率,只要增加电堆的面积和电堆的数量,要增大储能容量,只要增加电解液的体积。
②全钒液流电池的活性物质为溶解于水溶液的不同价态的钒离子,在全钒液流电池充、放电过程中,仅离子价态发生变化,不发生相变化反应,充放电应答速度快。
③电解质金属离子只有钒离子一种,不会发生正、负电解液活性物质相互交叉污染的问题,电池使用寿命长,电解质溶液容易再生循环使用。
④充、放电性能好,可深度放电而不损坏电池,自放电低。在系统处于关闭模式时,储罐中的电解液无自放电现象。
⑤液流电池选址自由度大,系统可全自动封闭运行,无污染,维护简单,操作成本低。
⑥电解质溶液为水溶液,电池系统无潜在的爆炸或火灾危险,安全性高。
⑦电池部件多为廉价的碳材料、工程塑料,材料来源丰富,且在回收过程中不会产生污染,环境友好。
⑧能量效率高,可达70%,性价比高。
⑨启动速度快,如果电堆里充满电解液,可在2min内启动,在运行过程中充放电状态切换只需要0.02s。
⑩可实时、准确监控电池系统荷电状态(SOC),有利于电网进行管理、调度。全钒液流电池适用于调峰电源系统、大规模光伏电源系统、风能发电系统的储能以及不间断电源或应急电源系统。
超级电容器(supercapacitor,ultracapacitor)又叫双电层电容器(electrical double-layer capacitor)、电化学电容器(electrochemcial capacitor,EC)、黄金电容、法拉电容,通过极化电解质来储能。它是一种电化学元件,但在其储能的过程中并不发生化学反应,这种储能过程是可逆的,也正因为如此,超级电容器可以反复充放电数十万次。超级电容器可以被视为悬浮在电解质中的两个无反应活性的多孔电极板,在极板上加电,正极板吸引电解质中的负离子,负极板吸引正离子,实际上形成两个存储层,被分离开的正离子在负极板附近,负离子在正极板附近(见图1-4-31)。
 
    图1-4-31 超级电容器的结构
超级电容器是建立在德国物理学家亥姆霍兹提出的界面双电层理论基础上的一种全新的电容器。众所周知,插入电解质溶液中的金属电极表面与液面两侧会出现符号相反的过剩电荷,从而使相间产生电位差。那么,如果在电解液中同时插入两个电极,并在其间施加一个小于电解质溶液分解电压的电压,这时电解液中的正、负离子在电场的作用下会迅速向两极运动,并分别在两个电极的表面形成紧密的电荷层,即双电层。
它所形成的双电层和传统电容器中的电介质在电场作用下产生的极化电荷相似,从而产生电容效应,紧密的双电层近似于平板电容器,但是,由于紧密的电荷层间距离比普通电容器的电荷层间距离要小得多,因而具有比普通电容器更大的容量。
双电层电容器与铝电解电容器相比内阻较大,因此,可在无负载电阻情况下直接充电,如果出现过电压充电的情况,双电层电容器将会开路而不致损坏器件,这一特点与铝电解电容器的过电压击穿不同。同时,双电层电容器与可充电电池相比,可进行不限流充电,且充电次数可达10 6 次以上,因此双电层电容不但具有电容的特性,同时也具有电池的特性,是一种介于电池和电容之间的新型特殊元器件。
(1)工作原理
超级电容器是利用双电层原理的电容器。当外加电压加到超级电容器的两个极板上时,与普通电容器一样,正极板存储正电荷,负极板存储负电荷,在超级电容器的两极板上电荷产生的电场作用下,在电解液与电极间的界面上形成符号相反的电荷,以平衡电解液的内电场,这个电荷分布层叫做双电层,因此电容量非常大。当两极板间电势低于电解液的氧化还原电极电位时,电解液界面上的电荷不会脱离,超级电容器为正常工作状态(通常为3V以下);当电容器两端电压超过电解液的氧化还原电极电位时,电解液将分解,为非正常状态。由于随着超级电容器放电,正、负极板上的电荷被外电路泄放,电解液界面上的电荷相应减少。由此可以看出:超级电容器的充放电过程始终是物理过程,没有化学反应。因此性能是稳定的,与利用化学反应的蓄电池是不同的。
(2)应用领域
①税控机、税控加油机、真空开关、智能表、远程抄表系统、仪器仪表、数码相机、掌上电脑、电子门锁、程控交换机、无绳电话等的时钟芯片、静态随机存贮器、数据传输系统等微小电流供电的后备电源。
②智能表(智能电表、智能水表、智能煤气表、智能热量表)作电磁阀的启动电源。
③太阳能警示灯、航标灯等太阳能产品中代替充电电池。
④手摇发电手电筒等小型充电产品中代替充电电池。
⑤电动玩具电动机、语音IC、LED发光器等小功率电器的驱动电源。
⑥电动汽车的快速启动。
⑦电力系统中的电网改造 户外开关。
⑧风力发电时的海上风机。
(3)特性
超级电容器在分离出的电荷中存储能量,用于存储电荷的面积越大、分离出的电荷越密集,其电容量越大。传统电容器的面积是导体的平板面积,为了获得较大的容量,导体材料卷制得很长,有时用特殊的组织结构来增加它的表面积。传统电容器是用绝缘材料分离它的两极板,一般为塑料薄膜、纸等,这些材料通常要求尽可能地薄。超级电容器的面积是基于多孔碳材料的,该材料的多孔结构允许其面积达到2000m 2 ·g -1 ,通过一些措施可得到更大的表面积。超级电容器电荷分离开的距离是由被吸引到带电电极的电解质离子尺寸决定的。该距离比传统电容器薄膜材料所能获得的距离更小。这种庞大的表面积再加上非常小的电荷分离距离使得超级电容器较传统电容器而言有惊人的大静电容量,这也是其“超级”所在。
(4)技术特性
①充电速度快,充电10s~10min可达到其额定容量的95%以上。
②循环使用寿命长,深度充放电循环使用次数可达(1~50)万次。
③能量转换效率高,过程损失小,大电流能量循环效率≥90%。
④功率密度高,可达300~5000W·kg -1 ,相当于电池的5~10倍。
⑤产品原材料构成、生产、使用、储存以及拆解过程均没有污染,是理想的绿色环保电源。
⑥安全系数高,长期使用免维护。
⑦超低温特性好,可工作于-30℃的环境中。
⑧检测方便,剩余电量可直接读出。
(5)分类
①按原理分为双电层型超级电容器和赝电容型超级电容器。
a.双电层型超级电容器
(a)活性炭电极材料,采用了高比表面积的活性炭材料经过成形制备电极。
(b)碳纤维电极材料,采用活性碳纤维成形材料,如布、毡等经过增强、喷涂或熔融金属增强其导电性以制备电极。
(c)碳气凝胶电极材料,采用前驱材料制备凝胶,经过炭化活化得到电极材料。
(d)碳纳米管电极材料,碳纳米管具有极好的中孔性能和导电性,采用高比表面积的碳纳米管材料,可以制得非常优良的超级电容器电极。
以上电极材料可以制成以下两种电容器。
(a)平板型超级电容器 在扣式体系中多采用平板状和圆片状的电极,另外也有Econd公司的产品为典型代表的多层叠片串联组合而成的高压超级电容器,可以达到300V以上的工作电压。
(b)绕卷型溶剂电容器 采用电极材料涂覆在集流体上,经过绕制得到,这类电容器通常具有更大的电容量和更高的功率密度。
b.赝电容型超级电容器 包括金属氧化物电极材料与导电聚合物电极材料。金属氧化物材料包括NiO x 、MnO 2 、V 2 O 5 等,作为正极材料,活性炭作为负极材料,制备超级电容器。导电聚合物材料包括PPY、PTH、PAni、PAS、PFPT等经P型、N型或P/N型掺杂制取电极,以此制备超级电容器。这一类型的超级电容器具有非常高的能量密度,除NiO x 型外,其他类型多处于研究阶段,还没有实现产业化。
②按电解质类型可以分为水性电解质和有机电解质。
a.水性电解质
(a)酸性电解质 多采用36%的H 2 SO 4 水溶液作为电解质。
(b)碱性电解质 通常采用KOH、NaOH等强碱作为电解质,水作为溶剂。
(c)中性电解质 通常采用KCl、NaCl等盐作为电解质,水作为溶剂,多用于氧化锰电极材料的电解液。
b.有机电解质 通常采用以LiClO 4 为典型代表的锂盐、以TEABF 4 为典型代表的季铵盐等作为电解质,有机溶剂如PC、ACN、GBL、THL等作为溶剂,电解质在溶剂中接近饱和溶解度。
(6)充放电时间
超级电容器可以快速充放电,峰值电流仅受其内阻限制,甚至短路也不是致命的。实际上取决于电容器单体大小,对于匹配负载,小单体可放10A,大单体可放1000A。另一放电率的限制条件是热,反复地以剧烈的速率放电将使电容器温度升高,最终导致断路。
超级电容器的电阻阻碍其快速放电,超级电容器的时间常数 τ 为1~2s,完全给阻-容式电路放电大约需要5 τ ,也就是说如果短路放电大约需要5~10s(由于电极的特殊结构,它们实际上得花上数个小时才能将残留的电荷完全释放)。
(7)与电池的比较
超级电容器不同于电池,在某些应用领域,它可能优于电池。有时将两者结合起来,将电容器的功率特性和电池的高能量存储结合起来,不失为一种更好的途径。
超级电容器在其额定电压范围内可以被充电至任意电位,且可以完全放出。而电池则受自身化学反应限制工作在较窄的电压范围内,如果过放,可能会造成永久性破坏。
超级电容器的荷电状态(SoC)与电压构成简单的函数,而电池的荷电状态则包括多样复杂的换算。
超级电容器与其体积相当的传统电容器相比可以存储更多的能量,电池与其体积相当的超级电容器相比可以存储更多的能量。在一些功率决定能量存储器件尺寸的应用中,超级电容器是一种更好的途径。
超级电容器可以反复传输能量脉冲而无任何不利影响,相反,如果电池反复传输高功率脉冲,其寿命将大打折扣。超级电容器可以快速充电而电池快速充电则会受到损害。超级电容器可以反复循环数十万次,而电池寿命仅几百个循环。
(8)工艺流程
超级电容器的工艺流程为:配料→混浆→制电极→裁片→组装→注液→活化→检测→包装。
超级电容器在结构上与电解电容器非常相似,它们的主要区别在于电极材料。早期的超级电容器的电极采用炭,炭电极材料的表面积很大,电容的大小取决于表面积和电极之间的距离,这种炭电极的大表面积再加上很小的电极距离,使超级电容器的容值可以非常大,大多数超级电容器可以做到法拉级,一般情况下容值范围可达1~5000F。
超级电容器通常包含双电极、电解质、集流体、隔离物四个部件。超级电容器是利用活性炭多孔电极和电解质组成的双电层结构获得超大的电容量的。在超级电容器中,采用活性炭材料制作成多孔电极,同时在相对的两个多孔炭电极之间充填电解质溶液,当在两端施加电压时,相对的多孔电极上分别聚集正、负电子,而电解质溶液中的正、负离子将由于受电场作用分别聚集到与正、负极板相对的界面上,从而形成双集电层。
(1)工作原理
电化学传感器通过与被测气体发生反应并产生与气体浓度成正比的电信号来工作。典型的电化学传感器由传感电极(或工作电极)和反电极组成,并由一个薄电解层隔开。
气体首先通过微小的毛管开孔与传感器发生反应,然后是憎水屏障,最终到达电极表面。采用这种方法可以允许适量气体与传感电极发生反应,以形成充分的电信号,同时防止电解质漏出传感器。
穿过屏障扩散的气体与传感电极发生反应,传感电极可以采用氧化机理或还原机理。这些反应由针对被测气体而设计的电极材料进行催化。
通过电极间连接的电阻器,与被测气体浓度成正比的电流会在正极与负极间流动。测量该电流即可确定气体浓度。由于该过程中会产生电流,电化学传感器又常被称为电流气体传感器或微型燃料电池。
在实际中,由于电极表面连续发生电化学反应,传感电极电势并不能保持恒定,在经过较长一段时间后,它会导致传感器性能退化。为改善传感器性能,人们引入了参考电极。参考电极安装在电解质中,与传感电极邻近。固定的稳定恒电势作用于传感电极。参考电极可以保持传感电极上的这种固定电压值。参考电极间没有电流流动。气体分子与传感电极发生反应,同时测量反电极,测量结果通常与气体浓度直接相关。施加于传感电极的电压值可以使传感器针对目标气体。
(2)基本结构
电化学传感器包含以下主要元件。
①透气膜(也称为憎水膜) 透气膜用于覆盖传感(催化)电极,在有些情况下用于控制到达电极表面的气体分子量。此类屏障通常采用低孔隙率特氟隆薄膜制成。这类传感器称为镀膜传感器。或者,也可以用高孔隙率特氟隆膜覆盖,而用毛管控制到达电极表面的气体分子量。此类传感器称为毛管型传感器。除为传感器提供机械性保护之外,薄膜还具有滤除不需要的粒子的功能。为传送正确的气体分子量,需要选择正确的薄膜及毛管的孔径尺寸。孔径尺寸应能够允许足量的气体分子到达传感电极。孔径尺寸还应该防止液态电解质泄漏或迅速燥结。
②电极 选择电极材料很重要。电极材料应该是一种催化材料,能够在长时间内执行半电解反应。通常,电极采用贵金属制造,如铂或金,在催化后与气体分子发生有效反应。视传感器的设计而定,为完成电解反应,三种电极可以采用不同材料来制作。
③电解质 电解质必须能够促进电解反应,并有效地将离子电荷传送到电极。它还必须与参考电极形成稳定的参考电势并与传感器内使用的材料兼容。如果电解质蒸发过于迅速,传感器信号会减弱。
④过滤器 有时候传感器前方会安装洗涤式过滤器以滤除不需要的气体。过滤器的选择范围有限,每种过滤器均有不同的效率度数。多数常用的滤材是活性炭,活性炭可以滤除多数化学物质,但不能滤除一氧化碳。通过选择正确的滤材,电化学传感器对其目标气体可以具有更高的选择性。
(3)影响因素
①压力 电化学传感器受压力变化的影响极小。然而,由于传感器内的压差可能损坏传感器,因此整个传感器必须保持相同的压力。
②温度 电化学传感器对温度也非常敏感,因此通常采取内部温度补偿。但最好尽量保持标准温度。一般而言,在温度高于25°C时,传感器读数较高;低于25°C时,读数较低。温度影响通常为每摄氏度0.5%~1.0%,视制造商和传感器类型而定。
③目标气体 电化学传感器通常对其目标气体具有较高的选择性。选择性的高低取决于传感器类型、目标气体以及传感器要检测的气体浓度。最好的电化学传感器是检测氧气的传感器,它具有良好的选择性、可靠性和较长的预期寿命。其他电化学传感器容易受到其他气体的干扰。干扰数据是利用相对较低的气体浓度计算得出的。在实际应用中,干扰浓度可能很高,会导致读数错误或误报警。
电化学传感器的预期寿命取决于几个因素,包括要检测的气体和传感器的使用环境条件。一般而言,规定的预期寿命为1~3年。在实际中,预期寿命主要取决于传感器使用中所暴露的气体总量以及其他环境条件,如温度、压力和湿度。
电化学传感器对工作电源的要求很低。实际上,在气体监测可用的所有传感器类型中,它们的功耗是最低的。因此,这种传感器广泛用于包含多个传感器的移动仪器中。它们是有限空间应用场合中使用最多的传感器。