



【学习目标】
掌握酸碱滴定各种类型的滴定曲线、指示剂选择的方法;滴定液配制与标定的方法。
熟悉酸碱指示剂的变色原理及其变色范围。
了解酸碱滴定法的应用实例。
引 子
酸碱滴定法在医药卫生等方面都有非常重要的意义。如测定血液中
的含量,供临床诊断参考;测定药物活性成分的含量,如阿司匹林中的乙酰水杨酸及用于药物合成的药物添加剂的含量测定和纯度控制,它是医药行业用得最多的滴定。一个典型的例子就是盐酸麻黄碱的纯度控制。该成分通常出现在咳嗽糖浆中,用以治疗支气管哮喘。其含量的测定就是用酸碱滴定法进行测定。
酸碱滴定法是以酸碱反应为基础的滴定分析方法,包括水溶液和非水溶液中进行的酸碱滴定法两大类。一般酸、碱及能与酸、碱直接或间接发生质子转移反应的物质都可以用酸碱滴定法测定,酸碱滴定法是滴定分析法中重要的分析方法之一,应用十分广泛,是化学分析法中最常用的分析方法。
本章重点讨论酸碱指示剂及其选择、酸碱滴定的理论和应用等问题。
酸碱指示剂是一类在特定pH范围内,由于自身结构改变而显示不同颜色的有机物。大多是一些结构比较复杂的有机弱酸或有机弱碱。其共轭碱酸对具有不同的结构,并且呈现不同的颜色。当溶液的pH改变时,指示剂失去或得到质子,其结构随之发生转变,引起颜色的变化。
例如,甲基橙是一种双色指示剂,其结构为有机弱碱。在溶液中的解离平衡及相应的颜色变化如下:
当溶液酸度增大时,甲基橙主要以醌式偶极离子存在,溶液呈红色;当溶液酸度减小时,平衡向左移动至一定程度后,甲基橙主要以偶氮结构存在,溶液呈黄色。
又例如,酚酞是一种单色指示剂,其结构为有机弱酸,在溶液中的解离平衡及相应的颜色变化为:
当溶液酸度增大时,酚酞主要以酸式结构存在,溶液无色;当溶液酸度减小时,酚酞主要以碱式结构(醌型)存在,溶液呈红色。
综上所述,酸碱指示剂的变色原理是基于溶液pH的变化,导致指示剂的结构变化,从而引起溶液的颜色发生改变。
溶液pH的变化使指示剂共轭酸碱的解离平衡发生移动,致使颜色变化。但由于肉眼观察颜色的局限性,只有当溶液的pH改变到一定范围,才能明显看到指示剂的颜色变化。
现以弱酸指示剂(HIn)为例,说明指示剂的变色与溶液中pH之间的数量关系。HIn在溶液中存在下列解离平衡:
K HIn 为指示剂的解离平衡常数,又称为指示剂常数。在一定温度下, K HIn 为常数。
理论上,当
时,可以看到指示剂的酸式色;而当
时,可以看到指示剂的碱式色。但由于肉眼观察的局限性,则必须在
时,才能看到该指示剂的酸式色,即HIn的颜色,而看不到其碱式色,即In
-
的颜色;同理,当
时,肉眼才能看到该指示剂In
-
的颜色,而看不到HIn的颜色。
可见,肉眼只能在一定浓度范围内看到指示剂的颜色变化。这一范围是:
式4-2表示,pH≥p K HIn +1时,溶液只显示指示剂的碱式色;pH≤pK HIn -1时,溶液只显示指示剂的酸式色。只有溶液的pH从p K HIn -1变化到p K HIn +1后,肉眼才能看到指示剂的颜色变化。故pH=p K HIn ±1称为指示剂的理论变色范围。当 [HIn]=[In - ]时,则溶液的 [H + ]= K HIn ,即pH=p K HIn ,这是酸式色和碱式色浓度相等时的pH,称为指示剂的理论变色点。
不同的指示剂p K HIn 不同,因此其变色范围各不相同。由于肉眼对各种颜色敏感程度不同,实际观察到的指示剂变色范围与理论变色范围存在一定的差别。如甲基橙的p K HIn =3.4,其理论变色范围为pH=2.4~4.4,由于肉眼对红色比黄色更加敏感,其实际变色范围为3.1~4.4。实际应用中,使用的均为由实验测得的指示剂的实际变色范围。常用酸碱指示剂的变色范围见表4-1。
表4-1 常用酸碱指示剂的pK HIn 及变色范围
续 表
为了在化学计量点时,当pH稍有改变,指示剂即由一种颜色变到另一种颜色,使滴定终点更接近于化学计量点,因此指示剂的变色范围应越窄越好。但影响指示剂变色范围的因素是多方面的。现分别讨论如下:
1.温度 指示剂的解离常数 K HIn 随着温度的改变而发生变化,因而指示剂的变色范围也随之发生改变。例如,酚酞在18℃时,其pH的变色范围为8.0~10.0,而在100℃时为8.0~9.2。
2.指示剂的用量 指示剂本身是弱酸或者弱碱,在滴定过程中也要消耗一定量的滴定液,因而指示剂的用量一定要适当。当指示剂浓度过大时将导致终点颜色变化不敏锐,变色范围变宽。如酚酞,在50~100mL溶液中,加入0.1%酚酞指示剂2~3滴,在pH=9.0时出现红色;在同样条件下,加入10~15滴,则在pH=8.0时即出现红色。当指示剂用量太少时,则颜色太浅,不易观察到颜色变化。
3.溶剂 指示剂在不同的溶剂中 K HIn 不同,其变色范围也不同。例如,甲基橙在水溶液中的p K HIn =3.4,而在甲醇中的p K HIn =3.8。
4.滴定程序 滴定程序与指示剂的选用有关系,如果指示剂使用不当,会影响变色的敏锐性。一般溶液由浅色变为深色,或由无色变为有色时,肉眼更易辨认。例如,酚酞由酸式结构变为碱式结构,颜色变化明显,易辨别。
在某些酸碱滴定中,pH突跃范围很窄,使用一般指示剂难以准确判断终点,可采用混合指示剂。
混合指示剂具有变色范围窄、变色敏锐的特点。通常可分为两类,一类是在某种指示剂中加入一种惰性染料,因颜色互补使变色敏锐。例如,由甲基橙和靛蓝组成的混合指示剂,靛蓝的颜色不随溶液的pH改变而变化,只作甲基橙的蓝色背景,在滴定过程中随溶液pH的变化而发生如下颜色变化。
可见,甲基橙由黄(红)色变到红(黄)色时,有一过渡色橙色较难辨认;而甲基橙-靛蓝混合指示剂,由绿色(或紫色)变化为浅灰色,再到紫色(绿色),中间呈近于无色的浅灰色,变色范围窄,终点颜色变化非常敏锐。
另一类是由p K HIn 接近的两种或两种以上的指示剂按一定比例混合而成,由于颜色互补的原理使变色范围变窄,颜色变化更敏锐。例如溴甲酚绿(p K HIn 为4.9,pH变色范围4.0~5.6,颜色变化黄~蓝)和甲基红(p K HIn 为5.2,pH变色范围4.4~6.2,颜色变化红~黄)按3∶1混合后,在pH小于5.2时溶液显酒红色;在pH大于5.2时溶液显绿色;而在pH为5.2时二者发生颜色互补,显浅灰色。溶液pH由4.9变为5.2时,颜色发生突变,由酒红色变为绿色,变色十分敏锐。常用的酸碱混合指示剂见表4-2。
表4-2 常用的混合指示剂
酸碱滴定的关键是滴定终点的确定,而滴定终点通常是通过指示剂变色来指示的,而指示剂变色与溶液的pH有关。要了解待测物质能否被准确滴定和如何选择合适的指示剂指示化学计量点,则必须了解滴定反应过程中溶液酸度的变化规律,尤其是在计量点前后±0.1%的相对误差范围内溶液的pH变化情况。因为在此pH范围内发生颜色变化的指示剂,才符合滴定分析误差的要求。
在酸碱滴定过程中,以加入滴定液的体积为横坐标,以溶液的pH为纵坐标而绘制的曲线称为酸碱滴定曲线,它能很好地描述滴定过程中溶液的pH变化情况。下面按照不同类型的酸碱反应分别进行讨论。
强酸、强碱在稀溶液中是全部解离的,因此,强酸与强碱的滴定反应完全,强酸与强碱相互滴定的基本反应为:
H
+
+OH
-
H
2
O
现以浓度为0.1000mol·L -1 的NaOH滴定20mL 0.1000mol·L -1 的HCl为例,讨论滴定过程中溶液pH的变化情况。滴定过程可分为四个阶段:
1.滴定开始前 溶液的pH取决于HCl的原始浓度。
[H + ]=0.1000mol·L -1 ,pH=lg[H + ]=lg0.1000=1.00
2.滴定开始至化学计量点前 溶液的pH取决于剩余HCl的量和溶液的体积,即:
例如,当滴入NaOH溶液19.98mL,即化学计量点前0.1%时,
3.化学计量点时 当滴入NaOH20.00mL时,溶液中的HCl恰好被完全中和,溶液呈中性。
[H + ]=[OH - ]=1.00×10 -7 (mol·L -1 )pH=7.00
4.化学计量点后 溶液的pH由过量的NaOH的量和溶液的体积决定,即:
例如,当滴入NaOH溶液20.02mL,即化学计量点后0.1%时,
如此逐一计算滴定过程中的pH,计算结果列于表4-3。
表4-3 0.1000mol·L -1 NaOH滴定0.1000mol·L -1 HCl(20.00mL)溶液的pH变化
若以加入NaOH的体积为横坐标,以溶液的pH为纵坐标作图,可得强碱滴定强酸的滴定曲线,如图4-1所示。
图4-1 0.1000mol·L -1 NaOH滴定0.1000mol·L -1 HCl(20.00mL)溶液的滴定曲线
从表4-3和图4-1可以看出:
(1)在滴定开始时,pH变化较小,至加入NaOH滴定液19.98mL时,溶液的pH仅改变了3.30个pH单位,曲线比较平坦。这是由于溶液中存在着较多的HCl,酸度较大,因此pH变化缓慢。
(2)当 NaOH滴定液从 19.98mL增加到20.02mL,即在化学计量点前后±0.1%范围内,仅加入NaOH 0.04mL(1滴)时,溶液的pH值就由4.30急剧变化至9.70,改变了5.40个pH单位,溶液由酸性突变到碱性。由图4-1可以看出,在计量点前后曲线呈近似垂直的一段,表明溶液的pH发生了急剧变化。这种在化学计量点附近溶液的pH的突变称为滴定突跃,滴定突跃所在的pH范围称为滴定突跃范围。
(3)化学计量点时pH=7.00。强酸强碱滴定的化学计量点溶液呈中性。
(4)此后再继续滴加NaOH,溶液的pH变化又很缓慢,曲线趋于平坦。
滴定突跃具有十分重要的实际意义,它是选择指示剂的依据。理想的指示剂应恰好在化学计量点变色,但实际上这样的指示剂很难找到。因此凡是变色范围全部或部分处在滴定突跃范围内的指示剂,都可以用来指示滴定终点。例如,以上滴定突跃范围是4.30~9.70,可选甲基橙、甲基红、酚酞等作指示剂。
如果用0.1000mol·L -1 HCl滴定0.1000mol·L -1 NaOH,滴定曲线恰好与图4-1对称,但pH变化方向相反,滴定突跃范围为9.70~4.30,也可选酚酞、甲基红、甲基橙等作指示剂,但终点颜色变化不同。
图4-2是三种不同浓度的NaOH溶液滴定不同浓度的HCl溶液的滴定曲线。由图可见,滴定突跃的大小与溶液的浓度有关,浓度越大,滴定突跃范围越大,可供选用的指示剂越多;浓度越小,滴定突跃范围越小,可供选用的指示剂越少。例如NaOH溶液(0.01mol·L -1 )滴定 HCl溶液(0.01mol·L -1 ),滴定突跃范围的pH为5.30~8.70,可选甲基红、酚酞作指示剂,但却不能选甲基橙作指示剂,否则会超过滴定分析的误差。当溶液浓度低于10 -4 mol·L -1 时,无明显的滴定突跃,无法选择适当的指示剂。如果溶液浓度太高,虽然滴定突跃大,但引起的滴定误差也较大。故在酸碱滴定中一般滴定液浓度控制在0.1~0.5mol·L -1 较适宜。
图4-2 不同浓度的NaOH溶液滴定不同浓度的HCl溶液的滴定曲线
这类滴定包括强酸滴定一元弱碱和强碱滴定一元弱酸。滴定反应式分别为:
OH
-
+HA
A
-
+H
2
O
H
+
+B
HB
+
1.强碱滴定弱酸 以0.1000mol·L -1 NaOH滴定20.00mL 0.1000mol·L -1 HAc溶液为例,说明强碱滴定弱酸过程中溶液pH的变化情况,滴定反应为:
OH
-
+HAc
Ac
-
+H
2
O
滴定过程分为四个阶段:
(1)滴定开始前 溶液组成为HAc,溶液的H + 主要来自于HAc的解离。弱酸溶液中的 [H + ]计算公式:
(2)滴定开始至化学计量点前 随着NaOH的加入,溶液的组成为HAc-NaAc缓冲体系,溶液的pH可根据缓冲溶液公式计算:
当加入NaOH溶液19.98mL即化学计量点前0.1%时,生成1.998mmol NaAc,剩余0.002mmol HAc,此时溶液pH=7.76。
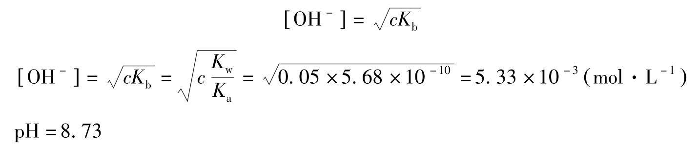
(3)化学计量点时 NaOH与HAc全部反应,溶液组成为NaAc。由于Ac - 为弱碱,因此溶液pH按一元弱碱溶液pH的最简式进行计算:
(4)化学计量点后 溶液组成为NaAc+NaOH,由于NaOH过量,抑制了Ac - 的水解,应根据过量的NaOH计算溶液的pH。
当加入NaOH溶液20.02mL,即化学计量点后0.1%时,pH=9.70。
如此逐一计算滴定过程中各点的pH,将计算结果列于表4-4。绘制滴定曲线如图4-3所示。
图4-3 0.1000mol·L -1 NaOH滴定0.1000mol·L -1 HAc(20.00mL)的滴定曲线
表4-4 用NaOH (0.1000mol·L -1 )滴定20.00mL HAc(0.1000mol·L -1 )溶液的pH变化
续 表
比较图4-1和图4-3,可以看出强碱滴定弱酸有如下特点:
①滴定曲线起点pH高。因为HAc是弱酸,溶液中部分解离,因此 H + []低,pH高。
②滴定开始至化学计量点前的曲线变化复杂。化学计量点前,由于NaAc的不断生成,在溶液中形成了HAc-NaAc的缓冲体系,pH增加较慢,曲线较为平坦。当接近化学计量点时,溶液中的HAc已很少,溶液缓冲能力减弱,pH增加变快。
③化学计量点时pH=8.73,溶液呈碱性。化学计量点时溶液组成为NaAc,溶液呈碱性。
④滴定突跃范围小。滴定突跃pH范围为7.76~9.70,比强碱强酸滴定突跃小很多。根据选择指示剂的原则,只能选用碱性区域内变色的指示剂,如酚酞或百里酚酞。
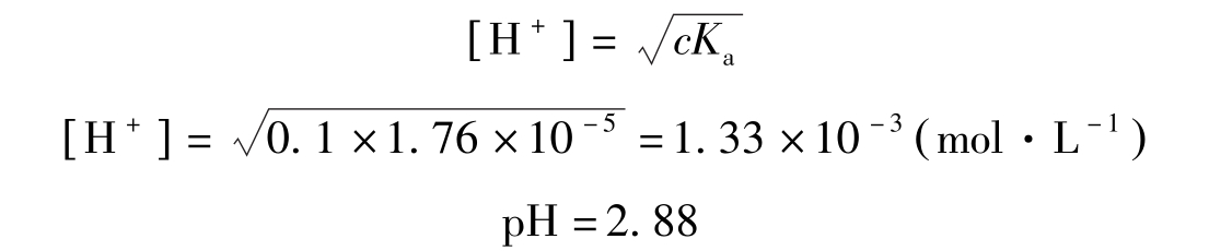
2.强酸滴定弱碱 以 0.1000mol·L -1 HCl滴定 0.1000mol·L -1 NH 3 ·H 2 O(20.00mL)为例,讨论强酸滴定一元弱碱溶液的pH变化。滴定反应:
与强碱滴定弱酸比较,pH的变化方向相反。由于滴定产物是NH 4 Cl,化学计量点与突跃范围都在酸性区域内(pH值6.24~4.30),故应选用酸性区域变色的指示剂。
一元弱酸(弱碱)的滴定突跃大小,取决于弱酸(碱)的强度和溶液的浓度两个因素。
1.弱酸(弱碱)的强度 用0.1000mol·L -1 的NaOH滴定不同强度的0.1000mol·L -1 的一元弱酸,绘制滴定曲线如图4-4所示。当弱酸浓度一定时, K a 越大,滴定突跃范围越大,反之越小。当 K a <10 -9 时,即使弱酸浓度为1mol·L -1 ,也无明显的突跃。
图4-4 0.1000mol·L -1 NaOH滴定不同强度一元弱酸的滴定曲线
2.溶液的浓度 弱酸、弱碱的解离常数K a 、K b 一定时,其浓度越大,滴定突跃范围越大。
综上所述,用强碱滴定弱酸是有条件的。一般情况下,滴定液的浓度为0.1000mol·L -1 ,因此当弱酸的 cK a ≥1.0×10 -8 时,才能用强碱准确滴定。同理,只有当弱碱的 cK b ≥1.0×10 -8 ,才能用强酸准确滴定。
必须指出,如果用弱酸和弱碱来相互滴定,因无明显的滴定突跃,无法用一般的指示剂指示滴定终点。故在酸碱滴定中,一般用强碱和强酸作滴定液。
常见的多元酸除H 2 SO 4 外,多数是弱酸,在水溶液中分步解离。在滴定多元酸中,主要涉及三个问题:首先是多元酸中每级解离H + 能否与被滴定液准确滴定;其次是相邻两级解离的H + 能否被分步滴定;三是如何选择指示剂。以二元弱酸H 2 A为例:
1.若 cK a1 ≥1.0×10 -8 , cK a2 ≥1.0×10 -8 ,且 K a1 /K a2 >10 4 时,则两级解离的H + 均可被准确滴定,而且可以分步滴定,即可形成两个突跃。
2.若 cK a1 ≥1.0×10 -8 , cK a2 ≥1.0×10 -8 ,且 K a1 /K a2 <10 4 时,则两级解离的H + 均可被准确滴定,但不可以分步滴定,只形成一个突跃。
3.若 cK a1 ≥1.0×10 -8 , cK a2 <1.0×10 -8 ,则只能准确滴定第一级解离的H + ,形成一个突跃。第二级解离的H + 不能准确滴定。
例如:H 3 PO 4 在水溶液中分三步解离:
因 K a3 太小,不能被准确滴定。可见用NaOH滴定H 3 PO 4 时,只有两个滴定突跃,其滴定反应为:
H
3
PO
4
+NaOH
NaH
2
PO
4
+H
2
O
NaH
2
PO
4
+NaOH
Na
2
HPO
4
+H
2
O
用pH计记录滴定过程中pH的变化,得NaOH滴定H 3 PO 4 的滴定曲线如图4-5所示。
图4-5 NaOH溶液滴定H 3 PO 4 溶液的滴定曲线
在实际工作中,一般根据化学计量点时生成物的酸碱性作为选择指示剂的依据。例如,用NaOH滴定H 3 PO 4 时,第一计量点生成物为NaH 2 PO 4 ,其呈酸性,故可选择甲基橙或甲基红为指示剂;第二计量点生成物为Na 2 HPO 4 ,其呈碱性,故可选择酚酞为指示剂。
多元碱的滴定方法与多元酸的滴定类似,所以,多元酸分步滴定的结论同样适用于多元碱的滴定,只需将 K a 换成 K b 即可。
现以HCl滴定Na 2 CO 3 为例。Na 2 CO 3 为二元碱,用HCl滴定反应式如下:
HCl+Na
2
CO
3
NaHCO
3
+H
2
O
K
b1
=2.1×10
-4
HCl+NaHCO
3
NaCl+H
2
CO
3
K
b2
=2.2×10
-8
滴定曲线如图4-6所示。
图4-6 HCl溶液滴定Na 2 CO 3 溶液的滴定曲线
第一计量点生成物为NaHCO 3 ,其呈碱性,故可选酚酞为指示剂;第二计量点生成物为H 2 CO 3 ,其呈酸性,故可选择甲基橙为指示剂。
酸碱滴定中的滴定液一般是HCl和NaOH,其浓度在0.01~1mol·L -1 之间,最常用的浓度是0.1mol·L -1 。因HCl具有挥发性,NaOH易吸收空气中的CO 2 和H 2 O,只能采用间接法配制。
1.0.1mol·L -1 盐酸滴定液配制 市售浓HCl的密度为1.19,质量分数为0.37,物质的量浓度约为12mol·L -1 。
配制浓度为0.1mol·L -1 HCl滴定液1000mL应取浓HCl的体积为:
因HCl易挥发,配制时应比计算量多取些,一般取9mL。
2.0.1mol·L -1 盐酸滴定液的标定 标定HCl常用的基准物质是无水碳酸钠或硼砂,以无水碳酸钠为例,标定反应如下:
2HCl+Na
2
CO
3
2NaCl+H
2
CO
3
精密称取在270~300℃干燥至恒重的基准无水碳酸钠约0.12g,置于250mL锥形瓶中,加50mL水溶解后,加甲基红-溴甲酚绿混合指示剂10滴,用待标定的HCl滴定液滴定至溶液由绿变紫红色,煮沸约2分钟,冷却至室温,继续滴定至暗紫色,即为终点。记录所消耗HCl溶液的体积。平行测定3次。按下式计算盐酸溶液的浓度:
1.0.1mol·L -1 氢氧化钠滴定液的配制 NaOH易吸收空气中的水分,并与CO 2 反应生成Na 2 CO 3 ,因Na 2 CO 3 在饱和的NaOH溶液中不溶解,故在实际应用中先配制NaOH饱和溶液,再取适量饱和溶液稀释到所需浓度和体积。取氢氧化钠适量,加水振摇使溶解成饱和溶液,冷却后,置聚乙烯塑料瓶中,静置数日,澄清后备用。配制时取上清液,饱和NaOH溶液浓度为20mol·L -1 。如果配制0.1mol·L -1 NaOH溶液1000mL,应取饱和NaOH溶液的体积为:
实际操作时,一般比计算量多取些,取澄清的氢氧化钠饱和溶液5.6mL,加新沸过的冷纯化水使成1000mL,摇匀待标定。
2.0.1mol·L -1 氢氧化钠滴定液的标定 标定NaOH滴定液常用的基准物质为邻苯二甲酸氢钾或草酸。以邻苯二甲酸氢钾为例,标定反应如下:
取在105℃干燥至恒重的基准邻苯二甲酸氢钾约0.5g,精密称定,加新沸过的冷纯化水50mL,振摇,使其溶解,加酚酞指示液2滴,用待标定的NaOH滴定液滴定至溶液显粉红色。平行测定3次,按下式计算NaOH滴定液的浓度:
酸碱滴定法应用范围极其广泛,能测定酸、碱及能与酸碱起反应的物质,许多药品如阿司匹林、药用硼砂、药用NaOH及铵盐和血浆中CO 2 等,都可用酸碱滴定法测定。下面按滴定方法不同分别介绍。
凡能溶于水或其中被测组分可溶于水,且 cK a ≥1.0×10 -8 的强酸、弱酸及多元酸、混合酸都可以用碱滴定液直接滴定;同样, cK b ≥1.0×10 -8 的强碱、弱碱及多元碱、混合碱都可以用酸滴定液直接滴定。
乙酰水杨酸(阿司匹林)是常用的解热镇痛药,属芳酸酯类结构,分子结构中含有羧基,在溶液中可解离出H + ( K a =3.24×10 -4 ),故可用碱滴定液直接滴定,以酚酞为指示剂,其滴定反应为:
精密称取样品约0.4g,加20mL中性乙醇,溶解后,加酚酞指示液3滴,在10℃以下,用氢氧化钠滴定液滴定至溶液显粉红色。乙酰水杨酸的含量可按下式计算:
为防止乙酰水杨酸分子中的酯结构水解而使测定结果偏高,滴定应在中性乙醇溶液中进行,并注意滴定时应保持温度在10℃以下,并在振摇下快速滴定。
1.双指示剂法 药用氢氧化钠易吸收空气中的CO 2 ,形成NaOH和Na 2 CO 3 的混合物。因此,用盐酸滴定液滴定时,NaOH和Na 2 CO 3 可同时被滴定。由于滴定碳酸盐有两个化学计量点,可采用双指示剂滴定法将它们的含量分别测定。滴定过程分解示意如下:
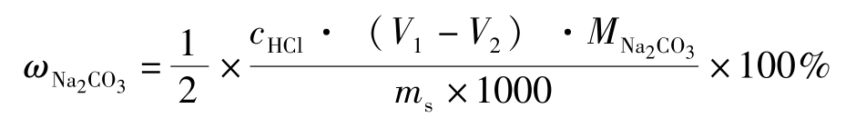
首先用酚酞指示剂,用盐酸滴定液滴定至溶液红色消失,记下消耗的盐酸滴定液的体积 V 1 ;再加甲基橙指示液2滴,继续用盐酸滴定液滴定至溶液显持续的橙色,记下消耗的盐酸滴定液的体积 V 2 。NaOH和Na 2 CO 3 的含量可分别按下式计算:
双指示剂法操作简便,但误差较大,若要提高准确度,可用氯化钡法。
2.氯化钡法 准确称取一定量试样,溶解后稀释至一定体积,吸取相同两份。
第一份试液以甲基橙作指示剂,用HCl滴定液滴定至橙色,所消耗HCl的体积记为 V 1 mL,此时溶液中的NaOH与Na 2 CO 3 完全被中和,测得的是总碱。发生的反应为:
HCl+NaOH
NaCl+H
2
O
2HCl+Na
2
CO
3
2NaCl+H
2
CO
3
第二份试液中加入稍过量的BaCl 2 ,全部碳酸盐转化成BaCO 3 沉淀。以酚酞作指示剂,用HCl滴定液滴定至红色褪去,记录消耗的HCl的体积为 V 2 mL,此时测得的是混合碱中的NaOH。因此,滴定Na 2 CO 3 消耗HCl的体积为( V 1 - V 2 )mL。按下式计算:
某些物质虽具有酸碱性,但因难溶于水,不能用强酸强碱直接滴定,需用返滴定法来间接滴定,如苦参碱、ZnO等的测定;有些物质酸碱性很弱,不能直接滴定,但可通过反应增强其酸碱性后予以滴定,如H 3 BO 4 的含量测定、含氮化合物中氮的测定等。
某些有机化合物常需要测定其氮的含量,首先将试样进行适当的处理,使试样中各种形式的氮都转换为氨态氮,然后进行测定。
是弱酸,其
cK
a
<1.0×10
-8
,因此NH
4
Cl、(NH
4
)
2
SO
4
等不能直接用碱滴定。通常用下述三种方法进行测定。
1.蒸馏法
(1)加入过量NaOH,加热煮沸将NH 3 蒸出,反应为:
(2)加入H 3 BO 3 溶液吸收蒸出的NH 3 ,反应为:
(3)以甲基红-溴甲酚绿为指示剂,用HCl滴定液滴定至无色透明为终点。滴定反应为:
按下式计算氮的含量:
蒸馏法的优点是只需一种酸滴定液。H 3 BO 3 是极弱的酸,因此它的浓度和体积无须准确,但要确保过量。蒸馏法准确,但比较烦琐费时。
2.甲醛法 铵盐与甲醛反应,生成六次甲基四铵离子( K a =7.1×10 -6 ),其反应如下:
以酚酞为指示剂,用NaOH滴定液滴定。甲醛中常含有游离酸,使用前应以甲基红为指示剂,用碱预先中和除去。
甲醛法准确度较差,但能够有效地避免酸性太弱不能用NaOH直接滴定的局限性,在生产上能够简单快速地测定氮的含量。
3.凯氏定氮法
蛋白质、生物碱及其他有机样品中的氮常用凯氏定氮法测定。在催化剂的作用下,将样品用浓硫酸煮沸分解(称为消化),有机物中的氮转变为
,然后用上述蒸馏法测定氮的含量。
H 3 BO 3 是极弱的酸, K a1 =5.4×10 -10 ,因此不能用NaOH滴定液直接滴定。但是,H 3 BO 3 能与多元醇作用生成配合酸,其酸性较强,如H 3 BO 3 与丙三醇生成的配合酸的 K a1 =3×10 -7 ,与甘露醇生成的配合酸的 K a1 =5.5×10 -5 ,它们都可用NaOH滴定液滴定。硼酸与丙三醇反应生成配合酸,反应如下式:
生成的配合酸与NaOH的滴定反应如下式:
精密称取预先置硫酸干燥器中干燥的硼酸约0.2g,加水与丙三醇的混合液(1∶2,对酚酞指示液显中性)30mL,微热使溶解,迅速放冷至室温,加酚酞指示液3滴,用NaOH滴定液滴定至溶液显粉红色。H 3 BO 3 的含量按下式计算:
1.掌握盐酸滴定液(0.1mol·L -1 )的配制和标定方法。
2.巩固滴定分析的基本操作。
3.熟悉甲基红-溴甲酚绿混合指示剂确定终点的方法。
市售浓盐酸为无色透明的氯化氢水溶液,密度为1.19,质量分数为0.37,物质的量浓度约为12mol·L -1 ,因浓盐酸易挥发,所以配制HCl滴定液需要用间接法配制。实际工作中一般用0.1mol·L -1 的HCl。
标定HCl用的基准物质很多,《中国药典》采用无水碳酸钠作基准物质,用甲基红-溴甲酚绿混合指示剂指示终点,终点颜色是溶液由绿色转变为暗紫色。标定反应为:
2HCl+Na
2
CO
3
2NaCl+CO
2
↑+H
2
O
1.仪器 酸式滴定管(50mL)、锥形瓶(250mL)、量筒(100mL)、容量瓶(1000mL)、 电炉
2.试剂 浓盐酸(A.R)、无水碳酸钠、甲基红-溴甲酚绿混合指示剂。
1.HCl滴定液的配制 取浓盐酸9mL置酸试剂瓶中,加水适量使成1000mL,摇匀即得。
2.HCl滴定液的标定 精密称取在270~300℃干燥至恒重的基准无水碳酸钠约0.12g,置于250mL锥形瓶中加水50mL溶解,加甲基红-溴甲酚绿混合指示剂10滴,用待标定的HCl滴定液滴定至溶液由绿变紫红色,煮沸约2分钟,冷却至室温,继续滴定至暗紫色,记下所消耗的滴定液的体积。平行测定3次。按下式计算盐酸溶液的浓度:
1.配制HCl滴定液(0.1mol·L -1 )1000mL,需取浓盐酸9mL,是如何计算的?
2.实验中,溶解Na 2 CO 3 加入水的体积是否需要准确?
3.用碳酸钠标定盐酸溶液,滴定至近终点时,为什么需将溶液煮沸?煮沸后为什么又要冷却后再滴定至终点?
1.掌握氢氧化钠滴定液(0.1mol·L -1 )的配制和标定方法。
2.巩固用减重法准确称取固体物质的方法及滴定分析的基本操作。
3.熟悉酚酞指示剂滴定终点的方法。
NaOH容易吸收空气中的CO 2 ,使配得的溶液中含有少量Na 2 CO 3 ,反应为:
2NaOH+CO
2
Na
2
CO
3
+H
2
O
配制不含Na 2 CO 3 的NaOH滴定液,最常用的方法是用NaOH的饱和水溶液(120∶100)配制,因为Na 2 CO 3 在饱和的NaOH溶液中不溶解。待Na 2 CO 3 沉淀沉下后,量取适量的上层澄清溶液,再稀释至所需体积,即可得到不含Na 2 CO 3 的NaOH溶液。饱和NaOH溶液比重约1.56,浓度约为20mol·L -1 。用来配制NaOH滴定液的水,应加热煮沸,放冷,以除去其中的CO 2 。
用来标定碱溶液的基准物质很多,《中国药典》规定用邻苯二甲酸氢钾。其滴定反应如下:
1.仪器 碱式滴定管(50mL)、锥形瓶(250mL)、量筒(100mL)、塑料瓶(100mL)、烧杯(250 mL)、称量瓶、具塞瓶(1000mL)。
2.试剂 氢氧化钠(A.R)、邻苯二甲酸氢钾、酚酞指示剂(0.1%)。
1.NaOH饱和水溶液的配制 称取氢氧化钠约120g至烧杯中,加水100mL,搅拌使溶解成饱和溶液。冷却后,置于塑料瓶中,静置数日,澄清后备用。
2.NaOH滴定液(0.1mol·L -1 )的配制 量取上层澄清的NaOH饱和水溶液5.6mL,加新沸过的冷纯化水至1000mL,摇匀即得。
3.NaOH滴定液(0.1mol·L -1 )的标定 精密称定在105℃干燥至恒重的基准邻苯二甲酸氢钾约0.5g,加新沸过的冷纯化水50mL,振摇,使其溶解,加酚酞指示液2滴,用待标定的NaOH滴定液滴定至溶液显粉红色。平行测定3次。按下式计算NaOH滴定液的浓度:
1.配制NaOH滴定液,用托盘天平称取固体NaOH是否会影响其浓度的准确度?
2.为什么NaOH滴定液要用间接法配制而不用直接法配制?
3.配制NaOH滴定液和溶解邻苯二甲酸氢钾,为什么要求用新沸冷却的纯化水?
4.装NaOH滴定液的瓶子为什么不能用玻璃塞,并且每次量取NaOH溶液后必须用橡皮塞立即塞紧?
1.掌握用酸碱滴定法测定硼砂含量的原理和操作方法。
2.学会用甲基红确定滴定终点的颜色。
硼砂具有较强的碱性,可与HCl滴定液发生如下反应:
Na 2 B 4 O 7 +2HCl+5H 2 O══2NaCl+4H 3 BO 3
由于在上述反应中存在硼酸-硼砂缓冲对,如果用HCl滴定液直接滴定硼砂溶液,HCl与硼砂的反应不能进行完全,并且滴定终点的观察也受一定的影响。故《中国药典》采用间接滴定法测定药用硼砂的含量。
1.仪器 酸式滴定管(50mL)、锥形瓶(250mL)、量筒(100mL)、电炉。
2.试剂 硼砂固体试样、HCl滴定液(0.1mol·L -1 )、甲基红指示剂(0.1%乙醇溶液)、NaOH滴定液(0.1mol·L -1 )、酚酞指示液、中性丙三醇。
取硼砂样品约0.5g,精密称定,加水25mL溶解后,加甲基红指示液2滴,用HCl滴定液滴定至溶液由黄色变成橙色。煮沸2分钟,冷却,如溶液呈黄色,继续滴定至溶液呈橙色。加中性丙三醇80mL与酚酞指示剂8滴,用NaOH滴定液滴定至溶液呈粉红色。每1mL NaOH滴定液(0.1mol·L -1 )相当于9.534mg的Na 2 B 4 O 7 ·10H 2 O。平行测定3次。按下式计算硼砂的含量:
1.哪些酸碱可用酸碱滴定法的直接法进行测定?
2.若Na 2 B 4 O 7 ·10H 2 O部分风化失去结晶水,则测得的硼砂含量是偏高还是偏低?
1.掌握双指示剂法测定混合碱含量的原理、方法及计算。
2.进一步巩固滴定分析法中各种仪器的使用及实验操作方法。
双指示剂法是用盐酸滴定液滴定混合碱时,有两个差别较大的化学计量点,利用两种指示剂在不同的化学计量点的颜色变化分别指示两个滴定终点的测定方法。
NaOH易吸收空气中的CO 2 ,使一部分NaOH变成Na 2 CO 3 ,即形成NaOH和Na 2 CO 3 的混合物。用双指示剂法测定NaOH和Na 2 CO 3 的含量时,先以酚酞为指示剂,用HCl滴定液滴定至溶液由红色刚好变为无色,这是第一计量点,记录消耗体积为 V 1 。此时溶液中NaOH完全被中和,Na 2 CO 3 被滴定为NaHCO 3 ,反应式为:
NaOH+HCl=NaCl+H 2 O
Na 2 CO 3 +HCl=NaCl+NaHCO 3
在此溶液中再加入甲基橙指示剂,继续用HCl滴定液滴定至溶液由黄色变为橙色,为第二计量点,记录消耗体积为 V 2 。此时溶液中的NaHCO 3 完全被中和。反应式为:
NaHCO 3 +HCl=NaCl+H 2 O+CO 2 ↑
NaOH消耗的HCl体积为 V 1 - V 2 ,Na 2 CO 3 消耗的HCl体积为2 V 2 。
1.仪器 酸式滴定管(25mL),锥形瓶(250mL),移液管(25mL),量筒(50mL),烧杯(50mL),容量瓶(100mL),分析天平。
2.试剂 药用NaOH试样,HCl标准溶液(0.1mol·L -1 ),酚酞指示剂(0.2%乙醇溶液),0.1%甲基橙指示剂。
1.迅速地精密称取药用NaOH试样约0.35g于50mL小烧杯中,加水溶解后,定量转移至100mL容量瓶中,加水稀释至刻度,摇匀。
2.精密移取25.00mL上述样品溶液于250mL锥形瓶中,加25mL蒸馏水及2滴酚酞指示剂,以HCl滴定液滴至溶液恰好由红色变为无色,记下所消耗体积 V 1 。再加入2滴甲基橙指示剂,继续用HCl标准溶液滴定至溶液由黄色变为橙色,即为第二计量点,记录所用HCl标准溶液体积 V 2 。平行测定3次。按下式计算各组分含量:
1.用双指示剂法测定混合碱中各组分含量的原理是什么?
2.滴定混合碱时,如果 V 1 < V 2 时,试样的组成怎样?
3.如果NaOH滴定液在贮存的过程中吸收了空气中的CO 2 ,再用该NaOH滴定液滴定盐酸时,以酚酞指示剂和甲基橙指示剂分别进行滴定,测定结果是否相同?为什么?
1.酸碱滴定法是以酸碱反应为基础的滴定分析方法,是“四大滴定”之一。酸碱滴定法通常需要借助指示剂的颜色变化来指示滴定终点。指示剂自身结构随pH变化而改变,从而引起溶液颜色的改变。pH=p K HIn ±1为指示剂的理论变色范围。
2.在酸碱滴定过程中,以滴定液的体积为横坐标,以溶液的pH为纵坐标绘制酸碱滴定曲线,它能很好地描述滴定过程中pH的变化情况。在化学计量点前后0.1%,溶液pH的变化称为滴定突跃,滴定突跃所在的pH范围称为滴定突跃范围。凡是变色范围全部或部分落在滴定突跃范围内的指示剂,都可用来指示滴定的终点。
3.一元弱酸(碱)的滴定是有条件的,当弱酸的 cK a ≥1.0×10 -8 时,才能用强碱准确滴定;当弱碱的 cK b ≥1.0×10 -8 ,才能用强酸准确滴定。
4.对于多元酸而言,若 cK a1 ≥1.0×10 -8 , cK a2 ≥1.0×10 -8 ,且 K a1 /K a2 >10 4 时,则两级解离的H + 均可被准确滴定,而且可以分步滴定,即可形成两个突跃;若 cK a1 ≥1.0×10 -8 , cK a2 ≥1.0×10 -8 ,且 K a1 /K a2 <10 4 时,则两级解离的H + 均可被准确滴定,但不可以分步滴定,只形成一个突跃;若 cK a1 ≥1.0×10 -8 , cK a2 <1.0×10 -8 ,则只能准确滴定第一级解离的H + ,形成一个突跃,第二级解离的H + 不能准确滴定。
多元碱的滴定方法与多元酸的滴定类似,所以,多元酸分步滴定的结论同样适用于多元碱的滴定,只需将 K a 换成 K b 即可。
在多元酸、碱的滴定中,一般根据化学计量点时生成物的酸碱性作为选择指示剂的依据。
5.酸碱滴定中,最常用的滴定液是HCl和NaOH。标定NaOH的基准物质有邻苯二甲酸氢钾(KHC 8 H 4 O 4 )、草酸(H 2 C 2 O 4 ·2H 2 O)等。用来标定HCl溶液的基准物质有无水碳酸钠(Na 2 CO 3 )、 硼砂(Na 2 B 4 O 7 ·10H 2 O)等。
复习思考
一、选择题
1.关于酸碱指示剂,下列说法错误的是( )
A.酸碱指示剂本身是弱酸或弱碱,加入的量越少越好
B.为提高滴定灵敏度、减小滴定误差,可选择混合指示剂
C.双色指示剂比单色指示剂更灵敏,适用范围更广
D.在一次滴定中可使用2种或以上指示剂
2.酸碱滴定中选择指示剂的原则是( )
A.指示剂变色范围与化学计量点完全符合
B.指示剂应在pH=7.00时变色
C.指示剂的变色范围应全部或部分落入滴定pH突跃范围之内
D.指示剂变色范围应全部落在滴定pH突跃范围之内
3.关于酸碱指示剂,下列说法错误的是( )
A.指示剂本身是有机弱酸或弱碱
B.指示剂的变色范围越窄越好
C.指示剂的变色范围必须全部落在滴定突跃范围之内
D.HIn与In - 颜色差异越大越好
4.在酸碱滴定中,选择指示剂不必考虑的因素是( )
A.pH突跃范围 B.指示剂的变色范围
C.指示剂的颜色变化 D.指示剂的分子结构
5.某酸碱指示剂的 K HIn =1.0×10 -4 ,则该指示剂的理论变色范围为( )
A.2~4 B.3~5 C.4~5 D.4~6
6.用已知浓度的HCl标准溶液,滴定相同浓度的不同弱碱溶液,若弱碱的 K b 越大,则( )
A.消耗的HCl越少 B.消耗的HCl越多
C.滴定突跃范围越小 D.滴定突跃范围越大
7.下列弱酸或弱碱能用酸碱滴定法直接准确滴定的是( )
A.0.1mol·L -1 苯酚 K a =1.1 ×10 -10
B.0.1mol·L -1 H 3 BO 3 K a =7.3 ×10 -10
C.0.1mol·L -1 羟胺 K b =1.07 ×10 -8
D.0.1mol·L -1 HF K a =3.5 ×10 -4
8.下列水溶液用酸碱滴定法能准确滴定的是( )
A.0.1mol·L -1 HAc(p K a =4.74)
B.0.1mol·L -1 HCN(p K a =9.21)
C.0.1mol·L -1 NaAc[p K a (HAc)=4.74]
D.0.1mol·L -1 NH 4 Cl[p K b (NH 3 )=4.75]
9.用0.1mol·L -1 的NaOH溶液滴定同浓度的HCl溶液,滴定的突跃范围是( )
A.10.70~6.30 B.6.30~10.70 C.8.70~5.30 D.4.30~9.70
10.用0.1mol·L -1 的HCl溶液滴定0.1mol·L -1 NaOH的pH突跃范围为9.7~4.3,用0.01mol·L -1 的HCl溶液滴定0.01mol·L -1 NaOH溶液的pH突跃范围是( )
A.8.7~4.3 B.5.3~8.7 C.4.3~8.7 D.8.7~5.3
11.用0.1mol·L -1 的NaOH滴定0.1mol·L -1 p K a =4.0的弱酸时,pH突跃范围是7.0~9.7。用0.1mol·L -1 的NaOH滴定0.1mol·L -1 的p K a =3.0的弱酸时,pH突跃范围是( )
A.6.0~10.7 B.6.0~9.7 C.7.0~10.7 D.8.0~9.7
12.标定HCl和NaOH溶液常用的基准物质是( )
A.硼砂和EDTA B.草酸和K 2 Cr 2 O 7
C.CaCO 3 和草酸 D.硼砂和邻苯二甲酸氢钾
13.某碱样以酚酞作指示剂,用标准HCl溶液滴定到终点时耗去 V 1 mL,继续以甲基橙作指示剂又耗去HCl溶液 V 2 mL,若 V 2 > V 1 ,则该碱样溶液是( )
A.Na 2 CO 3 B.NaOH+Na 2 CO 3
C.NaHCO 3 D.NaHCO 3 +Na 2 CO 3
14.用双指示剂法分步滴定未知碱试样时,若 V 1 > V 2 >0,则未知碱为( )
A.Na 2 CO 3 +NaHCO 3 B.Na 2 CO 3 +NaOH C.NaHCO 3 D.Na 2 CO 3
15.NaOH滴定H 3 PO 4 ,以酚酞为指示剂,终点时生成物为( )(H 3 PO 4 : K a1 =6.9×10 -3 ; K a2 =6.2×10 -8 ; K a3 =4.8×10 -13 )
A.NaH 2 PO 4 B.Na 3 PO 4
C.Na 2 HPO 4 D.NaH 2 PO 4 +Na 2 HPO 4
16.现有磷酸盐的混合碱,以酚酞为指示剂,用HCl滴定消耗12.84mL;若以甲基橙为指示剂,则需20.24mL。此混合物的组成是( )
A.Na 3 PO 4 B.Na 3 PO+Na 2 HPO 4 C.Na 2 HPO 4 +NaH 2 PO 4 D.Na 3 PO 4 +NaOH
17.在滴定分析中一般利用指示剂颜色的突变来判断化学计量点的到达,当指示剂颜色突变时停止滴定,这一点称为( )
A.化学计量点 B.滴定终点 C.理论变色点 D.以上说法都可
18.NaOH溶液从空气中吸收了CO 2 ,现以酚酞为指示剂,用HCl滴定液滴定时,NaOH的含量分析结果将( )
A.无影响 B.偏高 C.偏低 D.不能确定
19.用0.1mol·L -1 NaOH滴定0.1mol·L -1 的甲酸(p K a =3.74),适用的指示剂为( )
A.甲基橙(p K HIn =3.46)B.百里酚兰(p K HIn =1.65)
C.甲基红(p K HIn =5.00)D.酚酞(p K HIn =9.10)
20.用0.1000mol·L -1 HCl滴定液滴定0.1000mol·L -1 NaOH溶液,合适的指示剂是( )
A.甲基橙 B.铭黑T C.淀粉 D.钙指示剂
21.测定(NH 4 ) 2 SO 4 中的氮时,不能用NaOH直接滴定,这是因为( )
A.NH 3 的 K b 太小 B.(NH 4 ) 2 SO 4 不是酸
C.(NH
4
)
2
SO
4
中含游离 H
2
SO
4
D.
的
K
a
太小
22.用同一盐酸溶液分别滴定体积相等的NaOH溶液和NH 3 ·H 2 O溶液,消耗盐酸溶液的体积相等。说明NaOH和NH 3 ·H 2 O溶液中的( )
A.[OH - ]相等
B.NaOH和NH 3 ·H 2 O的浓度相等
C.两物质的p K b 相等
D.两物质的电离度相等
23.下列物质中,可以用直接法配制滴定液的是( )
A.固体NaOH B.浓HCl C.固体Na 2 CO 3 D.固体Na 2 S 2 O 3
24.多元酸能够准确分步滴定的条件是( )
A. K a1 >1.0×10 -5
B. K a1 /K a2 ≥1.0 ×10 4
C. cK a1 ≥1.0×10 -8
D. cK a1 ≥1.0 ×10 -8 , cK a2 ≥1.0 ×10 -8 , K a1 /K a2 ≥1.0 ×10 4
25.以H 2 C 2 O 4 ·2H 2 O作为基准物质标定NaOH标准溶液的浓度,但因保存不当,失去了部分结晶水,其对标定结果的影响是( )
A.偏低 B.偏高 C.无影响 D.不确定
二、填空题
1.在酸碱滴定中,一元弱酸能够在水溶液中被滴定的条件是:__________________。
2.酸碱指示剂(HIn)的理论变色范围是pH=_______________,选择酸碱指示剂的原则是______________。
3.标定盐酸溶液常用的基准物质有__________和________,滴定时应选用在______性范围内变色的指示剂。
4.酸碱滴定曲线描述了滴定过程中溶液pH变化的规律。滴定突跃的大小与___和___有关。
5.某二元弱酸的 K a1 =2.5×10 -2 、 K a2 =3.6×10 -5 。用碱滴定液滴定时出现___个滴定突跃,其原因是_________。
6.用0.1mol·L -1 HCl滴定0.1mol·L -1 NaA(HA的 K a =2.0×10 -11 ),化学计量点的pH=___,应选用______作指示剂。
7.NaOH滴定HCl时,浓度增大10倍,则滴定曲线突跃范围增大_____个pH单位。
8.硼酸是___元弱酸;因其酸性太弱,在定量分析中将其与________反应,可使硼酸的酸性大为增强,此时溶液可用强酸以酚酞为指示剂进行滴定。
9.枸橼酸的离解常数分别为p K a1 =3.14,p K a2 =4.77,p K a3 =6.29,用0.1mol·L -1 NaOH溶液滴定同浓度的枸橼酸溶液,滴定曲线上有___个突跃。
10.用HCl溶液滴定等浓度的Na 2 CO 3 ,若想得到的产物为NaHCO 3 ,应选择的指示剂为________;若产物为H 2 CO 3 ,应选择的指示剂为________。
三、判断题
1.酚酞和甲基橙都可以用于强碱滴定弱酸的指示剂。( )
2.H 2 SO 4 是二元酸,因此用NaOH滴定有两个突跃。( )
3.强碱滴定弱酸达到化学计量点时pH>7。( )
4.H 2 C 2 O 4 的两步离解常数为 K a1 =5.6×10 -2 、 K a2 =5.1×10 -5 ,因此不能分步滴定。( )
5.酸碱滴定法指示剂的选择原则是:指示剂的变色点部分处于或全部处于滴定突跃范围以内。( )
6.优级纯的NaOH可以作为基准物质标定HCl溶液。( )
7.两种一元酸只要浓度相同,酸度也一定相同。( )
8.市售浓HCl可以作为基准物质标定NaOH溶液。( )
四、简答题
1.有一碱液,可能为NaOH、Na 2 CO 3 或NaHCO 3 ,或者其中两者的混合物。现以酚酞作指示剂,用标准HCl溶液滴定到终点时耗去 V 1 mL,继续以甲基橙作指示剂又耗去HCl溶液 V 2 mL,在下列情况下,溶液由哪些物质组成?
① V 1 > V 2 >0 ② V 2 > V 1 >0 ③ V 1 = V 2 ④ V 1 =0, V 2 >0 ⑤ V 1 >0, V 2 =0
2.苯甲酸能否用酸碱滴定法直接测定?如果可以,应选哪种指示剂?为什么?(设苯甲酸的原始浓度为0.2mol·L -1 ,p K a =4.21)
五、计算题
1.某弱酸的p K a =9.21,现有其共扼碱NaA溶液20.00mL、浓度为0.1000mol·L -1 。用0.1000mol·L -1 HCl溶液滴定时,化学计量点的pH为多少?滴定突跃为多少?可以选用何种指示剂指示终点?
2.称取CaCO 3 试样0.2501g,用25.00mL浓度为0.2600mol·L -1 的盐酸滴定液完全溶解,返滴定过量酸用去0.2450mol·L -1 的NaOH滴定液16.50mL,求试样中CaCO 3 的百分含量。(CaCO 3 的摩尔质量为100.1)
3.称取1.250g纯一元弱酸HA,溶于适量水后稀释至50.00mL,然后用0.1000 mol·L -1 NaOH溶液进行滴定,从滴定曲线查出滴定至化学计量点时,NaOH溶液用量为37.10mL。当滴入7.42mL NaOH溶液时,测得pH=4.30。计算:①一元弱酸HA的摩尔质量;②HA的解离常数 K a 。
4.有一含NaOH和Na 2 CO 3 的混合物,现称取0.5895g溶于水,用0.3000mol·L -1 HCl滴定至酚酞变色时,用去HCl 24.08mL,加甲基橙后继续用HCl滴定,又消耗HCl滴定液12.02mL,试计算样品中NaOH和Na 2 CO 3 的含量。(NaOH和Na 2 CO 3 的摩尔质量分别为40和106)
5.用邻苯二甲酸氢钾基准物质0.4563g标定 NaOH溶液时,消耗NaOH溶液22.50mL,计算NaOH溶液的浓度。(邻苯二甲酸氢钾的摩尔质量为204.22)
6.用0.1000mol·L -1 NaOH溶液滴定0.1000mol·L -1 HA溶液( K a =1.0×10 -6 ),计算化学计量点时的pH。
7.精密称取 NaHCO 3 样品0.2079g,终点消耗0.05050mol·L -1 H 2 SO 4 23.32mL,求NaHCO 3 的百分含量。(每1mL 0.05mol·L -1 H 2 SO 4 相当于0.008401g NaHCO 3 )
8.已知试样可能含有Na 3 PO 4 、Na 2 HPO 4 、NaH 2 PO 4 或它们的混合物,以及不与酸作用的物质。称取试样2.00g,溶解后用甲基橙作指示剂,以HCl溶液(0.5000mol·L -1 )滴定时消耗32.00mL。用同样的试样,当用酚酞作指示剂时消耗HCl溶液12.00mL。求试样的组成及各组分的含量。已知 M Na3PO4 =164, M Na2HPO4 =142, M NaH2PO4 =120。