购买
下载掌阅APP,畅读海量书库
立即打开
畅读海量书库
扫码下载掌阅APP

第三章

滴定分析基础知识

【学习目标】

掌握滴定分析法对化学反应的基本要求;滴定基准物质、滴定液等基本概念;滴定液浓度表示的方法。

熟悉滴定液的配制方法;滴定分析的实践操作。

了解滴定分析有关计算依据和计算公式的应用。

引 子

法国物理学家兼化学家盖·吕萨克(Gay-Lussac,1778-1850)发明了滴定分析,他是滴定分析的创始人,在继承前人的分析成果上对滴定分析进行了深入研究,推进了滴定分析法的进一步发展。滴定分析法作为标准分析方法之一,被广泛应用在医药行业:进行简单、快速、具有重现性和准确性的有效成分、药品及其原料的分析(含量测定),滴定尤其适合于生产过程中的质量控制和常规分析。

滴定分析法是化学分析法中的重要分析方法之一。它包括酸碱滴定法、配位滴定法、氧化还原滴定法及沉淀滴定法等,它们的基本原理和操作方法将在本书的其他章节作讨论,本章主要讨论滴定分析法的基本概念和一般问题。

第一节 滴定分析法概述

滴定分析法又称容量分析法,是化学定量分析法中最重要的一种分析方法。其原理是将一种已知准确浓度的试剂溶液(称为滴定液 )滴加到被测物质的溶液中,或是将被测物质的溶液滴加到滴定液中,直到化学反应完全时为止,然后根据所用试剂溶液的浓度和用量,计算出被测物质的含量。

一、滴定分析法的基本概念及条件

滴定分析法中,通常把已知准确浓度的试剂溶液称为滴定液,又称标准溶液。把滴定液通过滴定管滴加到被测物质溶液中的操作过程称为滴定,当加入的滴定液与被测物质恰好按照化学反应式所表示的化学计量关系反应完全时,称反应达到化学计量点(一般以sp表示)。在化学计量点时,绝大多数反应并没有明显的外部特征变化,为了能较为准确地确定化学计量点的到达,实际操作中常在待滴定的溶液中加入一种能在化学计量点前后发生明显颜色变化的辅助试剂,这种辅助试剂称为指示剂。在滴定过程中指示剂颜色发生改变的那一点称为滴定终点(一般以ep表示)。滴定终点与化学计量点不一定恰好吻合,它们之间往往存在很小的差别,由此而引起的误差称为终点误差(一般以 E t 表示)。

滴定分析法简便、快捷,可用于测定许多元素和化合物。在常量分析中,由于其具有很高的准确度,常作为标准方法使用。

虽然滴定分析法适用于各种类型的化学反应,但并不是每一个化学反应都能用于滴定分析,能用于滴定分析的化学反应,必须满足以下基本条件:

1.必须按确定的化学计量关系定量完全地进行。即反应按一定的反应方程式定量进行,并且没有副反应发生,反应完全程度应达到99.9%以上,这是定量分析的基础。

2.必须具有较快的反应速率。滴定液与被测物质的反应应在瞬间完成,对于速率较慢的反应,有时可采取加热或加入催化剂等措施来提高反应速率。

3.必须有适宜且简便可靠的方法来确定滴定终点。

二、滴定分析法的滴定方法与方式

根据化学反应类型的不同,滴定分析法通常分为酸碱滴定法、沉淀滴定法、氧化还原滴定法和配位滴定法四类,本书后续章节将逐一介绍这些滴定分析法。

滴定分析的滴定方式主要包括直接滴定法、返滴定法、置换滴定法和间接滴定法。

1.直接滴定法 凡能满足前述滴定分析基本要求的反应,可直接用滴定液滴定待测物质,这种方法称为直接滴定法。直接滴定法是最常用和最基本的滴定方式。

例如,以NaOH滴定剂滴定HAc溶液,以AgNO 3 滴定剂滴定NaCl溶液等均属于直接滴定法,反应方程式如下:

NaOH+HAc NaAc+H 2 O

AgNO 3 +NaCl AgCl↓+NaNO 3

2.返滴定法 也称为回滴定法或剩余滴定法。一般适用于被测物质是不易溶解的固体,或是被测物质与滴定液反应速率较慢,反应不能立即完成或者没有适宜的指示剂的滴定反应。具体方法是先在被测物质溶液中加入准确、过量的滴定液,待反应完全后,再用另一种滴定剂滴定剩余的第一种滴定溶液,再根据各滴定剂的用量和浓度计算被测物质含量。

例如,CaCO 3 含量的测定,因为被测物质是固体,且不溶于水,可先加入准确、过量的HCl滴定液,待反应完全后,再用NaOH滴定液滴定剩余的HCl滴定液,反应方程式如下:

CaCO 3 +2HCl(准确、过量) CaCl 2 +CO 2 ↑+H 2 O

NaOH+HCl(剩余) NaCl+H 2 O

3.置换滴定法 适用于被测物质与滴定液之间的化学反应没有确定的计量关系(或伴有副反应)的情况。具体方法为先用适当的试剂与被测物质发生反应,定量置换出另一种可被直接滴定的物质,用适当的滴定液滴定置换出的这种物质,再根据计量关系计算被测物质的含量。

例如,Na 2 S 2 O 3 不能直接滴定K 2 Cr 2 O 7 或其他强氧化剂,因为在酸性溶液中K 2 Cr 2 O 7 可将 氧化为 等混合物,反应没有定量关系。可在K 2 Cr 2 O 7 的酸性溶液中加入过量的KI,使K 2 Cr 2 O 7 还原并定量地生成I 2 ,再用Na 2 S 2 O 3 滴定液滴定I 2 ,从而计算出K 2 Cr 2 O 7 的含量,反应方程式如下:

4.间接滴定法 如被测物质不能与滴定液直接反应,则可先在被测物质溶液中加入某种试剂进行某种化学反应,再用适当的滴定液滴定其中一种与被测物质有确定的量关系的生成物,间接计算出被测物质的含量,这种滴定方式称为间接滴定法。

例如,Ca 2+ 在溶液中没有可变价态,不能用氧化还原法直接滴定。但可先将Ca 2+ 沉淀为CaC 2 O 4 ,过滤洗净后,用H 2 SO 4 溶解CaC 2 O 4 沉淀,再用KMnO 4 滴定液滴定溶液中的 ,从而可间接计算出Ca 2+ 的含量,主要化学反应方程式如下:

第二节 基准物质与滴定液

一、基准物质

基准物质是一类能用于直接配制滴定液或标定滴定液的物质。基准物质应符合下列要求:

1.纯度高:质量分数在99.9%以上。

2.组成恒定试剂的实际组成与它的化学式完全相符。若含有结晶水,其含量也应与化学式相符。

3.性质稳定:不与空气中的氧气及二氧化碳反应,不吸收空气中的水分。

4.应具有较大的摩尔质量,以降低称量时的相对误差。

5.定量反应:参加滴定反应时,应按化学反应方程式定量进行,没有副反应。

常用的基准物质有纯金属和纯化合物,表3-1列出了滴定分析中一些常用的基准物质及其干燥条件、应用范围。

表3-1 常用基准物质及其干燥条件、应用范围

续 表

知识链接

在分析化学中,称量基准物质时一般要求干燥至恒重。 《中国药典》 (2015年版)一部凡例中对恒重作了专门的定义:恒重,除另有规定外,是指试剂连续两次干燥或炽灼后称重的差异在0.3mg以下的重量;干燥至恒重的第二次及以后各次称重均应在规定条件下继续干燥1小时后进行;炽灼至恒重的第二次称重应在继续炽灼30分钟后进行。

二、滴定液

(一)滴定液的配制方法

滴定液的配制有直接法和标定法两种。

1.直接法 凡符合基准物质条件的试剂,可用直接法进行配制。其步骤为:准确称取一定量基准物质,用水溶解后完全转入一定体积的容量瓶中,定容。然后根据基准物质的质量和溶液的体积,计算出该滴定液的准确浓度。例如,准确称取4.2538g基准物质K 2 Cr 2 O 7 ,用水溶解后,转移至1L容量瓶中定容、混匀,即得0.01446mol·L -1 K 2 Cr 2 O 7 滴定液。

2.标定法 又称间接法,有很多物质不符合基准物质的条件,不能用直接法配制滴定液,这时可采用标定法配制。其步骤为:先配制成近似于所需浓度的溶液,然后用基准物质(或已经用基准物质标定过的滴定液)通过滴定反应来确定它的准确浓度,这一过程称为标定。例如,欲配制0.1mol·L -1 的NaOH滴定液,可先配成近似浓度为0.1mol·L -1 的NaOH溶液,然后称取一定量的基准物质如H 2 C 2 O 4 ·2H 2 O进行标定,或者用已知准确浓度的HCl滴定液进行标定,便可求得所配NaOH滴定液的准确浓度。

在实际工作中,有时选用与被分析试样组成相似的“标准试样”来标定滴定液,以消除共存元素的影响。

(二)滴定液浓度的表示方法

1.物质的量浓度 滴定液的浓度常用物质的量浓度(简称浓度)来表示。物质B的物质的量浓度,是指溶液中所含溶质B的物质的量除以溶液的体积,一般用符号 c B 表示:

式中 n B 表示溶液中溶质B的物质的量,其单位为mol或mmol; V 为溶液的体积,单位为 m 3 dm 3 等,在分析化学中,常用的体积单位为L或mL。故浓度 c B 的常用单位为mol·L -1

物质的量的计算公式如下:

式中 m B 为溶质B的质量,单位为g; M B 为溶质B的摩尔质量,单位为g·mol -1

将式3-2代入式3-1,可得:

知识链接

国际单位制(法语:Système International d’Unités,符号:SI),源自公制或米制,旧称“万国公制”,是现时世界上最普遍采用的标准度量衡单位系统,采用十进制进位系统,是18世纪末科学家的努力结果,最早于法国大革命时期的1799年被法国作为度量衡单位。国际单位制是在公制基础上发展起来的单位制,于1960年第十一届国际计量大会通过,推荐各国采用,其国际简称为SI。

国际单位制(international system of units)是国际计量大会(CGPM)采纳和推荐的一种一贯单位制。在国际单位制中,将单位分成三类:基本单位、导出单位和辅助单位。7个严格定义的基本单位是:长度(米m)、质量(千克kg)、时间(秒s)、电流(安培A)、热力学温度(开尔文K)、物质的量(摩尔mol)和发光强度(坎德拉cd)。基本单位在量纲上彼此独立,导出单位很多,都是由基本单位组合起来而构成的。辅助单位目前只有两个,纯系几何单位。当然,辅助单位也可以再构成导出单位。各种物理量通过描述自然规律的方程及其定义而彼此相互联系。为了方便,选取一组相互独立的物理量作为基本量,其他量则根据基本量和有关方程来表示,称为导出量。

国家推荐在各行业中使用国际单位制单位,同时也选定了一些非国际单位制单位在日常生活中使用。如《中国药典》 (2015年版)中将L、mL、μL作为体积单位;生活中常将吨、公斤、斤作为质量单位使用。

例3-1 准确称取270~300℃干燥至恒重的基准物质碳酸钠5.3000g,溶解后定容于500mL容量瓶中,试计算该碳酸钠滴定液的浓度。( M Na2CO3 =106.0 g·mol -1

解:根据式3-3:

答:该碳酸钠滴定液的浓度为0.1000mol·L -1

注意:在表示物质的量浓度时,必须指明基本单元。基本单元的选择,一般以化学反应的计量关系为依据。

2.滴定度 在生产单位的例行分析中,由于测定对象较为固定,常使用同一滴定液测定同种物质,为了简化计算,常用滴定度来表示滴定液的浓度。滴定度是指每毫升标准溶液相当于被测物质的质量,用 T B/T 表示,其常用单位为g·mL -1 、mg·mL -1 。以滴定度来计算被测物质的质量非常简单,即:

m B = T B/T V T (3-4)

式中,下标T、B分别表示滴定液中的溶质、被测物质的化学式。 V T 表示滴定物质B所消耗的滴定液的体积,单位为mL; T B/T 表示滴定液滴定物质B时的滴定度; m B 为被测物质B的质量,单位为g或mg。

例3-2 T Na2CO3/HCl =0.005000g·mL -1 的HCl滴定液测定碳酸钠的含量,滴定终点时消耗HCl滴定液为20.00mL,请计算试样中碳酸钠的质量。

解:根据式3-4:

m Na2CO3 = T Na2CO3/HCl V HCl =0.005000×20.00=0.1000(g)

答:该试样中所含碳酸钠的质量为0.1000g。

知识链接

滴定度的含义有两种,一是指每毫升滴定液相当于被测物质的质量,以 T B/T 表示,如本节所述;滴定度还有一种含义,是指每毫升滴定液所含溶质的质量,以 T B 表示,比如 T NaOH =0.003500g/mL时,表示1mL氢氧化钠溶液中含有0.003500g氢氧化钠。

第三节 滴定分析的计算

一、滴定分析计算的依据

前面提到,能用于滴定分析的化学反应基本条件之一便是反应必须按确定的化学计量关系定量完全地进行,这是滴定分析定量计算的依据。一般地,对于滴定液T与被测物质B之间的化学反应可表示为:

t T+ b B c C+ d D

到达化学计量点时,参与反应的滴定液T与被测物质B的物质的量之比符合其化学反应方程式所示的化学计量数比,即:

n T n B = t b (3-5)

式3-5是滴定分析中滴定液T与被测物质B之间化学计量的基本关系式,根据实际情况,可衍生出不同的计算表达式。

二、滴定分析计算的基本公式及应用示例

(一)直接法配制和溶液稀释有关计算

无论滴定剂是采用基准物质直接配制,还是使用滴定液稀释得到,其计算基本原理是根据配制前后物质的量相等的原则。

如果使用基准物质直接配制,则:

如果使用滴定液稀释得到滴定剂,则:

c 1 V 1 = c 2 V 2 (3-7)

式3-7中,下标“1”表示稀释前,“2”表示稀释后。

例3-3 欲配制0.0125mol·L -1 的重铬酸钾滴定液1L,应称取基准重铬酸钾的质量是多少克?( M K2Cr2O7 =294.18g·mol -1

解:根据式3-6,可得:

m K2Cr2O7 = c K2Cr2O7 V K2Cr2O7 M K2Cr2O7 =0.0125×1.000×294.18=3.6772(g)

答:应称取基准重铬酸钾的质量为3.6772g。

例3-4 现有浓度为0.1022mol·L -1 的HCl滴定液500mL,欲将其稀释成浓度为0.1000mol·L -1 的标准滴定液,问滴定液中需要加入多少水?

解:设滴定液中需要加入水的体积为 V (mL),稀释后的溶液体积则为(500+ V )mL。根据公式3-7,可得出:

0.1022mol·L -1 ×500mL=0.1000mol·L -1 ×(500+ V )mL

V =11.00(mL)

答:需向该滴定液加入水11.00mL。

(二)滴定液浓度有关计算及应用

1.基准物质法标定 用基准物质B标定滴定液T,由式3-5可推导出:

式中, c T 为待标定的滴定液T的物质的量浓度,其单位为mol·L -1 为滴定液中溶质T与基准物质B的化学反应方程式所示的化学计量数比; m B 为称取的基准物质B的质量,单位为g; M B 为基准物质B的摩尔质量,单位为g·mol -1 V T 为消耗的待标定滴定液T的体积,单位为L。实际分析工作中,滴定液的消耗一般用毫升进行计量,因此,式3-8a也写为:

例3-5 NaOH滴定液一般使用基准物质邻苯二甲酸氢钾(用KHP表示)来进行标定。若精确称取基准KHP 0.4256g,用NaOH溶液滴定至滴定终点时,消耗NaOH溶液20.50mL,试计算该NaOH溶液的浓度。(M KHP =204.2g·mol -1

解:KHP与NaOH的化学反应方程式为:

根据式3-8b可得:

答:该NaOH溶液的浓度为0.1017mol·L -1

2.比较法标定 用已知其准确浓度为 c T 的滴定液标定物质B的溶液,由式3-5可以推导出:

式中, 为物质B与滴定液中溶质T的化学反应方程式所示的化学计量数比。

例3-6 精密量取待标定的某盐酸溶液25.00mL于250mL锥形瓶中,用0.1012mol·L -1 的NaOH滴定液滴定至终点,消耗NaOH滴定剂25.45mL,试计算该盐酸溶液的物质的量浓度。

解:HCl与NaOH的化学反应方程式为:

HCl+NaOH NaCl+H 2 O

根据式3-9可得:

答:该盐酸溶液的物质的量浓度为0.1030mol·L -1

3.物质的量浓度与滴定度的相互转换 根据物质的量浓度和滴定度的定义,将式3-4代入式3-8b中:

即:

例3-7 试计算0.1000mol·L -1 的 NaOH滴定液对 H 2 C 2 O 4 ·2H 2 O的滴定度。( M H2C2O4·2H2O =126.07g·mol -1

解:NaOH与H 2 C 2 O 4 ·2H 2 O的化学反应方程式为:

2NaOH+H 2 C 2 O 4 Na 2 C 2 O 4 +2H 2 O

根据式3-9b可得:

答:0.1000mol·L -1 的NaOH滴定液对H 2 C 2 O 4 ·2H 2 O的滴定度为6.304×10 -3 g·mL -1

例3-8 已知某HCl溶液对CaO的滴定度为0.002804g·mL -1 ,试计算该HCl溶液的物质的量浓度。( M CaO =56.08g·mol -1

解:HCl与CaO的化学反应方程式为:

2HCl+CaO CaCl 2 +H 2 O

根据式3-9a可得:

答:该HCl溶液的物质的量浓度为0.2000mol·L -1

(三)被滴定物质质量有关计算及应用

若用浓度为 c T 的滴定液滴定被测物质B,滴定至滴定终点时消耗滴定剂的体积为 V T ,则由式3-8b可推导出:

式中, c T 单位为mol·L -1 V T 单位为mL; m T 为测得的被测物质B的质量,单位为g; 为被测物质B与滴定液T的化学反应方程式所示的化学计量数比。

1.估算试样称量范围

例3-9 用基准物质无水碳酸钠(Na 2 CO 3 )标定浓度约为0.1mol·L -1 的HCl溶液,为将HCl溶液消耗体积控制在20~25mL,应称取的基准物质无水碳酸钠的质量为多少较为适宜?( M Na2CO3 =106.0g·mol -1

解:Na 2 CO 3 与HCl的化学反应方程式为:

Na 2 CO 3 +2HCl 2NaCl+H 2 CO 3

根据式3-10可得:

当消耗HCl溶液在20mL时,

当消耗HCl溶液在25mL时,

答:要控制消耗的HCl体积在20~25mL,应称取基准物质无水碳酸钠的质量为0.21~0.26g。

2.计算被测组分含量 分析化学中,被测物质组分B含量一般使用质量分数(ω B )表示,其计算表达式如下:

式中 m B 为被测物质组分B的质量, m S 为称取的试样的总质量,计算时,两者的单位要相同。若用百分数表示质量分数,则将质量分数乘以100%即可。若将式3-10代入上式,则可得:

式中各物理量的含义和单位与式3-10相同。

例3-10 用AgNO 3 滴定液测定NaCl样品的含量:精密称取供试样品NaCl 0.1628g,加水溶解,加入适宜指示剂适量,用0.1000mol·L -1 的AgNO 3 滴定液滴定至终点,消耗AgNO 3 滴定剂22.25mL,请计算供试样品中NaCl的质量分数。( M NaCl =58.44g·mol -1

解:AgNO 3 滴定液测定NaCl溶液的化学反应方程式为:

AgNO 3 +NaCl AgCl+NaNO 3

根据式3-11b可得:

答:供试样品中NaCl的质量分数为0.7987。

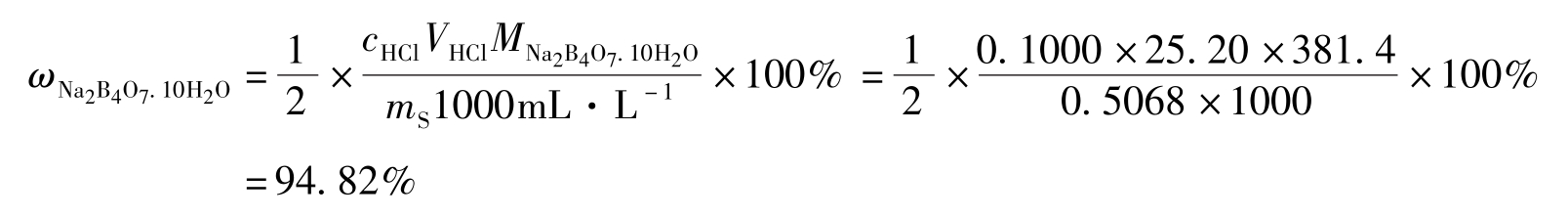
例3-11 测定药用硼砂(Na 2 B 4 O 7 ·10H 2 O)的含量:精密称取0.5068g,用0.1000mol·L -1 的HCl滴定液滴定至终点,消耗HCl滴定液25.20mL,请计算该药品中硼砂(Na 2 B 4 O 7 ·10H 2 O)的百分含量。( M Na2B4O7·10H2O =381.4g·mol -1

解:硼砂与HCl的化学反应方程式为:

Na 2 B 4 O 7 +2HCl+5H 2 O 2NaCl+4H 3 BO 3

根据式3-11b可得:

答:该药品中硼砂(Na 2 B 4 O 7 ·10H 2 O)的百分含量为94.82%。

实验二 滴定分析仪器的基本操作练习

一、实验目的

1.掌握滴定分析中各容量仪器的用途及操作方法。

2.熟悉各容量仪器操作要点。

3.了解滴定分析的基本步骤、滴定操作过程和方法。

二、实验原理

以HCl和NaOH的滴定反应为例,练习移液管、吸量管、容量瓶、滴定管等滴定分析常用容量仪器的使用方法。滴定反应方程式如下:

HCl+NaOH NaCl+H 2 O

0.1mol·L -1 的HCl溶液与0.1mol·L -1 的NaOH溶液相互滴定时,化学计量点时,溶液pH=7.0,滴定突跃的pH范围为4.3~9.7。当用NaOH滴定HCl时用酚酞作指示剂,终点由无色变化为浅红色;用HCl滴定NaOH时用甲基橙作指示剂,终点由黄色变为橙色。

三、仪器与试剂

1.仪器 托盘天平、烧杯、量筒、锥形瓶(250mL)、酸式滴定管(50mL)、碱式滴定管(50mL)、 移液管(25mL)、 容量瓶(500mL)。

2.试剂 NaOH固体试剂、浓盐酸、酚酞(0.2%乙醇溶液)、甲基橙(0.1%水溶液)。

四、实验步骤

(一)溶液配制

1.0.1mol·L -1 HCl溶液的配制 用量筒量取浓盐酸2.1mL,倒入烧杯中,加适量水稀释至250mL,摇匀,转移至试剂瓶中,贴上标签备用。

2.0.1mol·L -1 NaOH溶液的配制 称取2g固体NaOH,置于烧杯中,加水适量,完全溶解并冷却后转移至容量瓶(500mL)中,定容后摇匀,转移至橡皮塞试剂瓶中,贴上标签备用。

(二)滴定管装液

1.酸式滴定管装液 先对酸式滴定管进行检漏、洗涤后,用0.1mol·L -1 HCl溶液润洗2~3次,每次5~10mL。将0.1mol·L -1 HCl溶液装入酸式滴定管中,排除气泡,将液面调节至0.00mL刻度处。

2.碱式滴定管装液 先对碱式滴定管进行检漏、洗涤后,用0.1mol·L -1 NaOH溶液润洗2~3次,每次5~10mL。将0.1mol·L -1 NaOH溶液装入碱式滴定管中,排除气泡,将液面调节至0.00mL刻度处。

(三)滴定操作练习

1.用HCl溶液滴定NaOH溶液 用0.1mol·L -1 NaOH溶液润洗洗净的移液管后,准确移取25.00mL 0.1mol·L -1 NaOH溶液至250mL锥形瓶中,加入1~2滴甲基橙指示剂,使用酸式滴定管,以0.1000mol·L -1 HCl滴定液滴定至溶液由黄色变成橙色,即为滴定终点。记录读数。平行测定三次。

2.用NaOH溶液滴定HCl溶液 用0.1mol·L -1 HCl溶液润洗洗净的移液管后,准确移取25.00mL 0.1mol·L -1 HCl溶液至250mL锥形瓶中,加入2~3滴酚酞指示剂,使用碱式滴定管,以0.1000mol·L -1 NaOH滴定液滴定至溶液由无色变为微红色并保持30秒不褪色,即为滴定终点。记录读数。平行测定三次。

五、数据记录及处理

(一)用HCl溶液滴定NaOH溶液
(二)用NaOH溶液滴定HCl溶液

六、思考题

1.在滴定开始前和停止后,滴定管尖嘴外留有的液体各应如何处理?

2.滴定过程中使用的滴定管、量取液体的移液管在使用前均须使用操作溶液进行润洗,为什么?盛放被滴定溶液的锥形瓶需要润洗吗,请说明理由。

3.如果酸式滴定管出现凡士林堵塞管口,应怎样处理?

附:常用容量仪器的使用方法

一、容量瓶

容量瓶主要用于准确地配制一定浓度的溶液。它是一种细长颈、梨形的平底玻璃瓶,配有磨口塞。瓶颈上刻有标线,当瓶内液体在所指定温度下达到标线处时,其体积即为瓶上所注明的容积数。使用容量瓶配制溶液的方法如下:

(一)检漏

容量瓶在使用前应先检查瓶塞处是否漏水,具体操作方法是:在容量瓶内装入半瓶水,塞紧瓶塞,用右手食指按住瓶塞,另一只手三个手指托住容量瓶底,将其倒立(瓶口朝下2分钟),观察容量瓶是否漏水;若不漏水,将瓶正立且将瓶塞旋转180°后,再次倒立2分钟,检查是否漏水。若两次操作,容量瓶瓶塞周围皆无水漏出,即表明容量瓶不漏水,经检查不漏水的容量瓶才能使用。容量瓶的瓶塞与容量瓶是一一对应的,为避免混淆,检漏后可用细绳将瓶塞拴在对应的容量瓶颈上。

(二)洗涤

检漏后的容量瓶需洗涤后备用,具体操作方法是:先用自来水冲洗,再用纯净水润洗2~3次。如瓶内较脏,不能洗净,可用铬酸洗液荡洗,洗净后用自来水将铬酸洗液冲洗干净,再用纯净水润洗2~3次。

(三)配制溶液

1.把准确称量好的固体溶质放在烧杯中,用少量溶剂溶解。然后把其室温下的溶液转移到容量瓶里。为保证溶质能全部转移到容量瓶中,要用溶剂多次洗涤烧杯,并把洗涤溶液全部转移到容量瓶里。转移时要用玻璃棒引流。方法是将玻璃棒一端靠在容量瓶颈内壁上,注意不要让玻璃棒其他部位触及容量瓶口,防止液体流到容量瓶外壁上。加入适量溶剂后,振摇,进行初混。

2.向容量瓶内加入的液体液面离标线0.5~1cm时,应改用滴管小心滴加,最后使液体的弯月面与标线正好相切。若加水超过刻度线,则需重新配制。

3.盖紧瓶塞,用倒转和摇动的方法使瓶内的液体混合均匀。静置后如果发现液面低于刻度线,这是因为容量瓶内极少量溶液在瓶颈处润湿所损耗,并不影响所配制溶液的浓度,故不要再向瓶内加水,否则,将使所配制的溶液浓度降低。

4.开盖回流:混合后,小心打开容量瓶盖,让瓶盖与瓶口处的溶液流回瓶内,再盖好瓶盖,再用倒转和摇动的方法使瓶内的液体混合均匀。在处理小体积样品时此点非常重要。

实验图2-1 容量瓶使用示意图

二、移液管

移液管是一种量出式玻璃量器,只用来测量它所放出溶液的体积。它是一根中间有一膨大部分的细长玻璃管,其下端为尖嘴状,上端管颈处刻有一条标线,是所移取溶液的准确体积的标志。常用的移液管有5mL、10mL、25mL和50mL等规格。

通常把另一种具有分度线的直形玻璃管称为吸量管,吸量管也是一种量出式玻璃量器。常用的吸量管有1mL、2mL、5mL和10mL等规格,可以量取最大标识以下体积的溶液。移液管和吸量管所移取的溶液体积通常可准确到0.01mL。

(一)检查

使用移液管前首先要看一下移液管标记、准确度等级、刻度标线位置等。同时检查其尖嘴状下端有无破损,有破损的移液管或吸量管量取的溶液体积不准确,不能使用。

(二)洗涤

移液管使用前应先用铬酸洗液润洗,以除去管内壁的油污。然后用自来水冲洗残留的洗液,再用水洗净,洗净后的移液管内壁应不挂水珠。移取溶液前,应先用滤纸将移液管末端内外的水吸干。

(三)移液

1.吸液 用右手的拇指和中指捏住移液管的上端,将管的下口插入欲吸取的溶液中,插入不要太浅或太深,一般为1~2cm处,太浅会产生吸空,把溶液吸到洗耳球内弄脏溶液,太深又会在管外黏附溶液过多。左手拿洗耳球,先把球中空气压出,再将球的尖嘴接在移液管上口,慢慢松开压扁的洗耳球使溶液吸入管内,先吸入该管容量的1/3左右,用右手的食指按住管口,取出,横持,并转动管子使溶液接触到刻度以上部位,以置换内壁的水分,然后将溶液从管的下口放出并弃去。如此反复润洗3次后,即可吸取溶液至刻度以上,立即用右手的食指按住管口。

2.调节液面 将移液管向上提升离开液面,管的末端仍靠在盛溶液器皿的内壁上,管身保持直立,略为放松食指(有时可微微转动管身)使管内溶液慢慢从下口流出,直至溶液的弯月面底部与标线相切为止,立即用食指压紧管口。将尖端的液滴靠壁去掉,移出移液管,插入承接溶液的器皿中。

实验图2-2 移液管使用示意图

3.放出溶液 承接溶液的器皿如是锥形瓶,应使锥形瓶倾斜30°~45°,移液管直立,管下端紧靠锥形瓶内壁,稍松开食指,让溶液沿瓶壁慢慢流下,全部溶液流完后需等15秒后再拿出移液管,以便使附着在管壁的部分溶液得以流出。除非移液管上标明有“吹”字,否则残留在管尖末端内的溶液不可吹出,因为移液管所标定的量出容积中并未包括这部分残留溶液。

三、滴定管

滴定管是滴定分析中用来准确测量放出标准溶液体积的量出式玻璃量器。根据所装溶液性质的不同,分为碱式滴定管和酸式滴定管两种:碱式滴定管的下端连接一个橡皮管,管内放一颗直径比橡皮管内径略大一些的玻璃珠,用于控制溶液的滴定速度,橡皮管下端连一尖嘴玻璃管。碱性滴定管用于盛碱性溶液和无氧化性溶液。酸式滴定管下端有玻璃活塞开关,可以控制滴定速度。酸式滴定管用于盛装酸性、中性及氧化性溶液,不能盛装碱性溶液,因为碱性溶液能腐蚀玻璃,使活塞难以转动。

另外,按其颜色的不同,滴定管可分为无色透明滴定管和棕色滴定管。一些需要避光的溶液,如硝酸银、硫代硫酸钠、高锰酸钾等都要用棕色滴定管盛装,以防止溶液在滴定过程中分解。

滴定管的刻度由上而下数值增大,其常用的容量规格有25mL和50mL两种,最小刻度单位为0.1mL,读数可估计到0.01mL。

实验图2-3 滴定管

(一)酸式滴定管的使用

1.检漏 酸式滴定管在使用前须检查其玻璃旋塞与管身是否配套、结合部分转动是否灵活及密合性是否良好。检查方法是:在滴定管内装水至最高标线,垂直置于滴定管架上,静置2分钟,观察旋塞两端及滴定管管口处有否渗水,无渗水则转动旋塞180°,再次观察,不漏水为通过。否则按下述方法处理:把滴定管放在平台上,先取下旋塞上的小橡皮圈,再取下旋塞,用滤纸将旋塞擦干净,再将旋塞槽的内壁擦干净,取少量凡士林擦在旋塞两头,沿周围各涂一薄层,涂完后,将旋塞一直插入槽中然后向同一方向转动,直到从外面观察时,全部透明为止。处理后重新检漏直至通过检查。

实验图2-4 酸式滴定管旋塞处理

2.洗涤滴定管 无明显污染时,可直接用自来水冲洗,有油污时可使用洗衣粉溶液,当滴定管内壁非常脏时,可用铬酸洗液浸泡数分钟或几小时;最后用自来水充分冲净,继而用水润洗三次,每次加入水后,也是边转边向管口倾斜使水布满全管,并稍微震荡。立起以后,打开旋塞使水流出一些以冲洗出口管,然后关闭旋塞,将其余的水从上端口倒出,在每次倒出水时,注意尽量不使水残留。滴定管要洗涤到装满水后再放出时,内外壁全部为一层薄水膜湿润而不挂水珠方可,否则说明未洗净,必须重洗。

3.装液 先用摇匀的标准溶液5~10mL润洗滴定管2~3次;关闭活塞,用左手前三指拿住滴定管上部无刻度处(若拿有刻度的部位,滴定管会因受热膨胀而造成体积误差)并让滴定管稍微倾斜,右手拿住试剂瓶往滴定管中倾倒溶液,使溶液沿滴定管内壁慢慢流下,直到“0.00mL”刻度以上。再用右手拿住滴定管上部无刻度处,并使滴定管倾斜30°,在下面放承接溶液的烧杯,左手迅速打开活塞,溶液急速冲出,赶出气泡,出口全部装满溶液。赶气泡操作若一次不成功时,可重复进行多次。补充溶液至滴定管的“0.00mL”刻度线以上,将滴定管固定在滴定架上,保持滴定管垂直,拧动活塞放掉过多的溶液,调节液面到“0.00mL”刻度线。

4.滴定 用左手控制活塞进行滴定,右手摇动锥形瓶。拇指在前,食指和中指在后,握持活塞柄,无名指与小指弯曲在活塞下方和滴定管之间的直角内,转动活塞时,手掌微曲,手掌中心要空。注意手心不要向外顶,以免将活塞顶出而造成漏液。

滴定一般在锥形瓶中进行,滴定管插入锥形瓶口1~2cm,要边滴边摇瓶。眼睛注意观察锥形瓶中溶液颜色的变化,以便准确地确定滴定终点。滴定开始时,滴落点周围无明显的颜色变化,滴定速度可以快些,并边滴边摇瓶;继续滴定,颜色可暂时扩散到溶液,此时应滴一滴摇几下,最后要每滴出半滴就需要摇几下,直至终点。在滴定时要掌握三种滴加溶液的技能:第一种是逐滴滴加;第二种是只加一滴;第三种是使溶液悬而未落,即加半滴。

实验图2-5 酸式滴定管使用示意图

(二)碱式滴定管的使用

1.检漏 检查碱式滴定管的胶管孔径与玻璃珠大小是否合适,胶管是否有孔洞、裂纹和硬化,滴定管是否完好无损等。检查方法是:在滴定管内装水至最高标线,垂直置于滴定管架上,静置2分钟,观察滴定管管口处有否渗水,若漏液,更换橡胶管或玻璃珠。

2.洗涤滴定管 洗涤程序与酸式滴定管相同,只是在使用洗涤液或铬酸洗液时,需将橡胶管换成滴定时不用的橡胶管,等用自来水冲洗后再换回,避免橡胶管受到洗涤液腐蚀。

3.装液 碱式滴定管装液程序与酸式滴定管相同。区别在于排除气泡的操作,碱式滴定管排除气泡的操作:将橡胶管向上弯曲,使管尖向斜上方,同时用两个手指轻轻挤压玻璃珠两侧的橡胶管,使溶液从管尖喷出,排除气泡。

4.滴定 用左手控制玻璃珠,拇指在前,食指在后,捏住玻璃珠中部偏上方的橡胶管,用无名指及小指夹住尖嘴玻璃管,向一侧推动橡胶管,使其与玻璃珠之间形成一条缝隙供溶液流出。注意不要捏玻璃珠下方的橡胶管,也不要使玻璃珠在橡胶管中移动,否则易使空气进入尖嘴玻璃管,形成气泡。其他滴定操作同酸式滴定管。

实验图2-6 碱式滴定管使用示意图

四、滴定管的读数

分析工作中经常涉及定容、精密量取特定体积及滴定管读数等操作,这些操作的共同点是都须将溶液的液面和容量仪器的某一刻度标线进行对齐。下面以滴定管的读数为例,简单介绍容量仪器中液面和刻度标线对齐读数的一般原则。

滴定管读数时,应将滴定管从架上取下来,用右手大拇指和食指夹持在滴定管液面上方,使滴定管与地面呈垂直状态。等液面稳定后,保持视线、读数位置、溶液液面三者在同一水平面上。对无色或浅色溶液,读取溶液凹液面最低处与水平相切线位置数值;对深色溶液,可读取溶液凹液面两侧最高处的刻度位置数值。有的容量仪器管身背后有一条蓝底白线的助读带,无色溶液这时会形成两个凹液面,且相交于助读带的中线上,读数时读取该交点的刻度位置数值即可;对深色溶液,仍读取液面两侧最高处的刻度位置数值。

实验图2-7 滴定管读数示意图

五、常用容量玻璃仪器使用注意事项

1.容量玻璃仪器一般均标有适用温度,只有在标识温度下,所标识的刻度才能准确对体积进行量取(一般的分析工作在室温下进行,也即一般容量玻璃仪器标识的20℃)。

2.容量玻璃仪器仅用于量取溶液的体积,一般不用作溶解、加热或储存(使用容量瓶配制溶液时,也不能长时间储存溶液,因为溶液可能会对瓶体进行腐蚀从而使容量瓶的精度受到影响)等其他用途。

3.量取试剂后,如短时间内不再量取同一试剂,一般应将所用容量玻璃仪器洗净晾干以备它用。禁止在未洗净晾干的情况下使用同一量器量取不同的试剂。

本章小结

本章主要介绍滴定分析法中的基本术语、概念和基本计算方法。

1.基本术语和概念:滴定液(标准溶液)、滴定、化学计量点、滴定终点、指示剂、终点误差、基准物质、标定及恒重。

2.滴定分析法的类型:酸碱滴定法、配位滴定法、氧化还原滴定法和沉淀滴定法。

3.滴定分析的滴定方式:直接滴定、返滴定、置换滴定和间接滴定。

4.滴定液的配制方法:直接法和标定法。

5.滴定液浓度的表示方法:物质的量浓度和滴定度。

6.滴定分析有关计算:

(1)滴定分析的化学计量关系: t T+ b B c C+ d D, n T n B = t b

(2)直接法配制滴定液:

(3)溶液稀释: c 1 V 1 = c 2 V 2

(4)基准物质法标定:

(5)比较法标定:

(6)物质的量浓度与滴定度的相互转换:

(7)被滴定物质质量有关计算及应用:

复习思考

一、选择题

1.已知准确浓度的溶液称为( )

A.试液 B.缓冲溶液 C.滴定液 D.被测物质溶液

2.滴定分析法是( )中的一种分析方法。

A.化学分析法 B.重量分析法 C.仪器分析法 D.中和分析法

3.下列哪项不是基准物质必须具备的条件( )

A.物质具有足够的纯度 B.物质组成与化学式完全符合

C.物质易溶于水 D.物质的性质稳定

4.下列滴定分析对化学反应的要求,哪一个不正确( )

A.反应定量进行 B.反应速度快

C.滴定终点和化学计量点完全吻合 D.不发生副反应

5.在测定Cl - 时,采用AgNO 3 滴定液进行滴定,此种滴定方式属于( )

A.直接滴定法 B.返滴定法 C.置换滴定法 D.间接滴定法

6.滴定分析法主要用于( )

A.定性分析 B.常量分析 C.重量分析 D.仪器分析

7.滴定分析中,在指示剂变色时停止滴定,这一点称为( )

A.计量点 B.化学计量点 C.等量点 D.滴定终点

8.待测组分的质量除以试液的质量表示的是( )

A.质量分数 B.质量浓度 C.物质的量浓度 D.体积分数

9.下列说法中,哪个是不正确的( )

A.酸碱滴定是以中和反应为基础的一种滴定分析法

B.凡是能进行氧化还原反应的物质,都能用直接法测定它的含量

C.适用于直接滴定法的化学反应,必须是能定量完成的化学反应

D.滴定分析对化学反应的要求之一是反应速率快

10.由于滴定终点与化学计量点的差别而造成的分析误差称为( )

A.相对误差 B.绝对误差 C.偶然误差 D.滴定误差

11.对于滴定分析法,下列错误的是( )

A.以化学反应为基础的分析方法

B.要有合适的方法指示滴定终点

C.是药物分析中常用的一种含量测定方法

D.所有化学反应都可以用于滴定分析

12.某500mL硫酸溶液含有硫酸4.904g,则此溶液浓度表示为 时,其值为( )

A.9.808mol·L -1 B.0.1mol·L -1

C.4.904mol·L -1 D.0.2mol·L -1

13.用基准物质配制滴定液应选用的方法是( )

A.移液管配制法 B.直接配制法

C.间接配制法 D.多次称量配制法

14.滴定液是指( )

A.只能用基准物质配制的溶液 B.浓度已知、准确的溶液

C.浓度永远不变的溶液 D.当天配制、标定、使用的溶液

15.下列说法中不正确的是( )

A.同样质量的一种物质,选用不同的基本单元,物质的量总是相同的

B.使用摩尔质量时,必须指明物质的基本单元

C.基本单元可以是原子、分子、电子及其他粒子或是这些粒子的特定组合

D.表示物质的量时,应指明物质的基本单元

16.在滴定分析中,化学计量点与滴定终点的关系是( )

A.两者必须吻合 B.两者互不相干

C.两者含义相同 D.两者愈接近,滴定误差愈小

17.将0.2500g Na 2 CO 3 基准物质溶于适量水中后,用0.2mol·L -1 的HCl溶液滴定至终点,大约消耗此HCl溶液的体积是( )

A.18mL B.20mL C.24mL D.26mL

18.滴定终点是指( )

A.指示剂发生颜色变化的转折点

B.滴定液和被测物质质量相等

C.滴定液与被测物质按化学反应式反应完全时

D.加入滴定液25.00mL时

19.用基准物质配制滴定液,应选用的量器是( )

A.量杯 B.滴定管 C.量筒 D.容量瓶

20.测定CaCO 3 的含量时,加入一定量过量的HCl滴定液与其完全反应,剩余的HCl用NaOH溶液滴定,此滴定方式属于( )

A.直接滴定方式 B.间接滴定方式

C.置换滴定方式 D.返滴定方式

二、判断题

1.称量分析比滴定分析更为简便、迅速。( )

2.一般能满足滴定分析要求的反应,都可用于直接滴定。( )

3.酸碱滴定法主要应用于测定金属离子。( )

4.用滴定液直接滴定被测物质溶液的方法叫直接滴定法。( )

5.被测物和适当过量的试剂反应,生成一定量的新物质,再用一标准溶液来滴定生成的物质,此法叫返滴定法。( )

6.滴定分析是以测量溶液体积为基础,故又称容量分析。( )

7.滴定分析结果的计算是根据所加标准溶液的浓度和所消耗的体积。( )

8.滴定分析的化学计量点又称滴定终点。( )

9.滴定分析多用于微量组分分析。( )

10.滴定分析测定的相对误差一般小于0.1%。( )

三、简答题

1.化学计量点与滴定终点两者有何不同?终点误差怎样理解?

2.能够用于滴定分析的化学反应应具备哪些条件?

3.滴定液的标定方法有几种?请说出每种的优缺点。

4.常用的滴定方式有哪几种?各在什么情况下使用?

四、计算题

1.用基准物质硼砂(Na 2 B 4 O 7 ·10H 2 O)标定浓度约为0.1mol·L -1 HCl溶液,若希望控制消耗的HCl溶液体积在25mL左右,则应称取基准物质硼砂(Na 2 B 4 O 7 ·10H 2 O)多少克?( M Na2B4O7·10H2O =381.4g·mol -1

2.精密称取基准物质草酸(H 2 C 2 O 4 ·2H 2 O)0.2025g,溶于适量水中,用待标定的NaOH溶液滴定,以酚酞为指示剂滴定至终点时,消耗20.00mL,请计算此NaOH溶液的物质的量浓度。( M H2C2O4·2H2O =126.07g·mol -1

3.分析不纯的碳酸钙试样(不含干扰物质),精密称取试样0.3000g,加入浓度0.2500mol·L -1 的HCl标准溶液25.00mL,煮沸除去CO 2 ,用0.2012mol·L -1 的NaOH溶液返滴定过量的HCl标准溶液,消耗NaOH溶液5.84mL,计算试样中碳酸钙的百分含量。( M CaCO3 =100.09g·mol -1 YKhIxixK0OhxbXga9Xlh259KcD3Kk4fVVc/uIWjrYrQhD9y2aAIaSkQdQ46WH/wo

点击中间区域
呼出菜单
上一章
目录
下一章
×