



鉴于大多数人都认为传统的垂直思考是唯一可行的高效思考方式,我们有必要通过对比水平思考与垂直思考的差异,来体现水平思考的性质。后文列举的都是最突出的差异点。有些可能会冒犯读者,因为垂直思考已经成了我们根深蒂固的习惯;有些看起来似乎只是为了对立而对立。但在大脑这个自我最大化系统的行为背景下,水平思考有意义,也有必要。
垂直思考是选择性的,而水平思考是创造性的。
垂直思考关注的是正确性,而水平思考关注的是丰富性。垂直思考通过排除其他道路的方式选定一条道路;而水平思考的目的不是选择,而是为了开辟其他道路。垂直思考要选出最有希望解决问题的方案或看待问题的最佳方式;水平思考则要最大限度地创造出备选方案。垂直思考是在不同方式中找出一个有希望的方案便停止;而水平思考时,即便已经找出一个有希望的方案,也还要继续生成新方案。垂直思考力求选出最佳方案;而水平思考则以生成不同方案为终极目标,如图2-1所示。
图2-1 垂直思考与水平思
垂直思考是有了行动方向再行动,水平思考是先行动再找方向。
垂直思考方向明确,就是为了努力解决问题。垂直思考会使用明确的方法或明确的技巧。而水平思考时,行动的目的只是为了动起来。
水平思考者可能在朝某个方向行进,也可能是背离某个方向,渐行渐远,重要的是行动或变化本身。水平思考者行动的目的不是追寻既定方向,而是创造新方向。垂直思考的实验设计目的是展示效果,而水平思考的实验设计目的则是改变观念。垂直思考必须永远奔向某个方向,而水平思考则是漫无目的或毫无方向地四处玩乐,无论是对实验、模型、标注,还是对观点,都抱着闲散的态度。
水平思考过程中的行动、改变,这些都不是最终目的,最终目的是通过水平思考的过程调整大脑中的模式。行动和改变一旦发生,大脑的最大化属性就会确保有效事件发生。垂直思考者会说:“我知道自己在找什么。”而水平思考者会说:“我虽然在寻找,但并不知道自己在找什么,找到了才知道。”
垂直思考是分析性的,水平思考是启发性的。
一名学员得出了“尤利西斯是个伪君子”的结论。人们对这一结论可能有三种不同的态度:
●“你错了,尤利西斯并不是伪君子。”
●“有意思,讲讲你是怎么得出这个结论的。”
●“很好。接下来呢?你从这个观点出发,会得出什么样的结论?”
要利用水平思考的启发性特征,首先要利用垂直思考的选择性特征。
垂直思考是连续的,水平思考可以跳跃。
垂直思考时,一次只能前进一步。每一步都由前一步直接推导而来,两者联系紧密。一旦得出结论,结论的正确性可由推导步骤的正确性证明。
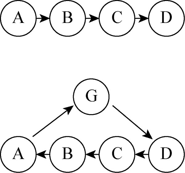
水平思考不必按顺序走,可以直接跳到新起点,之后再填补间隙。如图2-2所示,垂直思考按照固定路线,从A推进到B、C,再到D。但水平思考则可以通过G直接到达D,然后再反推回A。
图2-2 水平思考的跳跃性和垂直思考的连续性
如果直接跳到解决方案,则解决方案本身的正确性显然无法靠推导过程的正确性来证明。但解决方案本身的合理性并不依赖于推导路径。这和试错法是一个道理。即便尝试并没有合理的理由,但成功的尝试仍然是合理的。还可能出现这样的情况:到达某一点后就能建立完整的逻辑路径推回出发点。这种路径一旦建立,从哪个终点回溯就变得不再重要,除非这个终点本身是错误的。有时只有站在山顶上,才能发现最好的登山路线。
垂直思考要求每一步都正确,而水平思考没有这一要求。
垂直思考的根本在于每一步都必须正确,这是由垂直思考的本质所决定的。没有这一必要条件,逻辑思考和数学将不复存在。但水平思考并不要求每一步都正确,结论正确就够了。这就像修桥一样,不需要桥梁组件在每个阶段都能承受自身重量,只要最后一个组件安装就位后整个桥梁能承受自重就行,如图2-3所示。
图2-3 完整的桥梁能承受自重
垂直思考用否定来排除某些路径,而水平思考不存在否定。
我们有时必须先错后对。比如,对比当前的参考框架,我们可能是错的,但换个参考框架就是对的。即使参考框架没有变化,先穿过错误区域,到达能看到正确路径的位置,有时也是必要的,如图2-4所示。虽然最终的路径中我们不会穿过错误区域,但穿行这一区域有助于我们发现正确路径。
图2-4 水平思考不存在否定
垂直思考要求专注,排除一切无关信息;水平思考则欢迎各种随机干扰。
垂直思考通过排除来选择,先圈定一个参考框架,再剔除一切无关信息。而水平思考则认为模式无法从内部重建,必须依靠外部影响来打破。所以说水平思考者认可外部影响的启发作用。这些影响越不相干,推翻既有模式的可能性就越大。一味地专注于相关事物相当于是在维系现有模式。
垂直思考中的分类和标签是固定的,水平思考则不然。
垂直思考中,分类和标签只有保持不变才能发挥作用,因为垂直思考的基础就是将某物归属到某一门类或从某一门类剔除。一旦被赋予某个标签或划归到某个门类,就不会再有变化。而水平思考中,标签是可以改变的,因为看待事情的方式可能会发生变化。分类和类型并不是用来帮助鉴别身份的固定分类架,而是帮助行动的指示牌。水平思考中,标签并不是永久的,贴标签只是为一时方便。图2-5表示了水平思考和垂直思考在分类和标签方面的差异。
垂直思考很大程度上依赖于严格定义,就好比数学依赖于符号含义,一旦确定就必须保持不变。而在水平思考中,含义发生变化有助于启发思考,就好比语义突然转变会带来幽默一样。
图2-5 水平思考和垂直思考在分类和标签方面的差异
垂直思考走的是最有可能的路,水平思考走的是最不可能的路。
水平思考故意不走寻常路。水平思考者试图发掘最不显眼的方法,而不是可能性最大的方法。他们这种摸索最不可能路线的意愿非常重要,因为这样做除了自身意愿外往往找不到任何其他理由。即便站在入口看不到任何向前摸索的价值,这条路仍然可能通向有价值的终点。垂直思考者则是沿着宽阔明朗的道路朝着正确的方向前进。
垂直思考的过程是确定的,水平思考的过程是概率性的。
垂直思考一定会得出答案。比如,我们使用数学方法解题时肯定会得出答案。水平思考也许不能得出任何答案,只能为我们提供重构模式、发现有洞察力的解决方案的可能性,这两个目标最终不一定会实现。垂直思考至少能保证找到最小化解决方案,而水平思考虽然能提高找到最大化解决方案的概率,但没有任何保证。
一个袋子里有多个黑球和一个白球,从袋子中拿出白球的概率很低。如果一直往袋子里倒入白球,拿出白球的概率就会持续上升。但无论怎样也无法保证拿出来的一定是白球。水平思考能提升实现洞察力重构的概率,而且思考者越擅长使用水平思考方法,洞察力重构的概率就越大。水平思考的过程就好比不断将白球放到袋子里,但无论怎样,结果仍然是概率性的。但形成新观点以及对旧观点进行洞察力重构有很多好处,所以水平思考值得尝试,再说这种尝试不会带来任何损失。因此,垂直思考碰壁时不妨使用水平思考,即便成功的概率很小。
水平思考和垂直思考之间的差异是根本性的,两种思考过程是截然不同的。但这并不意味着一个过程比另一个过程更好,因为两种过程都是必要的。关键是要能认识到两者之间的不同,进而高效地运用两种思考过程。
垂直思考利用信息本身来寻找解决方案。水平思考不局限于信息本身,而是利用信息来启迪想法,进而重建模式。