在现实生活中有许多的量是连续变化的,如水的连续流动、植物的生长、放射性物质的衰减等。自然界的许多连续变化的现象在函数关系上的反映,就是函数的连续性。它是与函数极限密切相关的一个基本概念。
首先我们引入增量概念。
定义2.8 设变量 u 从它的初值 u 0 变到终值 u 1 时,终值与初值之差 u 1 -u 0 叫做变量 u 的增量,也可叫做 u 的改变量,记作Δ u ,即
增量Δ u 可正、可负,也可为零。当 u 1 > u 0 时,Δ u 为正;当 u 1 < u 0 时,Δ u 为负。
应当注意:Δ u 是一个完整的记号。变量 u 可以看作是自变量 x ,也可看作是函数 y 。如果是自变量 x ,则称Δ x = x 1 -x 0 为自变量的增量;如果是函数 y ,则称Δ y = y 1 -y 0 为函数的增量。
设函数 y = f ( x )在 x 0 的某邻域内有定义,当自变量 x 在由 x 0 变到 x 0 +Δ x 时,函数 y 相应地由 f ( x 0 )变到 f ( x 0 +Δ x ),因此,相应函数增量为Δ y = f ( x 0 +Δ x ) -f ( x 0 )。
其几何意义如图2-11所示。
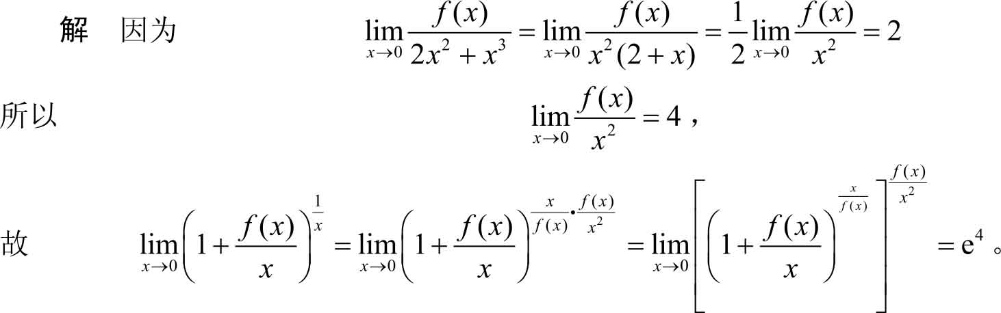
例2.28 设 y = f ( x )=2 x 2 -1,求适合下列条件的自变量的增量Δ x 和函数的增量Δ y 。
(1)当 x 由1变到0.5时;(2)当 x 由 x 变到 x +Δ x 时。
图2-11
解 (1)Δ x =0.5-1=-0.5
(2)Δ x =( x +Δ x ) -x =Δ x
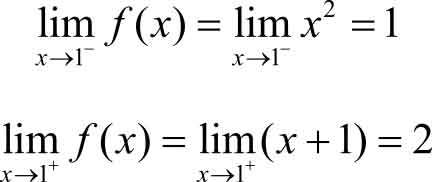
(1) 函数 y = f ( x )在点 x 0 的连续性
观察曲线 y = f ( x )在 x = x 0 处是连续(不间断)的(见图2-12),而曲线 y = g ( x )在 x = x 0 处是不连续(断开)的(见图2-13)。当自变量 x 的增量Δ x →0 + 时,函数 y = f ( x )的相应增量Δ y →0;而 y = g ( x )的相应增量Δ y 不是趋近于 0,于是我们用增量来定义函数的连续性。
图2-12
图2-13
定义 2.9 设函数 y = f ( x )在点 x 0 的某一邻域内有定义,如果当自变量 x 在点 x 0 处的增量Δ x 趋近于零时,函数 y = f ( x )相应的增量
也趋近于零,即
则称函数 y = f ( x )在点 x 0 处 连续 ,点 x 0 叫做 f ( x )的 连续点 。
例2.29 证明 y =sin x 在点 x 0 处连续。
证 因为函数 y =sin x 的定义域为(-∞,+∞),所以函数在 x 0 的邻域内有定义,则
因为Δ
x
→0时,
为无穷小,
有界,故
所以函数 y =sin x 在点 x 0 处连续。证毕。
请思考 :在定义2.9中,如果设 x = x 0 +Δ x ,又有什么样的结论?
如果设
x
=
x
0
+Δ
x
,则Δ
y
=
f
(
x
)
-f
(
x
0
)。当Δ
x
→0,即
x
→
x
0
时,有Δ
y
→0,即
f
(
x
)
-f
(
x
0
)→0。也就是
=0,即
=
f
(
x
0
)。
因此,函数 y = f ( x )在点 x 0 处连续的定义又可如下表述。
定义2.10 设函数 y = f ( x )在 x 0 的某一邻域内有定义,如果当 x → x 0 时,函数 f ( x )的极限存在,且极限值等于 f ( x )在点 x 0 处的函数值 f ( x 0 ),即
则称函数 y = f ( x )在点 x 0 处 连续 。
定义2.10指出了函数 y = f ( x )在点 x 0 处连续必须同时满足三个条件:
① 函数 f ( x )在点 x 0 的某一邻域内有定义;
②
存在;
③
,即上述极限值等于该点的函数值
f
(
x
0
)。
如果上述条件中至少有一个不满足,那么函数 f ( x )在点 x 0 处就不连续,这时点 x 0 就是函数 f ( x )的 间断点 。
定义2.11 (间断点的分类) 设 x 0 为函数 f ( x )的一个间断点,如果当 x → x 0 时,有:
①
存在,但不等于
f
(
x
)在
x
0
处的函数值
f
(
x
0
),则称
x
0
为
f
(
x
)的
可去间断点
;
②
不存在,而
存在,但不相等,则称
x
0
为
f
(
x
)的
跳跃间断点
;
③
=∞或左右极限至少有一个不存在,则称
x
0
为
f
(
x
)的
无穷间断点
。
我们又把①、②两种情况的间断点称为 第一类间断点 ;第③种情况的间断点称为 第二类间断点 。
例2.30
考察函数
在点
x
=-1处的连续性。
解 函数 y = f ( x )的定义域为(-∞,+∞),因此
而
f
(-1)=2,所以,有
=-2≠
f
(-1),即
x
=-1是
f
(
x
)的可去间断点。如图2-14所示。
例2.31
考察函数
在
x
=1处的连续性。
解 函数 y = f ( x )的定义域为(-∞,+∞),因此
因为
,所以
不存在,可知
x
=1是间断点,且是
f
(
x
)的跳跃间断点。如图2-15所示。
图2-14
图2-15
例2.32
考察函数
在点
x
=-1处的连续性。
解
因为
在
x
=-1处没有定义,所以
x
=-1是
f
(
x
)的一个间断点。又因为
=∞,所以点
x
=-1为函数
f
(
x
)的无穷间断点,如图2-16所示。
图2-16
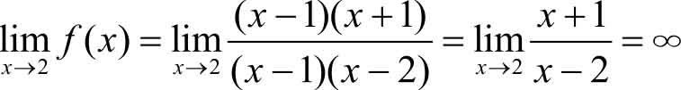
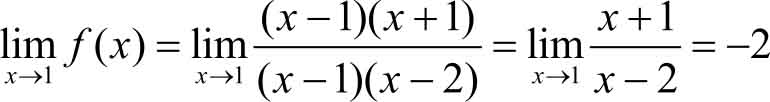
例2.33
求
f
(
x
)=
的间断点,并说明理由。
解
因为函数
在
x
=1,
x
=2处没有定义,所以
x
=1,
x
=2是函数
f
(
x
)的间断点。
当 x →1时:
极限存在,但不等于该点的函数值,所以点 x =1为 f ( x )的可去间断点。
当 x →2时:
所以点 x =2为 f ( x )的无穷间断点。
(2) 函数 f ( x )在区间( a , b )上的连续性
定义 2.12 如果函数 f ( x )在区间( a , b )内每一点都连续,那么称函数 f ( x )在开区间( a , b )内连续,区间( a , b )称为 函数 f ( x ) 的连续区间 。
如果函数
f
(
x
)在(
a
,
b
)内连续,且
,则称
f
(
x
)在闭区间[
a
,
b
]上连续。
连续函数的图像是一条连续不断的曲线,允许有折痕或突起。
如果函数
f
(
x
)和
g
(
x
)在点
x
0
处连续,则
f
(
x
)±
g
(
x
),
f
(
x
)
g
(
x
),
(
g
(
x
0
)≠0)在点
x
0
处连续,即
我们只证明 f ( x )± g ( x )在点 x 0 处连续,其余由读者自证。
证 因为函数 f ( x )和 g ( x )在点 x 0 处连续,所以有
设 F ( x )= f ( x )± g ( x ),则:
所以函数 F ( x )在点 x 0 处连续,即 f ( x )± g ( x )在点 x 0 处连续。证毕。
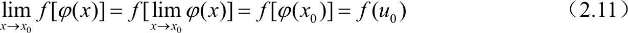
定理2.6 设函数 u = φ ( x )在点 x 0 处连续, y = f ( u )在点 u 0 处连续,且 u 0 = φ ( x 0 ),则复合函数 y = f [ φ ( x )]在点 x 0 处连续。即
又可写为
式(2.11)表明,在满足定理条件的条件下,求复合函数的极限时,函数符号“ f ”与极限符号“lim”可以交换运算顺序,这一结论给我们求极限带来很大方便。
例2.34
求
。
解
。因为
,且
是由
y
=ln
u
和
复合而成的,
y
=ln
u
在
u
=e点连续,所以
上式结果可以写成当 x →0时,ln(1+ x )~ x (无穷小等价代换的一个公式)。
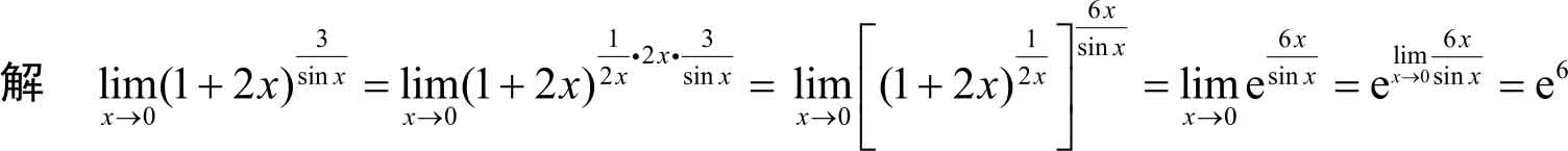
*例2.35
求
。
*例2.36
已知
。
根据上面的讨论,可以得出结论: 一切初等函数在其定义域内都是连续的 。
这样我们在求初等函数在其定义域某点的极限,只需求出初等函数在该点的函数值即可。
例2.37
求
。
解
设
y
=
,这是一个初等函数,它的定义域是[-2,2],而点
x
=0在该区域内,所以
。
关于分段函数的连续性,除了考察每段函数连续性外,还必须讨论分段点处的连续性。
例2.38
讨论函数
在
x
=0处的连续性,并求函数的连续区间。
解
函数
f
(
x
)是一个分段函数,
x
=0是函数的分段点,那么函数是否在
x
=0处连续就要看是否有
。
所以
=1。
当
a
≠1时,
,所以
x
=0是函数
f
(
x
)的一个可去间断点。又因为分段函数
f
(
x
)的定义域为(-∞,+∞),当
x
<0时
f
(
x
)=e
x
和
x
>0时
f
(
x
)=2
x
+1都是初等函数,因此它们分别在 (-∞,0) 和 (0,+∞) 上连续,所以函数
f
(
x
) 的连续区间是(-∞,0) ∪ (0,+∞)。
当
a
=1时,
=
f
(0)=1,所以函数
f
(
x
)在
x
=0处连续,函数
f
(
x
)的连续区间为(-∞,+∞)。
设函数 y = f ( x )在闭区间[ a , b ]上连续,如图 2-17 所示,我们可以看到曲线 f ( x )在[ a , b ]上至少存在一点 x 1 ( a ≤ x 1 ≤ b ),使得函数值 f ( x 1 )最大,即 f ( x 1 )> f ( x ), x ∈[ a , b ];同样还至少存在一点 x 2 ( a ≤ x 2 ≤ b ),使得函数值 f ( x 2 )最小,即 f ( x 2 )< f ( x ), x ∈[ a , b ]。
图2-17
定理2.7 闭区间上连续函数一定存在最大值和最小值。
例如,函数
y
=sin
x
在[-π,π]上连续,当
x
1
=
时函数取得最小值-1;当
时函数取得最大值1。
应当注意定理2.7中“闭区间”和“连续”是两个重要条件。如果有一个条件不满足,函数在该区间上就不一定有最大值和最小值。
例如
y
=
x
在开区间(-1,1)内虽然连续,但它既无最大值也无最小值。
在闭区间上[-1,1]上不连续,它没有最大值。
定理2.8 若函数 f ( x )在闭区间[ a , b ]上连续,且 f ( a )≠ f ( b ), u 是介于 f ( a )与 f ( b )之间的任意一个数,则至少存在一点 ξ , ξ ∈( a , b ),使得 f ( ξ )= u 。
从几何上看,如图2-18所示,闭区间[ a , b ]上连续函数 y = f ( x )的图像从 A 连续画到 B 时,至少要与直线 y = u 相交一次。
图2-18
图2-19
特别地,如果 f ( a )与 f ( b )异号,那么在开区间( a , b )至少存在一点 ξ , ξ ∈( a , b ),使得 f ( ξ )=0。
从几何上看,如图2-19所示,曲线 y = f ( x )的图像从 x 轴下侧的 A 点连续画到 x 轴上侧的 B 点时,至少要与 x 轴相交一次。这表明若方程 f ( x )=0,其左端的函数 f ( x )在闭区间[ a , b ]端点处的两个函数值异号,则该方程在开区间( a , b )内至少存在一个根。
定理2.9 (根的存在定理) 若函数 f ( x )在闭区间[ a , b ]上连续,且 f ( a )与 f ( b )异号,则至少存在一点 ξ , ξ ∈( a , b ),使得 f ( ξ )=0。
例2.39 证明方程 x 3 + x -1=0在区间(0,1)上有实根。
证 设 f ( x )= x 3 + x -1,因为 f ( x )在(-∞,+∞)上连续,所以 f ( x )在[0,1]上也连续。而 f (0)=-1<0, f (1)=1>0
根据定理2.9可知,至少有一点 ξ , ξ ∈(0,1),使得 f ( ξ )=0。
即方程 x 3 + x -1=0在区间(0,1)上有实根。
尽管一些经济函数计数单位可能是“件”、“台”、“个”等离散点,而不是“千克”、“吨”、“米”等可以连续的取量,但在研究经济函数时,都视为连续函数,并作为连续函数进行研究,最后结合实际问题进行相应的“舍”、“入”给出合理的答案。
1.根据定义2.9,证明函数 f ( x )=3 x 2 -1在点 x =1处连续。
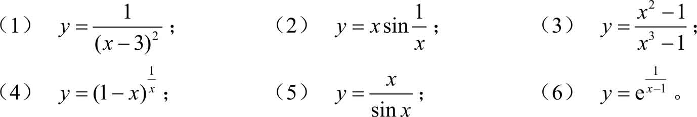
2.求下列函数的间断点,并说明间断点的类型。
3.下列函数在 x =0点是否连续?为什么?
4.求下列函数的极限。
5.设
,试确定
k
的值,使
f
(
x
)在定义域内连续。