



图像融合处理的目的是改善图像质量和增加融合图像的信息量,为人类的决策提供更有效的信息。但是由于人类视觉的主观性和系统的复杂性,迄今为止,还没有一种评价方法能适用于所有的融合算法。目前图像融合的评价标准主要分为两种:主观评价标准和客观评价标准。下面将分别介绍这两种评价标准。
图像融合的主观评价标准可以分为相对评价和绝对评价两种。相对评价即为观察者参照参考图像对融合图像进行评价;绝对评价为观察者根据一些给定的评价标准或自己的经验对融合图像进行评价。国际上通用的是5分制的主观评价方法,如表1-1所示。
表1-1 图像融合效果主观评价尺度评分表
从表1-1来看,主观评价具有简单直观的特点,然而融合图像的主观评价容易受到人的视觉特性、心理状态等多方面的影响,因此主观评价在实际应用中比较困难。所以在评价图像融合算法时,需要综合考虑客观评价标准和主观评价标准,才能对各种图像融合算法的性能做出科学、客观的评价,以便开展更加深入地研究。
客观评价是指通过定量评价方法和准则对各种图像融合算法的性能做出科学、客观的评价,具有成本低、易于实施等优点。目前常用的客观评价指标主要有以下几种:熵(Entropy,EN)、标准差(Standard Deviation,STD)、平均梯度(Average Gradient,AVG)、互信息(Mutual Information,MI)、Q AB/F 度量、空间频率(Spatial Frequency,SF)和结构相似度(Structural Similarity Idnex,SSIM)。
假设A、B、F分别表示大小为M×N的源图像和融合图像,A(m,n)、B(m,n)、F(m,n)分别表示源图像A、B和融合图像F在位置(m,n)上的像素值。
EN的定义为:
式中,L表示全图像素数,p i 为每个灰度级的分布概率。熵是衡量图像信息丰富程度的一个重要指标,融合图像的熵值大小表示融合图像所包含的平均信息量的多少。熵值越大,融合图像所含的信息越丰富,融合质量越好。
STD的定义为:
式中,F为融合图像的平均灰度值。标准差反映图像灰度相对平均灰度的离散情况,在某种程度上标准差可以评价图像反差的大小,标准差越大,灰度级分布越分散,图像反差越大,可利用的信息越多,融合效果越好。
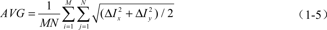
AVG的定义为:
式中,
。平均梯度反映了融合图像对微小细节反差和纹理变化的表达能力,同时也反映了图像的清晰度。平均梯度值越大,融合图像就越清晰。
MI的定义为:
其中:
这里,P A (a)和P B (b)分别为源图像A和B的边缘概率密度,P F (f)为融合图像F的概率密度。P FA (f,a)、P FB (f,b)分别为融合图像与源图像A、B的联合概率密度,可以由图像的直方图得到。互信息计算源图像有多少信息转移到了融合图像中,互信息值越大,图像融合效果越好。
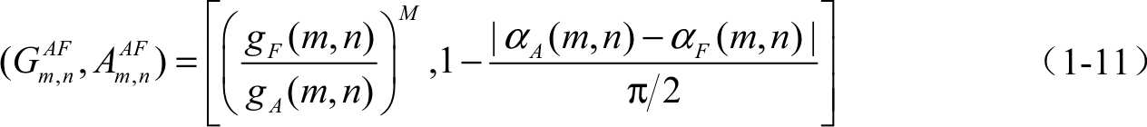
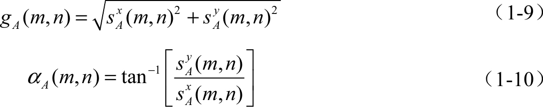
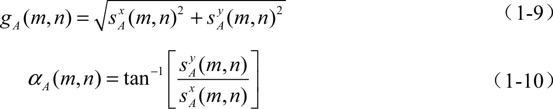
Q AB/F 利用Sobel边缘检测算子来计算源图像A、B和融合图像F中边缘的强度信息g(m,n)与方向信息α(m,n),其定义为:
其中,
(m,n)和
(m,n)分别为垂直Sobel模板和水平Sobel模板以像素点(m,n)为中心与源图像A卷积的输出。源图像A与融合图像F的相关强度信息和相关方向信息表示如下:
其中:
边缘信息保留值的定义如下:
其中,常数
和
是决定sigmoid()函数形状的参量。
那么,Q AB/F 的定义为:
式中,
,L为常数。本文中L取1。
Q AB/F 利用Sobel边缘检测来衡量有多少边缘信息从源图像转移到了融合图像。Q AB/F 值越大,融合图像从源图像获得的边缘信息越丰富,融合效果越好。
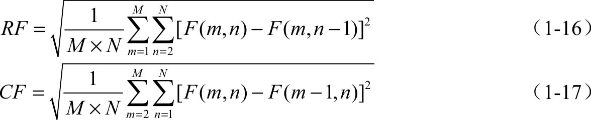
SF的定义为:
其中,RF和CF分别为行频和列频。RF和CF的定义为:
其中图像大小为M×N。
SF度量融合图像空间域的总体活跃度,可反映融合图像对微小细节反差的描述能力。SF指标的值越大,融合图像越清晰。
SSIM的定义为:
其中,SSIM(A,F)与SSIM(B,F)分别代表源图像A、B和融合图像F的结构相似度。
其中,μ
A
、μ
B
、μ
F
分别代表源图像A、B和融合图像F的均值;
分别代表源图像A、B和融合图像F的方差;
分别代表源图像A、B和融合图像F的联合方差。为了简化模型,本文中C
1
和C
2
均取0。
SSIM衡量融合图像与源图像的结构相似度。SSIM值越大,表明融合图像的结构与源图像的结构越相似。
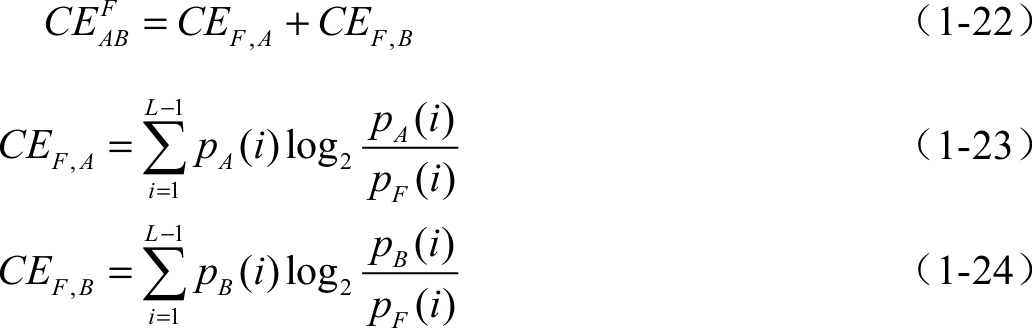
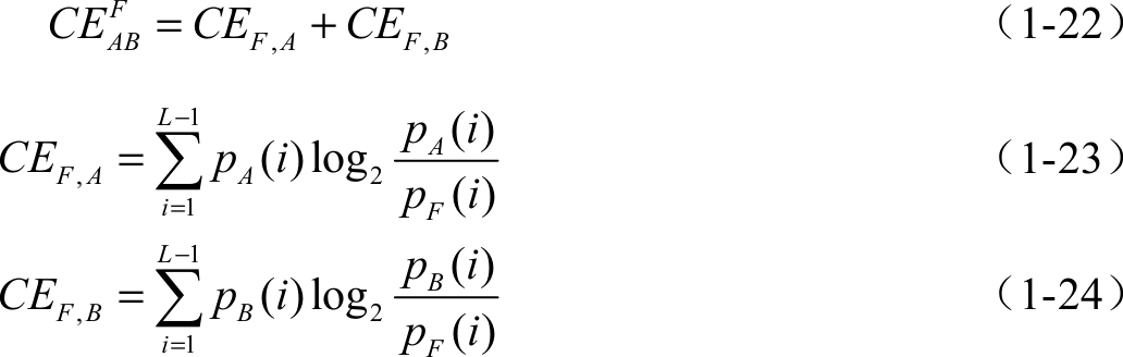
交叉熵反映了融合图像和源图像间灰度信息分布的差别,可以弥补信息熵的不足。交叉熵越小,融合图像和源图像的差别越小,两幅图像越接近,融合质量就越好。交叉熵公式如下:
式中,p Z (i)表示源图像的灰度级分布概率。
将所求的两幅源图像与融合图像的交叉熵求和得到融合图像交叉熵评价指标,如下式所示:
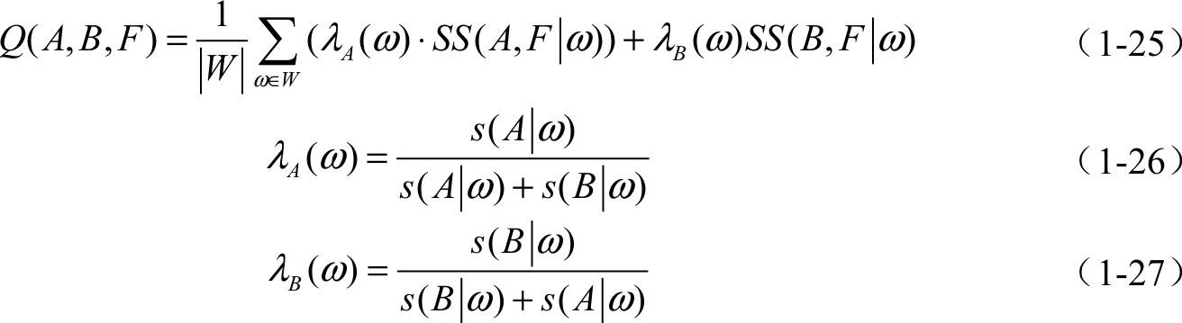
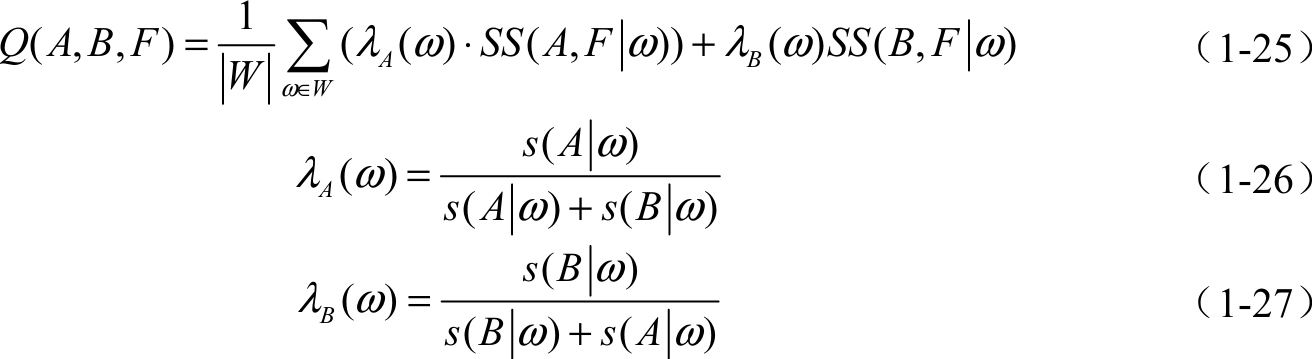
基于结构相似度理论,Piella提出了三种图像质量评价指标:图像融合质量评价因子Q、加权融合质量评价因子Q W 和边缘结构融合质量评价因子Q E 。Q的运算过程是首先利用滑动窗口对源图像和融合图像分块,计算每个子块的SS。Q的定义为:
其中,ω表示窗口,W是所有窗口的族,|W|是W的基数,SS(A,F|ω)和SS(B,F|ω)表示融合图像F与源图像A、B在窗口中子块的SS,λ A (ω)和λ B (ω)表示局部区域窗口权重值,s(A|ω)和s(B|ω)表示图像显著性,比如方差、对比度、信息熵等。
由于每个子块的重要程度差异性,Piella提出一种加权融合质量评价因子Q W ,定义如下:
式中,c(ω)是窗口的整体显著性,
。
考虑到人类视觉系统对边缘信息最为敏感,对源图像和融合图像进行边缘检测得到边缘图像X′、Y′和Z′,进而求边缘图像的Q W ,得到边缘结构融合质量评价因子Q E :