



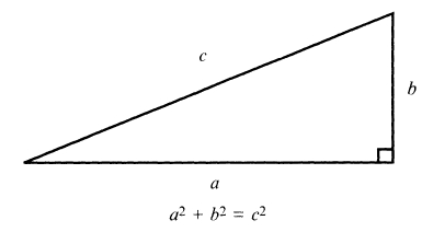
让我们来考虑几何问题。上一章里我们避而不谈的所谓不同的“几何种类”究竟指的是什么?为了逐渐展开这个问题,我们先回到毕达哥拉斯那里考虑以他的名字命名的著名定理: [1] 对任何直角三角形,斜边(直角所对的边)长的平方等于另两边长的平方和(图2.1)。我们确信这个命题成立的理由是什么呢?我们又该怎样来“证明”毕达哥拉斯定理呢?这可以有许多论证方法。这里我打算考虑两种特别明确易懂的形式,每一种强调了不同的方面。
图2.1 毕达哥拉斯定理:任何直角三角形的斜边长 c 的平方等于另两边长 a 和 b 的平方和。
图2.2 两种不同大小正方形组成的平面镶嵌。
首先,我们来考虑图2.2所示的图形。它由两个不同大小的正方形组成。很“显然”,这种图案可以无限连续地重复铺排下去,以致不留缝隙亦不重叠地铺满整个平面。图案的这种重复性还反映了这样一个事实:如果我们标出大正方形的中心,则这些中心组成另一个更大的正方形体系的各个顶点,这个更大的正方形较原先的那两种有一个倾角(图2.3),它能够单独覆盖整个平面。我们也可以以严格相同的方式对每个斜正方形进行标线,使得这些正方形的标线拟合成原先的两个正方形图案。如果我们不是取原先两个正方形中较大的那个的中心,而是取其他任意点,然后将每块上相应的点按上述方式标出并连接起来,我们同样能够得到覆盖整个平面的倾斜正方形图案,新图案的大小、倾角与前述的斜正方形完全相同,只不过不加转动地移动了一个位置——即经过了所谓的 平移 。为简单计,我们将这个起始点选定为原图案的一个角上(图2.4)。
图2.3 较大的正方形的中心构成了更大的有一定倾角的正方形格子的各顶点。
图2.4 斜正方形格子可进行平移,由此斜格子的顶点与原正方形格子的顶点重合,图中显示了斜正方形的边长正好是(阴影)三角形的斜边长,它的另两条边的边长则分别为两原正方形的边长。
图2.5 从斜正方形的任意一点开始,将它裁成小块,移动各小块即可恢复原先的两小正方形。
显然,斜正方形的面积必等同于两较小的正方形的面积和——我们可以沿前述的标线将斜正方形裁成小块,然后不加转动地移动各小块直到恢复成原先的两小正方形(例如图2.5)。此外,从图2.4还可以看出,大的斜正方形的边长是一个直角三角形的斜边长,而这个直角三角形的另两条边的边长则正好分别是两个小正方形的边长。由此我们得到毕达哥拉斯定理:直角三角形斜边的平方等于另两边的平方和。
上述论证确实给出了这一定理简单证明的实质,它使我们有“理由”相信这个定理是真的。这种明显性是那些不具明确目的仅由一连串逻辑步骤给出的更为正式的论证所不具备的。但也应指出,我们的论证里隐含了几个假定,不仅如图2.2所示的重复正方形这种看似明显的样式是一种假定,甚至图2.6的实际几何可能性——这更关键,即 正方形 在几何上是可能的这一点也是一种假定!我们的所谓“正方形”究竟是什么意思?通常我们认为,正方形是一种平面图形,它的所有边全相等,所有角都是直角。那何谓直角?我们说,我们可以想象有两条直线在某点相互交叉,形成4个相等的角,那么这4个角中的每一个都是直角。
图2.6 熟悉的等正方形格子。我们怎么知道它一定存在?
图2.7 试构造一个正方形。取∠ABC和∠BCD为直角,线段AB=BC=CD。我们要问:DA与这些线段等长吗?∠DAB和∠CDA也是直角吗?
现在我们试着来构造一个正方形。取3条等长的线段AB、BC和CD,其中∠ABC和∠BCD是直角,D和A在线BC的同一边,如图2.7所示。问题来了:AD与其他三条线段等长吗?还有,∠DAB和∠CDA也是直角吗?按照图的左右对称性,这些角应当是彼此相等的,但它们真的就是直角吗?它只是看起来显然如此,那是因为我们熟悉正方形,也许是因为我们还记得学校里学过的某些欧几里得论述,诸如BA和CD一定是彼此“平行”的,一对平行线的“截线”与平行线形成的角对应相等,等等。从这些论述立刻可得到,∠DAB必与其补角∠ADC相等(即等于图2.7中的∠EDC,因为ADE是一直线),因此也就与∠ADC相等。一个角(∠ADC)等于其补角当且仅当它是个直角。我们还可以证明边AD必与BC等长,当然这一点也可以从平行线BA和CD的截线性质得到。因此,从欧几里得式的论证我们的确能够证明,由直角构成的正方形是真实存在的。但这里隐含了一个很深的问题。