购买
下载掌阅APP,畅读海量书库
立即打开
畅读海量书库
扫码下载掌阅APP

第1章
静态最优化

本章分析的最优化问题不牵涉时点的变化,讨论的只是单个时点的最优化问题,即静态最优化问题。

1.1 静态最优化问题

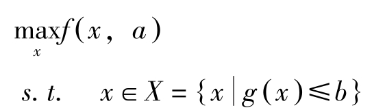
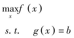
考虑下述问题:

其中, f x )为目标函数, f R n R 的映射, x =( x 1 x 2 ,…, x n )为商品的投入向量,投入 x 需消耗 g x )数量的资源, g R n R m 的映射, b 为资源总量。

先不考虑约束条件,假定 g x )存在最优解 x 。下面分三种情况讨论该问题的求解:

(1)约束未起作用,即 g x )< b

(2)约束取等号,即 g x )= b

(3)有些约束未起作用,有些取等号,即 g x )≤ b

1.2 约束不起作用的场合:古典方法

在约束未起作用的场合, g x )< b x X 的内部,相当于无约束的情况。

在古典方法中,让 x 在最优解 x 的周围发生微小变动Δ x ,看一下函数值的变化。若 f x )在 x 及其附近连续可微,则忽略高阶小量有:

由于 x 是最大解, f x )≥ f x x ),因此 f x )≥ f x )+ f′ x )Δ x ,即

但Δ x 可正可负,因此必有 f′ x )=0。

于是我们有:

定理1: f R n 上连续可微,若存在 x 使得 g x )< b ,那么 x 为上述问题最优解的一阶必要条件是 f′ x )=0。此时, x 为内点解。

下面的定理2给出 x 为极大值的一个充分条件。

定理2: f R n 上连续可微凹函数,若 g x )< b f′ x )=0,则 x 为极大值点。

证明: f 是凹函数,所以有: f x -f x )≤ f′ x )( x-x )。又 f′ x )=0,故 f x )≥ f x ),即 x 为极大值点。

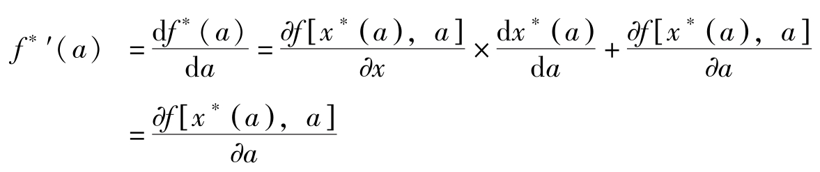
定理3(包络定理): 假定 f 在( R n )上连续可微,且 x a )为下述问题

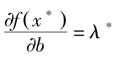
的最优解。记 f a )≡ f [ x a ), a ],若 x a )在 X 的内部且关于 a 连续可微,那么 成立。

证明: x a )为上述问题的解,故有 。于是,

上述包络定理在经济学中有广泛的应用。如在微观经济学中,考虑短期与长期成本曲线的区别。企业投入资本与劳动进行生产,短期内资本投入视为固定,劳动投入可变。用 a 表示短期的生产水平, z 表示劳动投入, x 表示资本投入,生产函数为 a = F z x )。成本 f = wz + rx ,其中 w r 分别表示工资与租金。短期成本是产量的函数,记作 c s a ), c s a )= f x a ),其中 x 外生给定。长期中, x 为可变,对任意给定的产量 a ,企业会选择最优的资本投入使成本最小,长期成本函数 c l a )= 。由包络定理, c′ l a )= c′ s [ x a ), a ],也就是说,长期成本曲线在每一产量 a 处都与对应该产量的最优短期生产规模的成本曲线相切,即长期成本曲线为短期成本曲线的包络线。如图1所示。

图1 长期成本与短期成本

高级宏观经济学中也经常使用包络定理。如在高级宏观经济学中经常要对Bellman方程进行分析,每次分析我们都会用到包络定理。

定理4(凹性定理): 假定 f x a ): R n × R m R 关于( x a )凹,且对所有的 a R m f a )= x a )均存在,则 f R m R 关于 a 凹。

证明: a a′ R m ,记使 f x a )与 f x a′ )分别达到最大的 x 值为 x a ), x a′ )。∀ λ ,0≤ λ ≤1,显然有:

于是

f [ λa +(1 ) a′ ]=m x ax f [ x , λa +(1 ) a′ ]

[这是因为 f x a ): R n × R m R 关于( x a )凹]

f R m R 关于 a 凹。

1.3 等式约束:拉格朗日乘子法

本节讨论第1章1.1节中的第二种情况,即约束取等号的情况。

1.3.1 两变量的场合

先考虑如下两变量问题:

其中 b R g 为实函数。

对上述问题构造拉格朗日函数:

一阶条件为:

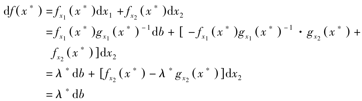
利用上面这三个条件可求最优解 与拉格朗日乘数 λ 。由(1.3.1)有:

下面看一下拉格朗日乘数的意义。

对约束条件全微分有:

因此,

利用(1.3.5)式,有:

因此, λ 是资源 b 的最后一单位增加所引起的目标函数最优值的变化,它反映了目标函数对资源 b 的敏感程度。

1.3.2 一般的场合

考虑1.1节中约束取等号的问题:

对于上述问题,有如下定理:

定理 5(拉格朗日乘子法): 假定:① f g 连续可微;② m n ;③ g′ x )满行秩。记 L x λ )= f x )+ λ [ b-g x )],若 x 为上述问题的解,则存在向量 λ (称为拉格朗日乘数)满足:

证明: 由于 g 满足条件①、②和③,根据隐函数定理,在 x 近旁可将 x =( x 1 x 2 ,…, x n )分为两部分: m 维向量 x 1 n-m 维向量 x 2 ,使得 x 2 可表示成 x 1 的某一函数 x 2 = h x 1 )。于是上述问题可改写成下述无约束的局部最大化问题:

f h 都连续可微,所以该最大化问题的必要条件为:

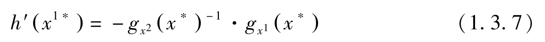
另一方面,预算约束对 x 1 的导数 g x 1 x )+ g x 2 x h′ x 1∗ )=0,即

把上式代入(1.3.6)式有:

另外,显然有:

λ = x )· g x 2 x -1 ,并记为 L x λ )= f x )+ λ [ b-g x )],则可将(1.3.8)与(1.3.9)式合写为:

L λ x λ )=0显然成立。

下面看一下存在等式约束时的包络定理。

定义

于是

这里用到了一阶条件 f x g x =0与约束条件 g = b

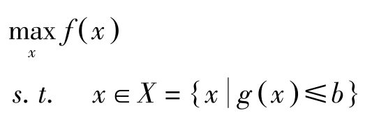
1.4 非线性规划( NLP )问题

本节讨论1.1节中问题的第三种情况:

(NLP)

其中, f g 均为向量 x 的连续实函数。

1.4.1 松弛变量:拉格朗日乘数与库恩塔克条件

先考虑两变量的情况。

(NLP)

引入松弛变量 s ,将问题变为:

(NLP)

现在,假定最大解为 x s 。在 x s 处对约束条件全微分有:

g x 1 x )≠0,则由上式可得:

因此若忽略二阶小量,近似有:

=[ -f x 1 x g x 1 x -1 g x 2 x )+ f x 2 x )]d x 2 -[ f x 1 x g x 1 x -1 ]d s 若d s =0,由于d x 2 可正可负,故必有

假定d s ≠0,d x 2 =0。注意到 s ≥0,故若 s =0,则必有d s >0;若 s >0,则d s 可正可负。因此,当 s >0 时,必有 f x 1 x g x 1 x -1 =0;而 s =0时,必有 f x 1 x g x 1 x -1 ≥0。

f x 1 x g x 1 x -1 = λ ,则上述分析表明: λ ≥0且 λ s =0。

另一方面, -f x 1 x g x 1 x -1 g x 1 x )+ f x 1 x )=0,利用(1.4.3)式我们有:

f x ( x ) g x ( x )=0

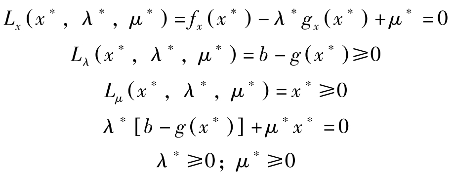
L x λ )= f x )+ λ b-g x )],则上述问题最优解的必要条件为:

(a) L x ( x , λ )= f x ( x ) g x ( x )=0

(b) L λ = b-g ( x )[= s ]≥0

(c) λ L λ = λ [ b-g ( x )][= λ s ]=0

(d) λ ≥0

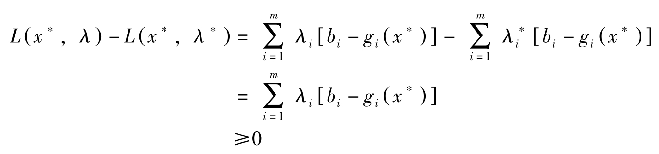
这些必要条件也称为 库恩塔克条件 。需要注意的是:首先,拉格朗日乘数总是非负的(d);其次,拉格朗日乘数为正时松弛变量为0,对应的约束取等号(c);最后,(b)、(c)与(d)意味着 λ L x λ )的最小值点。

最后一点可以这样说明:假定 λ L x λ )的最小值点,则下式近似成立:

0≤ L ( x , λ λ ) -L ( x , λ )= L λ ( x , λ λ

λ >0,则Δ λ 可正可负;要使上式成立,必有 L λ =0;

λ =0,则Δ λ 只能大于等于0;要使上式成立,必有 L λ ≥0。

1.4.2 库恩塔克条件与鞍点条件

I x )={ i|g i x )= b i },若等式约束的导函数向量的集合,而 x 处的元素线性独立,则称 g x 处满足正则条件。

若对所有的 i g i 均为连续可微的凸函数,且存在 x 0 R n 使 g i x 0 )< b i ,则称 g 满足凸性与Slater条件。

若约束满足正则条件或满足凸性与Slater条件,则(NLP)的最大解 x 满足库恩塔克条件(定理8与定理9会加以证明)。即存在 λ 使(a)、(b)、(c)和(d)成立。此时若 f 为凹函数, g i 均为凸函数,则 L x λ )关于 x 凹,关于 λ 线性。于是(a)式意味着对所有的 x R n ,有

这是因为 L x λ -L x λ )≤ L x x λ )( x-x )=0。

另一方面,(b)、(c)与(d)意味着对任意的 λ ≥0, λ 转置 R m ,有

我们称( x λ )为鞍点。因此有如下定理:

定理6: 假定 f 为凹函数且约束满足正则性、或满足凸性与Slater 条件。若 x 是(NLP)的最大解,则存在 λ ≥0,使( x λ )为鞍点。

1.4.3 库恩塔克条件的必要性与充分性

定理7(Fritz John): 假定 f g 连续可微。若 x 是(NLP)的最优解,则存在 m +1维向量 η =( η 0 η 1 ,…, η m )>0,使得

η i [ b i -g i ( x )]=0

g i ( x )≤ b i ( i =1,2,…, m )

成立。

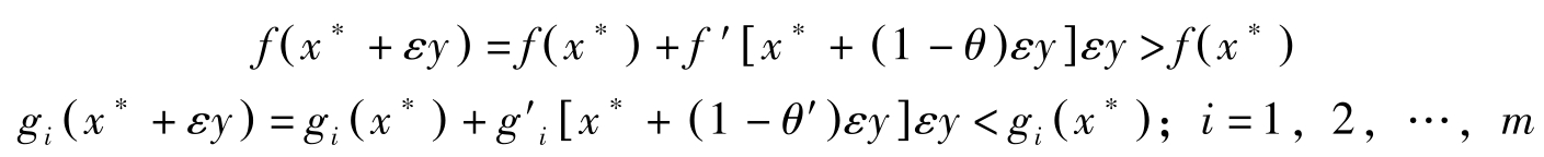
证明: z 1 x )={ i I x ); y R n }; z 2 x )={ y|f′ x y >0; y R n };这里 I x )={ i|g i x )= b i }。

首先证明:若 x 为最大解,则 z 1 x )∩ z 2 x )= φ

由于这两个集合均为开集,故对于 y z 1 x )∩ z 2 x ),取充分小的正数 ε >0,按微分中值定理,存在0< θ <1与0< θ′ <1使得

因此 g i x + εy )≤ b i i =1,2,…, m f x + εy )> f x )。这与 x 是最大解矛盾!

这说明若 x 为最大解,则 z 1 x )∩ z 2 x )= φ ,这两个集合是分离的。

I x )={ i 1 i 2 ,…, i k },则有:

其次,利用上式与Gordan定理,存在( η 0 η i 1 ,…, η i k )>0满足:

再加上对 i I x ),即 g i x )< b i ,让 η i =0。于是

证毕。

所谓Gordan定理是指:对于 m n 维行向量 a i =( a i 1 a i 2 ,…, a in ), i =1,2,…, m ,要么存在 n 维列向量 y 使得

要么存在 m 维列向量 η >0使得

二者不可得兼。

定理8: 假定 f g 连续可微,且 g x 处满足正则性。若 x 是(NLP)的最大解,则库恩塔克条件(a)、(b)、(c)与(d)必成立。

证明: = η i 0 ,只需证明 η 0 ≠0即可。

假定 η 0 =0,则 =0。由于 η >0(不全为0),故 g 的导函数向量线性相关,与正则性矛盾!

定理9: 假定 f g 连续可微,且 g 满足凸性及 Slater 条件。 x 若是(NLP)的最大解,则必满足库恩塔克条件。

证明: 只需证明 η 0 ≠0 即可。因 g 满足 Slater 条件,故存在 x 0 R n 使 g x 0 )< b 。又因 g 满足凸性,故对所有的 i g i x 0 -g i x )≥ x )( x 0 -x )。

η =( η 0 η 1 ,…, η m )非负,故

这里,若 η 0 =0,则由定理7第一式知 =0,于是

因而,

由定理7第二式知

η =( η 0 η 1 ,…, η m )>0, η 0 =0,故( η 1 ,…, η m )>0。由Slater条件知对所有的 i ,都有 g i x 0 )< b i ,于是有

矛盾!

定理10(库恩塔克条件的充分性): 假定 f g 连续可微, f 为凹函数,且 g i 对所有的 i 均为凸函数。若 x 满足库恩塔克条件,则其必为(NLP)的最大解。

证明: 定义集合 I J 如下

对任意满足 b g x )的 x 以及所有的 i I x ),有 b i = g i x )≥ g i x )。由于 g i 是凸函数,故对所有的 i I x ),均有 g′ i x )( x-x )≤0。

由于 λ ≥0,故对所有的 i I x ), x )( x-x )≤0。

由库恩塔克条件(b)、(c)与(d)可知,对所有的 j J x ), x )( x-x )=0。故 λ g′ x )( x-x )≤0。

另一方面, f 的凹性及条件(a)意味着

f ( x ) -f ( x )≤ f′ ( x )( x-x )= λ g′ ( x )( x-x )≤0

这就是说, f x )是最大值。

推论1: 假定 f g 连续可微, f 凹, g 凸且满足 Slater 条件,则 x 是(NLP)最大解的充要条件是它满足库恩塔克条件。

1.4.4 存在非负约束时的库恩塔克条件

考虑下述问题:

构造拉格朗日函数,

库恩塔克条件为:

消去 μ ,可将这些条件归结为对 L x λ )= f x )+ λ [ b-g x )]:

以上是存在非负约束时的库恩塔克条件。

1.4.5 鞍点条件的必要性与充分性

定理11: 假定 f 凹, g 凸。 x 若是(NLP)的最优解,则存在 m +1维向量 η =( η 0 η 1 ,…, η m )>0,使得对任意的 x R n ,有

定理7假定 f g 连续可微,而定理11假定 f 凹, g 凸。该定理的证明须利用一般化的Gordan定理(Fan,Glicksberg,Hoffman定理):

对定义在 R n 上的凸函数 h 0 h 1 ,…, h m ,或者①存在 y 0 R n ,使对所有的 i 都有 h i y 0 )<0,或者②对所有的 y R n 都存在 η =( η 0 η 1 ,…, η m )>0使得 。但二者不可兼得。

上述一般化定理中若令 h i y )= a i y ,即可得到前面的Gordan定理。

现在证明定理11。令

f 凹, g 凸,故 h 0 x )与 h i x ), i =1,…, m 皆为凸函数。由于 x 是(NLP)的最优解,故使

成立的 x R n 不存在。根据一般化的Gordan定理,存在 η =( η 0 η 1 ,…, η m )>0,使得对任意的 x R n ,有

成立。

定理12: 假定 f 凹, g 凸且满足Slater条件。 x 若是(NLP)的最优解,则必存在 λ ≥0,使( x λ )满足鞍点条件。

证明: 假定 η 0 =0,于是对任意的 x R n ,均有

η =( η 0 η 1 ,…, η m )>0, η 0 =0,故( η 1 ,…, η m )>0。由Slater条件知存在 x 0 X R n ,对所有的 i ,都有 g i x 0 )< b i ,于是有

矛盾!因此, η 0 ≠0。

,则Fritz John不等式变为

现在令 x = x ,则有 ,但 ,因此

,则

另一方面,

因此( x λ )满足鞍点条件。

定理13: 对于 x ,若存在 λ ≥0使得( x λ )满足鞍点条件,则 x 为(NLP)的最大解。

证明: 因( x λ )为鞍点,对所有的 x R n λ ≥0, λ 转置 R m

从上式的后一个不等式可得( λ-λ )[ b-g x )]≥0。该式对 λ =0 也成立,因而

i =1,…, j -1, j +1,…, m λ j = +1,则 b j g j x ),由于 j 是任意的,所以 b g x )。于是 λ [ b-g x )]≥0。故

下面考虑满足 b g x )的 x 。因 f x )+ λ [ b-g x )]≤ f x )+ λ [ b-g x )],故

因此, x 为(NLP)的最大解。

推论2: f 凹, g 凸且满足Slater条件。 x 若是(NLP)的最大解的充要条件是 x 满足鞍点条件。

1.4.6 库恩塔克乘数的意义

考虑(NLP),假定 x 满足库恩塔克条件。于是存在 λ ,使得:

(a) L x ( x , λ )= f x ( x ) g x ( x )=0

(b) L λ ( x , λ )= b-g ( x )≥0

(c) λ L λ = λ [ b-g ( x )]=0

(d) λ ≥0

成立。

I x )={ i|g i x )= b i }; J x )={ j|g j x )< b j }。上述条件可改写为

=0

(b1) b i -g i ( x )=0; i I ( x )

(c1 ≥0; i I ( x )

(d1 =0; j J ( x )

(a1)成立是因为(d1)成立。

因此 x 只依赖于 b i i I x ),不依赖于 b j j J x )。所以

另一方面,(a1)与(b1)所对应的拉格朗日乘数与下述问题对应相同

该问题是等式约束最大化问题, 。因此

也就是说库恩塔克乘数和拉格朗日乘数具有相同的意义。 1+W5KaDbHCc5sM/5FFMvZTbrlfHA7CbeJH1fyus3cbkORgLjLGcjax1pxqT2ydQ5

点击中间区域
呼出菜单
上一章
目录
下一章
×