购买
下载掌阅APP,畅读海量书库
立即打开
畅读海量书库
扫码下载掌阅APP

第一章 蛋白质的结构与功能

【教学要点】

1. 氨基酸:分类,肽键、肽的概念。

2. 蛋白质结构:一、二、三和四级结构的概念及要点或特点,蛋白质二级结构的基本形式,模体、结构域的概念。

3. 蛋白质的结构与功能的关系:一级结构与空间结构,空间结构与功能。

4. 蛋白质理化性质:等电点的概念,亲水胶体稳定因素,蛋白质变性的概念、特点。

5. 蛋白质分离、纯化:透析、盐析、电泳的基本原理。

蛋白质存在于一切生物体中,是生命活动的主要承担者。自18世纪中叶,研究者陆续从不同生物组织中发现一类用酸处理后能够凝结或絮凝的独特生物分子。1838年荷兰科学家G. J. Mulder用“protein”表示这类分子。protein源于希腊字,意思是最重要的。进入20世纪,蛋白质研究飞速发展,1902年德国化学家H. E. Fischer确定了蛋白质是由氨基酸通过肽键连接起来的。1927年J. B. Summer通过从刀豆中提取的脲酶结晶首次证明酶的化学本质是蛋白质。1953年F. Sanger揭示了胰岛素中氨基酸残基的排列顺序。1994年澳大利亚Wilkins提出了蛋白质组的概念,蛋白质组(proteome)源于蛋白质(protein)和基因组(genome)两个词的组合,是指一个基因组、一个细胞、一种组织或一种生物体所表达的全部蛋白质。需要注意的是,蛋白质组的表达谱会随着个体所处的不同发育生长阶段或不同的环境而发生变化。蛋白质组学(proteomics)是指在整体水平上研究细胞、组织或机体中特定时间和空间上表达的所有蛋白质的组成、表达水平、功能及调控的活动规律的新兴学科。

第一节 蛋白质的分子组成

虽然蛋白质种类繁多,但元素组成基本相似,所有蛋白质分子都含有碳(50%~55%)、氢(6%~7%)、氧(19%~24%)、氮(13%~19%),大部分蛋白质含有硫(0%~4%)。有些蛋白质还含有少量磷或金属元素铁、铜、锌、锰、钴、钼等。各种蛋白质的含氮量十分接近,平均约为16%。生物体内的含氮物质以蛋白质为主要形式,因此只要测出生物样品中含氮量,就能按以下公式计算出样品中蛋白质的大致含量。

每克样品含氮克数×6.25×100=100g样品中蛋白质含量(g%)

一、 氨基酸

氨基酸(amino acid)是蛋白质的基本组成单位。自然界存在300余种氨基酸,但组成人体蛋白质的氨基酸仅有20种,且均为L-α-氨基酸(甘氨酸除外)。

由图1-1可见,这20种氨基酸的共同特点是相邻羧基(—COOH)的α-碳原子结合有4种不同的基团或原子,分别是羧基、氨基(—NH 2 )或亚氨基(=NH)、侧链(R)和氢原子(H),所以α-碳原子是不对称碳原子(甘氨酸除外)。不同的氨基酸只是侧链各异。

图1-1 L-α-氨基酸的结构通式

(一) 氨基酸的分类

组成蛋白质的20种氨基酸,根据其侧链的结构和理化性质可分成四类:①非极性氨基酸;②极性中性氨基酸;③酸性氨基酸;④碱性氨基酸(表1-1)。

表1-1 氨基酸分类

续表

非极性氨基酸的侧链为疏水性基团,水溶性小于极性中性氨基酸。极性中性氨基酸侧链上的巯基、羟基或酰胺基有亲水性。酸性氨基酸的侧链都含有羧基,在水溶液中能释出H + 而带负电荷。碱性氨基酸侧链上有氨基、胍基或咪唑基,在水溶液中能结合H + 而带正电荷。酸性氨基酸和碱性氨基酸的侧链亲水性强。含有苯基的苯丙氨酸、酪氨酸和色氨酸统称为芳香族氨基酸。

20种氨基酸中脯氨酸属于亚氨基酸。在蛋白质合成加工时脯氨酸和赖氨酸可分别被修饰成羟脯氨酸、羟赖氨酸。半胱氨酸的巯基容易失去质子,在蛋白质中有时2个半胱氨酸的巯基通过脱氢以二硫键相结合,形成胱氨酸(图1-2)。

图1-2 胱氨酸与二硫键

(二) 氨基酸的理化性质

1. 两性解离及等电点

氨基酸的同一分子中既含有碱性的α-氨基,又含有酸性的α-羧基,在溶液中可分别解离形成带正电荷的阳离子( )和带负电荷的阴离子(—COO - ),因此氨基酸是两性电解质。氨基酸的解离状态受溶液pH的影响,在某一pH溶液中,氨基酸解离所带的正负电荷数量相等,成为兼性离子,净电荷为零,此时溶液的pH称为该氨基酸的等电点(isoelectric point,pI)。此时,若向溶液中加酸,氨基酸解离为阳离子;若向溶液中加碱,氨基酸解离为阴离子。

2. 氨基酸的紫外吸收性质

芳香族氨基酸中的色氨酸、酪氨酸含有共轭双键,具有吸收紫外光的特性,最大吸收峰在280nm波长附近(图1-3)。由于大多数蛋白质含有色氨酸和酪氨酸残基,所以蛋白质溶液在280nm的紫外吸收值与蛋白质的浓度成正比。此特性可用于蛋白质的定量分析。

图1-3 芳香族氨基酸的紫外吸收

3. 氨基酸的茚三酮反应

氨基酸能与某些试剂发生特异的颜色反应。例如,氨基酸与茚三酮水合物共加热时,氨基酸被氧化脱氨,而茚三酮水合物被还原并与氨基酸分解出来的氨结合,然后该产物的氨基再与另一分子茚三酮缩合成为蓝紫色的化合物,此化合物最大吸收峰在570nm波长处。该反应可用作为氨基酸的定量分析方法。

二、 肽

氨基酸通过肽键彼此连接起来的化合物称为肽(peptide)。肽键(peptide bond)是由一分子氨基酸的α-羧基与另一分子氨基酸的α-氨基脱水形成的共价键,属于酰胺键(图1-4)。氨基酸形成肽键连接之后,由于脱水而结构不完整,称为氨基酸残基。由2个氨基酸残基组成的肽称为二肽;由3个氨基酸残基组成的肽称为三肽,依此类推。通常把2~10个氨基酸相连而成的肽称为寡肽,11~50个氨基酸相连而成的肽称为多肽,50个氨基酸以上相连而成的肽称为蛋白质。多肽和蛋白质的链状结构称为多肽链(polypeptide chain),多肽链有两端,一端是游离的α-氨基称为氨基端或N端;另一端是游离的α-羧基称为羧基端或C端。

除蛋白质外,在生物体内还有一些具有生物活性的小分子肽类,属于寡肽或多肽,称为生物活性肽。生物活性肽在细胞间信息传递、神经传导、代谢调节等方面起着重要的作用。例如,下丘脑分泌的促甲状腺素释放激素是三肽,腺垂体分泌的促肾上腺皮质激素是39肽,等等。下面重点介绍谷胱甘肽。

图1-4 肽与肽键

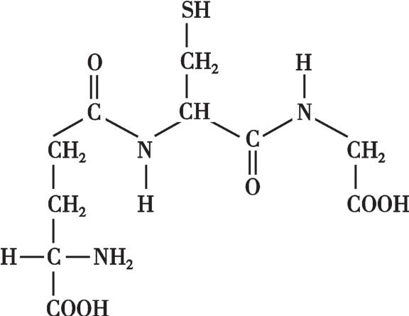
谷胱甘肽(glutathione,GSH;SH表示分子中的游离巯基)是由谷氨酸、半胱氨酸和甘氨酸缩合成的三肽。GSH是一种不典型的三肽,其谷氨酸通过γ-羧基与半胱氨酸的α-氨基形成酰胺键(图1-5)。GSH分子中的巯基是主要官能团,具有还原性。GSH通过巯基参与细胞内的氧化还原作用,而保护蛋白质或酶的活性巯基不被氧化。例如,在谷胱甘肽过氧化物酶的催化下,GSH作为抗氧化剂可还原细胞内产生的H 2 O 2 ,使其转变成H 2 O。此反应生成的氧化型谷胱甘肽(GSSG)需重新转化为还原型的GSH,维持抗氧化作用(图1-6)。

图1-5 谷胱甘肽(GSH)

图1-6 GSH与GSSG间的相互转换

NADP + :烟酰胺腺嘌呤二核苷酸磷酸

三、 蛋白质的分类

蛋白质结构复杂、种类繁多,所以分类方法也有多种。

(一) 根据蛋白质组成成分分类

分为单纯蛋白质和结合蛋白质两大类。单纯蛋白质只含氨基酸。而结合蛋白质除蛋白质部分外,还含有非蛋白质部分,其非蛋白质部分称为辅基。按辅基不同,结合蛋白又可分为糖蛋白(含多糖)、脂蛋白(含脂类)、核蛋白(含核酸)、磷蛋白(含磷酸)、金属蛋白(含金属)和色蛋白(含色素)等。

(二) 根据蛋白质分子形状分类

分为球状蛋白质和纤维状蛋白质两大类。球状蛋白质的长轴与短轴相差不多,分子呈球状或椭球状。生物界多数蛋白质属球状蛋白质,一般为可溶性,如酶、转运蛋白、蛋白质类激素、代谢调节蛋白质、基因表达调控蛋白质和免疫球蛋白等。纤维状蛋白质的长轴一般比短轴长10倍以上。纤维状蛋白质多数为结构蛋白质,大多难溶于水,如结缔组织中的胶原蛋白和弹性蛋白、毛发中的角蛋白等。

第二节 蛋白质的分子结构

蛋白质的分子量大,结构十分复杂。尽管如此,其结构总的来看,仍有一定规律。蛋白质分子的基本结构是由氨基酸彼此连接成线状的一级结构,在此基础上旋转、折叠、盘曲,依次形成二级和三级结构,由两条或两条以上的多肽链形成的蛋白质还可形成四级结构。二级、三级和四级结构统称为空间结构或空间构象(conformation)。

一、 蛋白质的一级结构

蛋白质多肽链上从N端至C端的氨基酸排列顺序称为蛋白质的一级结构(primary structure)。一级结构中主要的化学键是肽键。蛋白质中氨基酸的排列顺序是由其基因携带的遗传信息决定的,而各种蛋白质因其一级结构不同而形成不同的空间构象,不同的空间构象决定了不同蛋白质的生物学功能。

1953年英国生化学家F. Sanger完成了牛胰岛素全部氨基酸排列顺序的测定,这是第一个被测定的蛋白质一级结构。牛胰岛素是由51个氨基酸残基组成,包括A、B两条多肽链,A链含21个氨基酸残基,B链含30个氨基酸残基。牛胰岛素分子中有3个二硫键,一个位于A链内,另两个二硫键位于A、B两链间(图1-7)。

二、 蛋白质的二级结构

在蛋白质一级结构的基础上,天然蛋白质会形成立体的二级结构。蛋白质的二级结构(secondary structure)是指蛋白质分子中某一段肽链的局部空间结构,也就是该段肽链主链骨架原子的相对空间位置,并不涉及氨基酸残基侧链的构象。肽链主链骨架原子包括α-碳原子(Cα)及其相连的氨基氮(N)和羰基碳(C),N-Cα-C三原子重复排列。蛋白质二级结构的主要构象形式有α-螺旋、β-折叠、β-转角和无规卷曲。一个蛋白质分子可含有不同形式的二级结构或多个同种形式的二级结构。

(一) 肽单元

肽键的性质是形成二级结构的基础。多肽链中的肽键键长为0.132nm,短于C—N单键的0.147nm,长于C=N双键的0.123nm,故肽键具有部分双键的性质,因此不能自由旋转。参与肽键的6个原子Cα 1 、C、O、N、H和Cα 2 处在同一个平面上,称为肽单元(peptide unit),又称肽平面(图1-8)。每个Cα与两侧肽平面中的N和羰基C原子间以单键连接,可以自由旋转。这种肽平面围绕α-碳原子的单键旋转,是形成多肽链各种空间构象的基础,所以肽平面是蛋白质构象的基本单位。

(二) 蛋白质二级结构的基本形式

1. α-螺旋(α-helix)

是指多肽链中肽平面通过α-碳原子的相对旋转、盘绕形成的一种紧密螺旋构象(图1-9),其结构特点如下:①多肽链的主链围绕中心轴有规律的螺旋式上升,为右手螺旋;②每3.6个氨基酸残基螺旋上升1圈,螺距为0.54nm;③每个肽键的亚氨基氢(H)与相邻第四个肽键的羰基氧(O)形成氢键,氢键是维持α-螺旋结构稳定的主要化学键;④氨基酸残基侧链伸向螺旋外侧,其形状、大小及电荷量的多少均影响α-螺旋的形成。若基团较大的侧链集中或相同电荷的基团集中时,由于空间位阻或同性电荷相斥作用,会妨碍螺旋的形成。

图1-7 牛胰岛素的一级结构

图1-8 肽单元示意图

图1-9 α-螺旋示意图

α-螺旋在蛋白质中广泛存在,第一个被阐明空间结构的肌红蛋白大部分是α-螺旋。毛发的角蛋白、肌肉的肌球蛋白和血凝块中纤维蛋白多肽链都含有大量α-螺旋。

2. β-折叠(β-pleated sheet)

是指两条以上肽链平行排列呈折纸状片层结构(图1-10),其结构特点如下:①多肽链充分伸展,各个肽平面以α-碳原子为旋转点,依次折叠成锯齿状结构。所涉及的肽段一般比较短,只含5~8个氨基酸残基。②两条以上肽链或一条肽链内的若干肽段可平行排列,形成折纸状的片层结构。相邻肽链的走向可相同,也可相反。③肽链间的肽键羰基氧(O)和亚氨基氢(H)形成链间氢键,从而稳定β-折叠结构。④氨基酸残基侧链交替地位于锯齿状结构的上、下方。

图1-10 β-折叠

β-折叠也是蛋白质中常见的结构。蚕丝蛋白几乎全部为反向平行的β-折叠片层结构。

3. β-转角(β-turn)

多肽链出现180°回折的转角部位称为β-转角。β-转角通常由4个氨基酸残基组成。第一个残基的羰基氧(O)与第四个残基的氨基氢(H)形成氢键,以维持转折结构的稳定(图1-11)。脯氨酸因其亚氨基形成的环状结构而常出现在β-转角的第二个氨基酸残基上,但很难出现在α-螺旋和β-折叠中。

图1-11 β-转角

4. 无规卷曲(random coil)

除上述结构外,肽链其余部分形成相对没有规律性的构象,习惯上称为“无规卷曲”。但对同一种蛋白质的相应肽段而言,其卷曲是相同的。

在许多蛋白质分子中,由两个或两个以上二级结构的肽段,在空间上相互接近,形成一个特殊的空间构象,并具有特定的功能,被称为模体(motif)。锌指结构(zinc finger)是常见的模体,它由一个α-螺旋和β-折叠组成(图1-12),形似手指,模体N端的两个半胱氨酸残基侧链和C端的两个组氨酸残基侧链分别与锌离子形成4个配位键。锌指结构能与DNA或RNA结合,含锌指结构的蛋白质一般具有调控基因转录的功能。

三、 蛋白质的三级结构

图1-12 锌指结构示意图

蛋白质多肽链在二级结构基础上进一步盘曲、折叠形成蛋白质三级结构。蛋白质的三级结构(tertiary structure)是指整条多肽链中所有原子在三维空间的排布,包括主链、侧链构象。蛋白质三级结构的形成和稳定主要靠次级键,包括疏水作用、离子键(盐键)、氢键、范德华力(Van der Waals force)。另外,以共价结合的二硫键也参与三级结构的形成(图1-13)。其中,疏水作用是维持蛋白质三级结构最主要的稳定力,疏水基团因疏水作用聚向分子的内部,而亲水基团则多分布在分子表面。天然蛋白质一般至少要形成三级结构才具备生物学活性。

图1-13 维持蛋白质三级结构的化学键

a. 氢键;b. 离子键;c. 疏水作用;d. 范德华力

世界上第一个被阐明三级结构的蛋白质是抹香鲸肌红蛋白,这是1960年英国分子生物学家Kendrew用X线衍射法揭示的。抹香鲸肌红蛋白由一条含153个氨基酸残基的多肽链和1个血红素辅基组成,有8 个α-螺旋区(A~H),每2个螺旋区之间有一段无规卷曲,脯氨酸位于转角处,呈球状(图1-14)。

一些具备三级结构的蛋白质或亚基,可含一个或数个折叠较紧密的特定三维结构区域,并各自具有特定的生物学活性,称为结构域(domain)。大多数结构域含有序列上连续的100~200个氨基酸残基,也可由不连续的肽段相互接近构成。例如,3-磷酸甘油醛脱氢酶由两个亚基构成,每个亚基含两个结构域,其中一个结构域(第1~146位氨基酸残基)能与NAD + (烟酰胺腺嘌呤二核苷酸)结合,另一个结构域(第147~333位氨基酸残基)能与底物3-磷酸甘油醛结合(图1-15)。

四、 蛋白质的四级结构

部分蛋白质由两条或两条以上多肽链组成,其中每条多肽链都有其独立的三级结构,称为亚基(subunit)。亚基之间以非共价键相连,这种亚基及其之间的空间排布,称为蛋白质的四级结构(quaternary structure)。维持四级结构的作用力主要是氢键、离子键以及疏水作用、范德华力等。在四级结构蛋白质分子中各亚基的结构可以相同,也可以不同。单独的亚基通常没有生物学功能,只有各亚基共同构成完整的四级结构蛋白质时才具有生物活性。例如,血红蛋白为α 2 β 2 四聚体,即含两个α亚基和两个β亚基(图1-16)。血红蛋白通过亚基之间的变构效应能更迅速实现与氧的结合和解离。

有些蛋白质也有两条或两条以上肽链,但肽链间通过共价键(如二硫键)相连,这种结构不属于四级结构,如胰岛素。

图1-14 肌红蛋白的三级结构

图1-15 3-磷酸甘油醛脱氢酶亚基的结构示意图

图1-16 血红蛋白的四级结构

第三节 蛋白质结构与功能的关系

机体中的每一种蛋白质都各自担负着特殊的生物学功能。蛋白质的生物学功能与蛋白质特殊的空间结构密切联系,而空间结构的基础是蛋白质多肽链中氨基酸的排列顺序。

一、 蛋白质的一级结构与空间结构和功能的关系

蛋白质一级结构的氨基酸顺序是形成空间结构的基础。20世纪60年代,Christian B. Anfinsen对含124个氨基酸残基和4对二硫键的牛核糖核酸酶进行变性和复性研究(图1-17)发现,用蛋白质变性剂尿素和二硫键还原剂β-巯基乙醇处理该酶时,分别使其次级键及二硫键断裂,导致其二级、三级结构被破坏、松解,但一级结构不受影响,此时该酶失去了催化活性。但用透析法除去尿素和β-巯基乙醇后,松散的多肽链自动折叠盘曲形成天然三级结构,4对二硫键也正确配对,这时酶活性完全恢复。这个实验充分说明一级结构的氨基酸排列顺序包含着建立正确空间结构的全部信息。

一级结构相似的蛋白质具有相似的空间结构与功能。例如,不同哺乳类动物的胰岛素分子都由A和B两条链组成,一级结构仅有个别氨基酸差异,二硫键的配对位置极其相似,因而它们的空间构象相似并都执行相同的调节糖代谢等生理功能。蛋白质一级结构的比较常被用来预测蛋白质之间结构与功能的相似性。

蛋白质中起关键作用的氨基酸残基缺失或被替代,会严重影响空间结构和功能。例如,正常人血红蛋白β亚基的第6位氨基酸残基是谷氨酸,而镰状细胞贫血患者的血红蛋白中,谷氨酸变成了缬氨酸,仅此1个氨基酸之差,就使血红蛋白因水溶性降低,而相互聚集,导致红细胞变形成为镰刀状且极易破碎,造成贫血。但并非一级结构中的每个氨基酸都很重要,如细胞色素c的某些位点即使置换数十个氨基酸残基,其功能依然不变。

需要注意的是,体内大多数蛋白质的天然空间结构的形成,除要有正确的一级结构外,还需要其他多种蛋白质(如分子伴侣)协助装配,才能使多肽链形成有生物学功能的空间结构。也就是说,大多数蛋白质的空间结构被破坏后,一般不能依靠其一级结构自动恢复原有的构象和功能。

二、 蛋白质的空间结构与功能的关系

图1-17 牛核糖核酸酶一级结构与空间结构的关系

蛋白质空间结构是其生物活性的基础,即蛋白质的特定空间结构决定其生物学功能,最突出的表现是一旦蛋白质空间结构被破坏,其生物学功能也随之丧失,即蛋白质变性作用(详见蛋白质理化性质)。此外,在生物体中普遍存在通过改变蛋白质的空间结构而调节其生物学功能的现象。具体而言,一些小分子的配体与蛋白质活性中心以外的部位结合后,引起蛋白质空间结构改变,进而导致功能改变的现象称为变构效应(allosteric effect)或别构效应。下面以血红蛋白的变构效应为例,说明蛋白质空间结构和功能的关系。

血红蛋白(hemoglobin,Hb)是由两条α链和两条β链共4个亚基组成的四级结构,4个亚基通过8对离子键紧密结合,每个亚基结合1个血红素辅基。血红素(heme)是铁卟啉化合物,Fe 2+ 位于卟啉环中央,分别与4个吡咯环的氮原子形成4个配位键,与血红蛋白多肽链的F8组氨酸咪唑基的氮原子形成第五个配位,第六个配位键与氧分子相连。每个血红素的Fe 2+ 能可逆地结合1分子氧,因此Hb总共可携带4分子氧。Hb的主要功能是在血液循环中运送氧。

未结合O 2 时,Hb构象较为紧密,称为紧张态(tense state,T态)。T态Hb与O 2 的亲和力小。在肺部,由于氧分压较高,促使T态Hb中第一亚基(α 1 )与O 2 结合,氧分子进入Fe 2+ 的第六个配位键,使Fe 2+ 的半径变小,并进入卟啉环中间的小孔,进而引起该亚基的F肽段发生位移,影响附近肽段的构象;导致亚基之间的盐键断裂,使亚基间结合松弛,从而促进第二个亚基(α 2 )及第三个亚基(β 1 )与O 2 结合,当前三个亚基与O 2 结合后,又可大大促进第四个亚基(β 2 )与O 2 结合。此时,Hb的构象变得相对松弛,与氧的亲和力非常高,称为松弛态(relaxed state,R态)。而在氧分压低的组织中,它又迅速释放出转运的O 2 。此时,Hb由R态转变回T态(图1-18)。这种由效应剂(O 2 )与亚基结合后引起亚基乃至整个蛋白质分子的构象变化和功能的改变,称为变构效应。一些酶和受体也存在变构效应,所以变构效应具有普遍的生物学意义。

图1-18 Hb氧合与脱氧构象转换示意图

2,3-BPG:2,3-二磷酸甘油酸

一个亚基与其配体(Hb中的配体为O 2 )结合后,能促进此蛋白质中另一亚基与配体的结合能力,称为正协同效应;反之则为负协同效应。

血红蛋白的变构效应表明,一级结构完整的多肽链不能直接表现蛋白质的功能,只有形成恰当的构象才能表现其功能。蛋白质构象改变,严重时还可引起疾病。

第四节 蛋白质的理化性质

蛋白质由氨基酸组成,因此具有一些与氨基酸相同的理化性质,如两性电离、某些呈色反应等。同时,蛋白质又具有一些与氨基酸不同的性质,如高分子量的胶体性质、沉淀和变性等。这些理化性质是蛋白质分离纯化的依据。

一、 两性电离

在pH中性环境中,蛋白质C端的羧基、酸性氨基酸残基侧链中的羧基可解离成带负电荷的基团;而蛋白质N端的氨基、碱性氨基酸残基侧链中的氨基、胍基和咪唑基可解离成带正电荷的基团。当蛋白质溶液处于某一pH时,蛋白质解离成正、负电荷数量的趋势相等,即成为兼性离子,净电荷为零,此时溶液的pH称为该蛋白质的等电点(pI)。蛋白质溶液的pH大于等电点时,该蛋白质颗粒带负电荷,反之带正电荷(图1-19)。

图1-19 蛋白质的电离式

体内大多数蛋白质的等电点接近pH 5,在体液pH 7.4环境下一般解离成阴离子。少数含碱性氨基酸残基较多的蛋白质,其等电点偏碱性,称为碱性蛋白质,如组蛋白、鱼精蛋白等;少数含酸性氨基酸残基较多的蛋白质,等电点偏酸性,称为酸性蛋白质,如酪蛋白、胃蛋白酶等。依据蛋白质两性解离的性质,可用电泳、离子交换层析技术和等电点沉淀法分离蛋白质。

二、 胶体性质

蛋白质是高分子化合物,分子直径大小为1~100nm,属于胶体颗粒的范围。大多数蛋白质能溶于水,水溶性蛋白质多呈球状,其疏水基团多借疏水作用聚集、掩藏在分子内部;而亲水基团多位于分子表面,并吸引水分子,使蛋白质颗粒表面有多层水分子包围,形成水化膜。水化膜能使蛋白质颗粒彼此隔开,防止蛋白质颗粒聚集、沉淀。同时,蛋白质表面一些基团解离后带有相同电荷,可使蛋白质之间相互排斥,也能防止蛋白质颗粒聚集、沉淀。因此,蛋白质表面的水化膜和表面电荷是维持蛋白质胶体溶液稳定的两个重要因素。若去除这两个稳定因素,蛋白质极易从水溶液中聚集、沉淀(图1-20)。在蛋白质分离中使用盐析和丙酮沉淀就是依据这一原理。

三、 蛋白质变性

蛋白质在某些理化因素作用下,其特定的空间构象被破坏而导致理化性质改变和生物学活性丧失,称为蛋白质变性(denaturation)。蛋白质变性主要发生在次级键和二硫键被破坏时,不涉及一级结构中氨基酸顺序的改变,即肽键不断裂。使蛋白质变性的物理因素有加热、紫外线、X线、超声波等;化学因素有强酸、强碱、生物碱试剂、重金属盐、高浓度尿素、盐酸胍、乙醇等。变性后由于结构松散,内部的疏水侧链暴露在外,使蛋白质在疏水作用下容易发生相互聚集而沉淀。另外,变性蛋白质的溶解度降低、黏度增加、结晶能力消失、易被蛋白酶水解等,最重要的改变是生物活性丧失。在临床医学上,用乙醇、紫外线、蒸气、加热等变性因素消毒及灭菌。

图1-20 蛋白质在溶液中的沉淀

+和-分别代表正负电荷;颗粒外层的水化膜

若蛋白质变性程度较轻,在去除变性因素后,有些蛋白质可恢复或部分恢复其原有的构象和功能,称为复性(renaturation)。但是许多蛋白质由于结构复杂,变性后其空间构象破坏严重,不能复性。

变性蛋白质经再加热还可变成比较紧固的凝块,这是变性蛋白质伸展的多肽链由于热运动互相撞击而交联缠绕形成网状结构,称为蛋白质的凝固。

四、 紫外吸收

蛋白质在紫外光波长280nm处有最大吸收峰,这是因为其所含的色氨酸和酪氨酸残基内存在共轭双键所致。该性质可用于蛋白质含量的测定。

五、 呈色反应

蛋白质经水解产生的氨基酸也可发生茚三酮反应(详见本章第一节)。此外,蛋白质中肽键还可与某些试剂发生显色反应,这是氨基酸不具备的。例如双缩脲反应,在稀碱溶液中加热,蛋白质中的肽键与硫酸铜的Cu 2+ 反应生成紫红色物质,所产生的颜色深浅在一定范围内与蛋白质浓度相关。这些呈色反应可用于蛋白质定性、定量检测。

第五节 蛋白质的分离、纯化与结构分析

一、 蛋白质的分离、纯化

体内数以千计的蛋白质是混合存在的,要分析某一种蛋白质的结构和功能就必须先将其分离出来,并且在分离过程中一般要求不能破坏蛋白质空间构象。因此,蛋白质分离通常依据其特殊的理化性能,采取透析、盐析、电泳、层析及超速离心等物理方法,获得高度纯化的单一蛋白质。

(一) 透析和超滤

将蛋白质溶液放入具有超小微孔的半透膜制作的透析袋内,置于水或适当的缓冲液中,小分子杂质(如硫酸铵、氯化钠等)顺浓度差从袋内经微孔扩散到袋外,而大分子的蛋白质被截留在袋内而得到纯化,这种处理称为透析(dialysis)。透析完成后,如果再在袋外放吸水剂如聚乙二醇,则袋内水分也会透出袋外,还可达到浓缩蛋白质的目的。

应用正压或离心力使蛋白质溶液中的水和小分子化合物快速透过含超小微孔的超滤膜,达到浓缩并纯化蛋白质的目的,称为超滤法。此法简便、快速且回收率高,是蛋白质溶液浓缩的常用方法。

(二) 沉淀

蛋白质分子聚集,从溶液中析出的现象称为蛋白质沉淀。通过沉淀可浓缩或分离溶液中的蛋白质。较常用的沉淀蛋白质的方法有盐析(salt precipitation)和有机溶剂沉淀法。

1. 盐析

将高浓度的中性盐加入蛋白质溶液中,以破坏蛋白质水化膜并中和其表面电荷,从而导致蛋白质在水溶液中的稳定性因素去除而沉淀。盐析常用的中性盐有硫酸铵、硫酸钠、氯化钠等,以硫酸铵最为常用。盐析的原理是在高浓度的中性盐溶液中,由于解离的盐离子亲水性比蛋白质强,与蛋白质亲水胶体争夺与水分子结合,而破坏蛋白质的水化膜,同时盐离子通过异性相吸中和蛋白质表面电离基团的电荷,而减少蛋白质表面电荷。盐析过程中蛋白质的天然构象一般不受影响,即蛋白质不会变性。各种蛋白质盐析时所需的盐浓度不同。例如,血清中的清蛋白及球蛋白,前者溶于pH 7.0左右的半饱和的硫酸铵溶液中,而后者在此溶液中沉淀。当硫酸铵溶液达到饱和时,清蛋白也随之析出。因此,盐析法可将蛋白质初步分离,以便后续的进一步纯化。

2. 有机溶剂沉淀

丙酮、乙醇和甲醇等极性强的有机溶剂是蛋白质的脱水剂,能破坏蛋白质的水化膜而使蛋白质沉淀。其中以丙酮最常用,用量一般10倍于蛋白质溶液体积。在等电点时沉淀蛋白质的效果更好。不过这种方法在常温下操作会引起蛋白质变性,因此应在0~4℃低温条件下进行,并且沉淀出的蛋白质应尽快与有机溶剂分离。

(三) 电泳

当溶液pH偏离蛋白质等电点时,带电荷的蛋白质分子在电场中向与其所带电荷相反的电极移动,这种现象称为电泳(electrophoresis)。由于各种蛋白质的等电点不同,在同一pH的溶液中所带电荷的性质和数量也就各不相同,再加上蛋白质的大小、形状等因素的影响,故在同一电场中移动的方向与速度均可不同。利用这一性质可以对蛋白质进行分离与分析。

根据支撑物的不同,电泳可分为醋酸纤维素薄膜电泳、聚丙烯酰胺凝胶电泳和琼脂糖凝胶电泳等。最常用聚丙烯酰胺凝胶电泳(polyacrylamide gel electrophoresis,PAGE)分离和分析蛋白质,该种凝胶具有分子筛效应,除了按蛋白质所带电荷的多少分离外,还根据不同分子量的蛋白质通过凝胶的微孔所受的阻力不同而分离蛋白质,因此其分辨力很高。

(四) 层析

蛋白质溶液(流动相)经过一种固态物质(固定相)时,根据溶液中待分离的蛋白质颗粒大小、电荷多少及亲和力等,将待分离的蛋白质组分在两相中反复分配,并以不同速度流经固定相而达到分离蛋白质的目的,称为层析(chromatography)。层析是分离纯化蛋白质常用的方法。层析种类很多,有离子交换层析、凝胶过滤和亲和层析等。其中离子交换层析应用最广,其纯化效果好。

离子交换层析是用离子交换剂填充的层析柱来分离蛋白质。离子交换剂的种类很多,目前常用的是带正电荷的阴离子交换纤维素或树脂颗粒。先调节待分离蛋白质溶液的pH,使之大于蛋白质等电点。这将使带负电荷的蛋白质在层析柱中与带正电荷的阴离子交换剂结合。然后,用含阴离子(如Cl - )的溶液洗柱。带负电荷少的蛋白质首先被洗脱下来,再增加Cl - 浓度,带负电荷多的蛋白质也被洗脱下来,这样两种蛋白质就被分离了(图1-21)。

图1-21 离子交换层析分离蛋白质

a. 样品全部交换并吸附到树脂上;b. 负电荷较少的分子用较稀的Cl - 或其他负离子溶液洗脱;c. 电荷多的分子随Cl - 浓度增加依次洗脱;d. 洗脱图A280:表示280nm的吸光度

凝胶过滤又称分子筛层析。层析柱内填满带有小孔的凝胶颗粒,一般由葡聚糖制成。蛋白质溶液在流经层析柱过程中,小分子蛋白质进入孔内,因而在柱中滞留时间较长,大分子蛋白质不能进入孔内而径直先流出,这样就使不同大小的蛋白质得以分离(图1-22)。此方法要求待分离蛋白质的分子量彼此之间相差要大。分离效果不及离子交换层析。

图1-22 凝胶过滤分离蛋白质

a. 大球是葡聚糖凝胶颗粒;b. 样品上柱后,小分子进入凝胶微孔,大分子不能进入,故大分子因流程短而先洗脱下来;c. 小分子后洗脱出来

(五) 超速离心

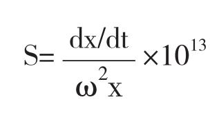
超速离心法是利用超速离心机产生的高达50万g(g为gravity,即地心引力)的强大离心力,使不同密度的蛋白质在离心管的溶液中沉降的位置不同,而分离不同的蛋白质。蛋白质颗粒在单位离心力作用下沉降的速度用沉降系数(sedimentation coefficient,S)表示,系数与蛋白质的密度和形状有关。

式中x为沉降距离,t为离心时间,ω为离心角速度。沉降系数用Svedberg单位代表(1S=1×10 -13 秒)。

沉降系数大体上和分子量成正比,应用超速离心法测定蛋白质分子量时,一般用一个已知分子量的标准蛋白质作为参照,计算公式如下:

这一公式对大多数球状蛋白质适用,但对大多数纤维状蛋白质不适用,因为其形状的高度不对称。

二、 蛋白质的结构分析

(一) 蛋白质一级结构分析

具有功能的蛋白质是由其特定的空间结构决定的,而特定的空间结构特别是其所含的三级结构是以氨基酸顺序为基础的,因此对蛋白质一级结构进行氨基酸测序是研究蛋白质构象和功能不可或缺的前提。

1. 肽链末端分析法

肽链末端分析法是确定肽链末端氨基酸的方法。此方法是由英国F. Sanger开创的,并于1953年完成了第一个蛋白质的测序,即胰岛素的氨基酸顺序测定。现在,此方法已有很大改进并与自动化分析仪器结合,已有数百种蛋白质的氨基酸序列通过此方法确定。该方法的主要步骤包括:①用多种水解法分别将同一种多肽链水解成片段,然后分离纯化各个肽段。由于不同的水解法水解的肽键部位不同,因而切点互相错开。②对每一个肽段的末端进行氨基酸分析,用有色物质(如Sanger当年用二硝基氟苯)或荧光物质(如现在用的丹酰氯)来标记肽链的N-端和(或) C-端的氨基酸,标记后将肽链末端氨基酸水解下来,再鉴定带标记物的氨基酸是何种氨基酸。③将肽段进行拼接、对比,即可确定氨基酸的排列顺序。下面选用二硝基氟苯-氨基末端分析法测定十肽的简单例子加以说明。

一种十肽经胰蛋白酶(特异地水解lys和Arg的羧基形成的肽键)水解得到数个小肽段;再将十肽用酸部分水解,随机切断得到另一套小肽。分离纯化后,用二硝基氟苯分别与每一个肽段的N-端α-氨基结合生成二硝基苯肽,再将肽段水解成氨基酸,然后鉴定标记有二硝基苯的氨基酸种类(以*标示),同时分析肽段所有的氨基酸数量和种类(图1-23)。

最后进行拼接、对比,确定十肽的氨基酸的排列顺序:

胰蛋白酶水解:*谷—赖 *甘—甘—赖 *组—赖 *苏—甘—脯

酸部分水解:*谷—赖—甘 *甘—赖—组 *苏—甘 *赖—甘—甘 *组—赖—苏

拼接确定顺序:谷—赖—甘—甘—赖—组—赖—苏—甘—脯

肽链末端分析法的实际工作是相当复杂的,仅含51个氨基酸残基的胰岛素测序也是F. Sanger等人通过多年的努力才得以完成。

2. Edman顺序递减法

此法由P. Edman创立,从小肽段的N端开始逐个分解、鉴定氨基酸种类。其原理是将异硫氰酸苯酯与肽段N-端α-氨基结合生成苯氨基硫甲酰肽,然后用稀酸处理,使N-端的苯氨基硫甲酰-氨基酸环化生成苯乙内酰硫脲衍生物而从肽段上脱下,再用层析质谱法鉴定是何种氨基酸的衍生物(图1-24);留下的肽段又可重复上述过程依次逐个测定,故称为顺序递减法。此法可连续测定含20多个氨基酸残基的肽段,因此分析速度大大提高,但要分析更长的多肽链顺序,则与肽链末端分析法策略一样,必须采用分段水解、拼接、对比,才能最终确定整条多肽链的氨基酸顺序。

图1-23 二硝基氟苯-氨基末端分析法

图1-24 Edman氨基末端测定法

3. 核酸推演法

近几十年来对于核酸的研究无论在理论上还是技术上的进展都非常迅猛,也包括核酸测序研究,现在核酸测序速度远超过了氨基酸顺序分析的速度。因此,可通过测定编码蛋白质的基因的DNA序列,排列出mRNA序列,再按照三联密码的原则推演出氨基酸的序列,称为核酸推演法。目前,多数蛋白质的氨基酸序列都是通过此法获得的。

(二) 蛋白质空间结构测定

研究蛋白质在机体内存在的空间结构,对于认识蛋白质的功能以及如何执行功能的内在关系至关重要。由于蛋白质的空间结构十分复杂,因而其测定的难度也较大。随着测定空间结构的技术和理论发展,目前对蛋白质的空间结构研究已普遍开展。测定的主要手段是X射线衍射法(X-ray diffraction)、磁共振技术(nuclear magnetic resonance,NMR)和圆二色光谱(circular dichroism,CD)。

1. 圆二色光谱

通常采用CD测定溶液状态下的蛋白质二级结构。α-螺旋的CD峰有222nm处的负峰、208nm处的负峰和198nm处的正峰3个成分;而β-折叠的CD谱不很固定。因而测定含α-螺旋较多的蛋白质更准确。

2. X射线衍射法

X射线衍射法是研究蛋白质三级空间结构最准确、最常用的方法,目前为止有80%的蛋白质空间结构是由该方法测得的。其原理是将蛋白质制备成晶体,X射线射至蛋白质晶体上,可产生不同方向的衍射,用X光片接受衍射光束,形成衍射图。然后,借助计算机测定和计算衍射图上的衍射斑的位置和密度,就可确定蛋白质晶体的三维结构。X射线衍射法有其局限性,一些蛋白质无法制备成能满足三维结构分析的晶体;另外,所获得的是固体结晶状态的空间结构,这与蛋白质在体内的天然状态可能有所不同。

3. 磁共振技术

NMR是研究蛋白质三级空间结构最准确的方法,目前应用越来越多。其原理是通过磁共振,使蛋白质分子中原子的电子云与外加磁场相互作用产生化学位移,以及使原子核产生自旋耦合,通过测定化学位移和自旋耦合的大小可确定原子在分子中的位置和性状,从而获得三维结构。NMR最突出的优点是能够在溶液环境下测定大分子蛋白质的空间结构,所获得的空间结构更接近蛋白质的天然状态。

4. 三级结构的预测

根据蛋白质的氨基酸序列预测其三级结构,近年来这方面研究受到关注。目前最常用的预测方法是同源模建和折叠识别。

同源模建是先在蛋白质结构数据库中寻找与未知结构蛋白质同源的蛋白质,再借助计算机将未知结构蛋白的序列与已知结构的同源蛋白序列比较,调整氨基酸残基(替换、插入或缺失氨基酸残基),通过优化计算构建出目标蛋白质的三级结构。已知结构的同源蛋白与未知结构的蛋白质同源性越高,则预测的三级结构可靠性也越高。

折叠识别是将一条多肽链分段与各种已知二级结构的序列比较,计算出各段序列可能折叠形成的二级结构,再参考其他蛋白质的空间结构,从而产生目标序列的三维结构。

【案例】

1. 一位15岁的美籍非洲妇女到急诊室就诊,主诉双侧大腿和臀部疼痛1天,并且不断加重,服用对乙酰氨基酚(扑热息痛)和布洛芬不能解除其疼痛症状。患者否认最近有外伤和剧烈运动史。但她最近感觉疲劳和小便时尿道经常有灼烧感。患者既往有症状,有时需要住院。检查发现,患者体温正常,没有急性疼痛。其家族其他成员没有类似的表现。患者结膜和口腔稍微苍白,双侧大腿外观正常,但有非特异性的大腿前部疼痛,其他体征正常。患者的白细胞计数升高到17 000/mm 3 ,而其血红蛋白含量为71g/L。尿液分析显示有大量的白细胞。

问题讨论:

(1) 该疾病的初步诊断是什么?

(2) 进一步确诊需要做什么检查?

(3) 该疾病的生化机制是什么?

2. 疯牛病与朊病毒

朊病毒(prion)是一类能够感染哺乳动物和人并在宿主细胞内复制的、不含核酸的、小分子无免疫性疏水蛋白质。朊是蛋白质的旧称,朊病毒是目前发现的唯一不用DNA或RNA作遗传物质的病毒,具有传染性,可使被感染的动物和人的中枢神经系统发生退行性海绵状脑病,其中最引人注目的就是“疯牛病”,也称牛海绵状脑病。

朊病毒蛋白(prion protein,PrPc)有两种构象:正常型(PrP c ,c代表cellular)和致病型(PrP sc ,sc代表scrapie),后者就是朊病毒。二者的一级结构相同,只是二级结构不同。正常型PrP c 二级结构仅存在α-螺旋,在脊椎动物细胞中广泛存在,但以中枢神经系统表达最高;致病型PrP sc 二级结构中出现多个β-折叠,其溶解度较PrP c 显著下降。PrP sc 能迫使PrP c 的α-螺旋转变为β-折叠,而生成新的致病型PrP sc ,实现朊病毒的自我复制。这些新生成的致病型PrP sc ,又继续攻击其他正常型PrP c ,大量生成的致病型PrP sc 因疏水而聚集、沉淀,导致中枢神经细胞损伤,进而死亡、消失,最后脑组织呈现海绵状病理改变,患者死亡。这种中枢神经系统退行性改变是很缓慢的,但目前尚无有效的治疗手段。

朊病毒病的传染有3种可能方式:一是遗传性,即人家族性朊病毒传染。患病个体因自身某些遗传因素异常,导致其正常型PrP c 的α-螺旋不稳定,容易转变为致病型PrP sc 。二是医源性,如角膜移植、使用污染的外科器械或注射取自人垂体的生长激素等,这是属于人与人之间的间接传染。目前没有发现人与人之间直接传染的证据。三是动物源性,食用受到致病型PrP sc 感染的牛肉和羊肉等,但人与动物之间的具体传染途径目前还不清楚。

朊病毒的传播、复制和朊病毒蛋白构象改变导致疾病这一现象的发现,对遗传信息传递的“中心法则”提出了挑战。朊病毒的研究,不仅对探索生命起源和认识生命本质带来新的启迪,而且对揭示老年性痴呆症、帕金森病等痴呆性疾病的发生机制有很大帮助。

问题讨论:从遗传信息传递及蛋白质结构的角度上,比较疯牛病与镰状细胞贫血病发病机制的异同点。

(黄炜) wFTrGhsUUp+NkCEX07sZ/Y0piagYcC/NhIQ89/fO+h/WyOV0qCNQAWOZRua+V8up

点击中间区域
呼出菜单
上一章
目录
下一章
×